Номер 15.3, страница 93 - гдз по алгебре 10 класс учебник Абылкасымова, Жумагулова

Алгебра, 10 класс Учебник, авторы: Абылкасымова Алма Есимбековна, Жумагулова Зауре Абдыкеновна, издательство Мектеп, Алматы, 2019

Авторы: Абылкасымова А. Е., Жумагулова З. А.

Тип: Учебник

Издательство: Мектеп

Год издания: 2019 - 2026

ISBN: 978-601-07-1142-6

Утверждено Министерством образования и науки Республики Казахстан

Глава 5. Производная. Параграф 15. Физический и геометрический смысл производной. Касательная к графику функции - номер 15.3, страница 93.

№15.3 (с. 93)
Условие. №15.3 (с. 93)
скриншот условия
Алгебра, 10 класс Учебник, авторы: Абылкасымова Алма Есимбековна, Жумагулова Зауре Абдыкеновна, издательство Мектеп, Алматы, 2019, страница 93, номер 15.3, Условие

15.3. Напишите уравнение касательной, проведенной к графику функции $y = f(x)$, в точке с абсциссой $x_0$:

а) $f(x) = 4x^2 - 2$, $x_0 = -1$;

б) $f(x) = 3x^2 + 1$, $x_0 = 1$;

в) $f(x) = 1 - 5x^2$, $x_0 = 1$.

Решение. №15.3 (с. 93)
Алгебра, 10 класс Учебник, авторы: Абылкасымова Алма Есимбековна, Жумагулова Зауре Абдыкеновна, издательство Мектеп, Алматы, 2019, страница 93, номер 15.3, Решение
Алгебра, 10 класс Учебник, авторы: Абылкасымова Алма Есимбековна, Жумагулова Зауре Абдыкеновна, издательство Мектеп, Алматы, 2019, страница 93, номер 15.3, Решение (продолжение 2)
Решение 2. №15.3 (с. 93)

Уравнение касательной к графику функции $y=f(x)$ в точке с абсциссой $x_0$ имеет вид:

$y = f(x_0) + f'(x_0)(x - x_0)$

а) Дана функция $f(x) = 4x^2 - 2$ и точка $x_0 = -1$.

1. Найдем значение функции в точке $x_0$:

$f(x_0) = f(-1) = 4(-1)^2 - 2 = 4 \cdot 1 - 2 = 2$.

2. Найдем производную функции $f(x)$:

$f'(x) = (4x^2 - 2)' = 4 \cdot (x^2)' - (2)' = 4 \cdot 2x - 0 = 8x$.

3. Найдем значение производной в точке $x_0$, которое равно угловому коэффициенту касательной:

$f'(x_0) = f'(-1) = 8 \cdot (-1) = -8$.

4. Подставим найденные значения $x_0 = -1$, $f(x_0) = 2$ и $f'(x_0) = -8$ в общую формулу уравнения касательной:

$y = 2 + (-8)(x - (-1))$

$y = 2 - 8(x + 1)$

$y = 2 - 8x - 8$

$y = -8x - 6$

Ответ: $y = -8x - 6$.

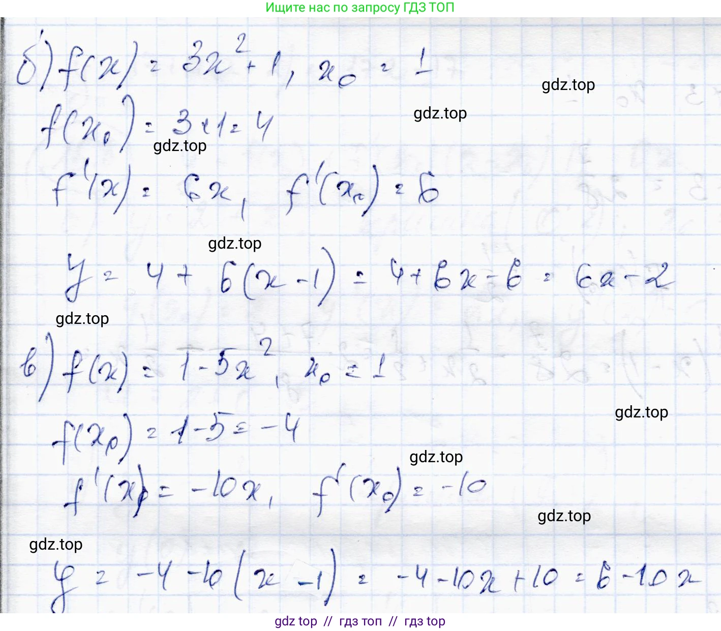
б) Дана функция $f(x) = 3x^2 + 1$ и точка $x_0 = 1$.

1. Найдем значение функции в точке $x_0$:

$f(x_0) = f(1) = 3(1)^2 + 1 = 3 \cdot 1 + 1 = 4$.

2. Найдем производную функции $f(x)$:

$f'(x) = (3x^2 + 1)' = 3 \cdot (x^2)' + (1)' = 3 \cdot 2x + 0 = 6x$.

3. Найдем значение производной в точке $x_0$:

$f'(x_0) = f'(1) = 6 \cdot 1 = 6$.

4. Подставим найденные значения $x_0 = 1$, $f(x_0) = 4$ и $f'(x_0) = 6$ в уравнение касательной:

$y = 4 + 6(x - 1)$

$y = 4 + 6x - 6$

$y = 6x - 2$

Ответ: $y = 6x - 2$.

в) Дана функция $f(x) = 1 - 5x^2$ и точка $x_0 = 1$.

1. Найдем значение функции в точке $x_0$:

$f(x_0) = f(1) = 1 - 5(1)^2 = 1 - 5 \cdot 1 = -4$.

2. Найдем производную функции $f(x)$:

$f'(x) = (1 - 5x^2)' = (1)' - 5 \cdot (x^2)' = 0 - 5 \cdot 2x = -10x$.

3. Найдем значение производной в точке $x_0$:

$f'(x_0) = f'(1) = -10 \cdot 1 = -10$.

4. Подставим найденные значения $x_0 = 1$, $f(x_0) = -4$ и $f'(x_0) = -10$ в уравнение касательной:

$y = -4 + (-10)(x - 1)$

$y = -4 - 10(x - 1)$

$y = -4 - 10x + 10$

$y = -10x + 6$

Ответ: $y = -10x + 6$.

Помогло решение? Оставьте отзыв в комментариях ниже.

Присоединяйтесь к Телеграм-группе @top_gdz

Присоединиться

Мы подготовили для вас ответ c подробным объяснением домашего задания по алгебре за 10 класс, для упражнения номер 15.3 расположенного на странице 93 к учебнику 2019 года издания для учащихся школ и гимназий.

Теперь на нашем сайте ГДЗ.ТОП вы всегда легко и бесплатно найдёте условие с правильным ответом на вопрос «Как решить ДЗ» и «Как сделать» задание по алгебре к упражнению №15.3 (с. 93), авторов: Абылкасымова (Алма Есимбековна), Жумагулова (Зауре Абдыкеновна), учебного пособия издательства Мектеп.