Номер 1.54, страница 31 - гдз по алгебре 10 класс учебник Шыныбеков, Шыныбеков

Алгебра, 10 класс Учебник, авторы: Шыныбеков Абдухали Насырович, Шыныбеков Данияр Абдухалиевич, Жумабаев Ринат Нурланович, издательство Атамұра, Алматы, 2019

Авторы: Шыныбеков А. Н., Шыныбеков Д. А., Жумабаев Р. Н.

Тип: Учебник

Издательство: Атамұра

Год издания: 2019 - 2026

ISBN: 978-601-331-522-5

Рекомендовано Министерством образования и науки Республики Казахстан

Раздел 1. Функция, ее свойства и график. 1.2. Некоторые свойства функции - номер 1.54, страница 31.

№1.54 (с. 31)
Учебник рус. №1.54 (с. 31)
скриншот условия
Алгебра, 10 класс Учебник, авторы: Шыныбеков Абдухали Насырович, Шыныбеков Данияр Абдухалиевич, Жумабаев Ринат Нурланович, издательство Атамұра, Алматы, 2019, страница 31, номер 1.54, Учебник рус

1.54. Найдите наибольшее и наименьшее значения функции:

1) $f(x) = \sqrt{4x^2 - 12x + 9} - 2;$

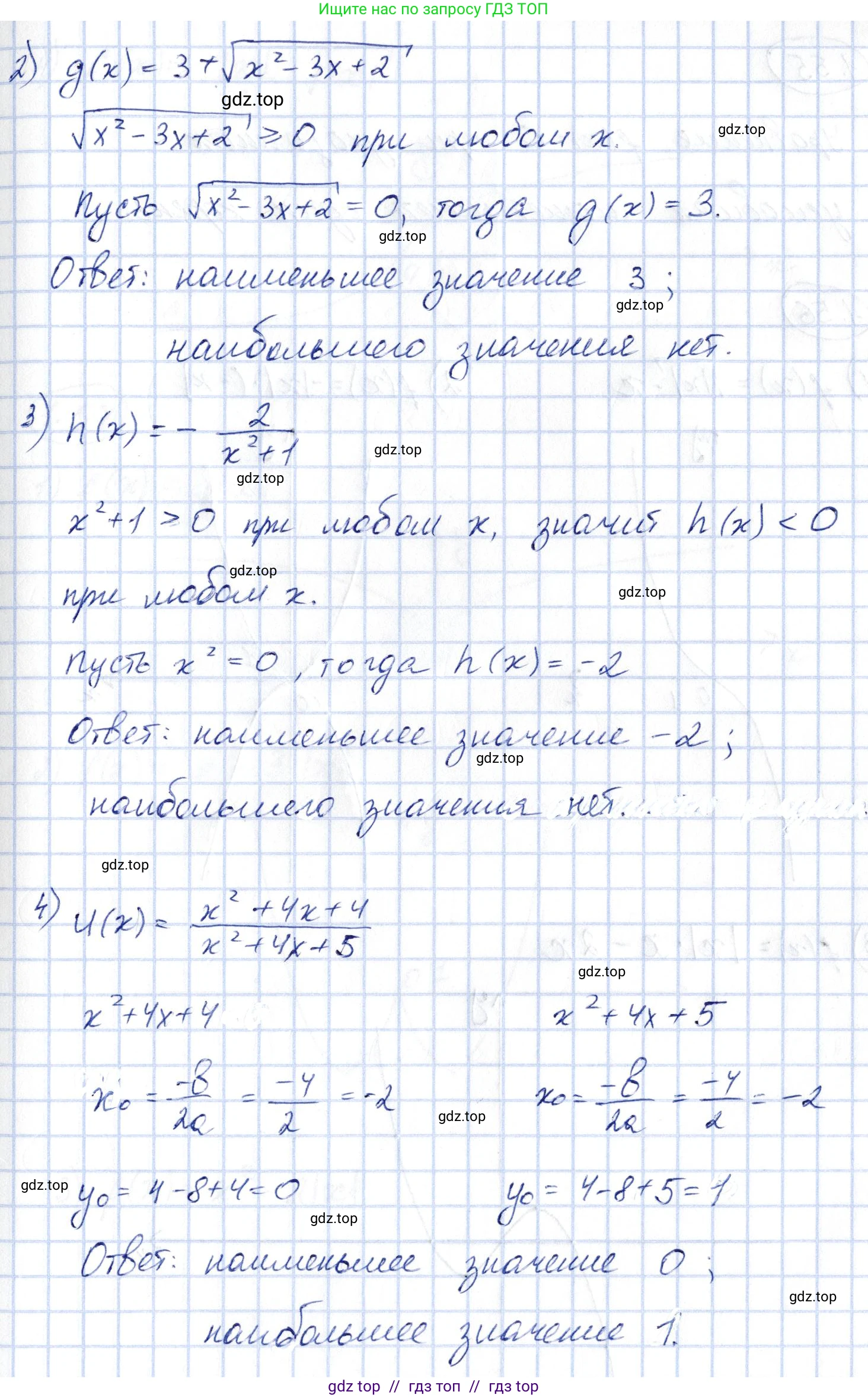
2) $g(x) = 3 + \sqrt{x^2 - 3x + 2};$

3) $h(x) = -\frac{2}{x^2 + 1};$

4) $u(x) = \frac{x^2 + 4x + 4}{x^2 + 4x + 5}.$

Учебник кз. №1.54 (с. 31)
Алгебра, 10 класс Учебник, авторы: Шыныбеков Абдухали Насырович, Шыныбеков Данияр Абдухалиевич, Жумабаев Ринат Нурланович, издательство Атамұра, Алматы, 2019, страница 31, номер 1.54, Учебник кз
Решение. №1.54 (с. 31)
Алгебра, 10 класс Учебник, авторы: Шыныбеков Абдухали Насырович, Шыныбеков Данияр Абдухалиевич, Жумабаев Ринат Нурланович, издательство Атамұра, Алматы, 2019, страница 31, номер 1.54, Решение
Алгебра, 10 класс Учебник, авторы: Шыныбеков Абдухали Насырович, Шыныбеков Данияр Абдухалиевич, Жумабаев Ринат Нурланович, издательство Атамұра, Алматы, 2019, страница 31, номер 1.54, Решение (продолжение 2)
Решение 2 (rus). №1.54 (с. 31)

1) $f(x) = \sqrt{4x^2 - 12x + 9} - 2$

Преобразуем выражение под корнем. Заметим, что $4x^2 - 12x + 9$ является полным квадратом разности, так как $4x^2 = (2x)^2$, $9 = 3^2$ и $12x = 2 \cdot (2x) \cdot 3$.

Следовательно, $4x^2 - 12x + 9 = (2x - 3)^2$.

Тогда функция принимает вид: $f(x) = \sqrt{(2x - 3)^2} - 2$.

Используя свойство квадратного корня $\sqrt{a^2} = |a|$, получаем:

$f(x) = |2x - 3| - 2$.

Выражение $|2x - 3|$ принимает только неотрицательные значения. Его наименьшее значение равно 0, и оно достигается при $2x - 3 = 0$, то есть при $x = 1.5$.

Таким образом, наименьшее значение функции $f(x)$ равно $0 - 2 = -2$.

Так как значение $|2x - 3|$ может быть сколь угодно большим при $x \to \infty$ или $x \to -\infty$, функция $f(x)$ не ограничена сверху, и у неё не существует наибольшего значения.

Ответ: наименьшее значение функции равно -2, наибольшего значения не существует.

2) $g(x) = 3 + \sqrt{x^2 - 3x + 2}$

Функция определена, когда подкоренное выражение неотрицательно: $x^2 - 3x + 2 \ge 0$.

Найдем корни квадратного трехчлена $x^2 - 3x + 2 = 0$. По теореме Виета, корни $x_1 = 1$ и $x_2 = 2$.

Графиком функции $y = x^2 - 3x + 2$ является парабола с ветвями, направленными вверх. Следовательно, неравенство $x^2 - 3x + 2 \ge 0$ выполняется при $x \in (-\infty, 1] \cup [2, \infty)$. Это область определения функции $g(x)$.

Наименьшее значение функции $g(x)$ достигается при наименьшем возможном значении выражения $\sqrt{x^2 - 3x + 2}$. В свою очередь, это происходит при наименьшем значении подкоренного выражения $x^2 - 3x + 2$ на области определения.

На множестве $x \in (-\infty, 1] \cup [2, \infty)$ наименьшее значение выражения $x^2 - 3x + 2$ равно 0 (в точках $x=1$ и $x=2$).

Следовательно, наименьшее значение функции $g(x)$ равно $3 + \sqrt{0} = 3$.

При $x \to \pm\infty$, выражение $x^2 - 3x + 2$ неограниченно возрастает, а значит и значение функции $g(x)$ неограниченно возрастает. Наибольшего значения не существует.

Ответ: наименьшее значение функции равно 3, наибольшего значения не существует.

3) $h(x) = -\frac{2}{x^2 + 1}$

Рассмотрим знаменатель дроби: $x^2 + 1$. Так как $x^2 \ge 0$ для любого действительного $x$, то $x^2 + 1 \ge 1$. Наименьшее значение знаменателя равно 1 и достигается при $x=0$.

Рассмотрим дробь $\frac{2}{x^2+1}$. Так как ее знаменатель $x^2+1$ находится в промежутке $[1, \infty)$, то сама дробь будет принимать значения в промежутке $(0, 2]$. Наибольшее значение $\frac{2}{1} = 2$ достигается при $x=0$. При $x \to \pm\infty$ значение дроби стремится к 0.

Функция $h(x)$ равна этой дроби, взятой со знаком минус. Следовательно, ее значения будут находиться в промежутке $[-2, 0)$.

Наименьшее значение функции $h(x)$ равно -2 (достигается при $x=0$).

Наибольшего значения функция не имеет, так как ее значения стремятся к 0, но никогда не достигают его (всегда $h(x) < 0$).

Ответ: наименьшее значение функции равно -2, наибольшего значения не существует.

4) $u(x) = \frac{x^2 + 4x + 4}{x^2 + 4x + 5}$

Преобразуем данную функцию. Заметим, что числитель является полным квадратом: $x^2 + 4x + 4 = (x+2)^2$.

Знаменатель можно представить в виде: $x^2 + 4x + 5 = (x^2 + 4x + 4) + 1 = (x+2)^2 + 1$.

Тогда функцию можно переписать так:

$u(x) = \frac{(x+2)^2}{(x+2)^2 + 1}$

Также можно выделить целую часть:

$u(x) = \frac{(x+2)^2 + 1 - 1}{(x+2)^2 + 1} = \frac{(x+2)^2 + 1}{(x+2)^2 + 1} - \frac{1}{(x+2)^2 + 1} = 1 - \frac{1}{(x+2)^2 + 1}$.

Рассмотрим выражение $\frac{1}{(x+2)^2 + 1}$. Его знаменатель $(x+2)^2 + 1$ принимает наименьшее значение, равное 1, при $x=-2$. Следовательно, наибольшее значение дроби равно $\frac{1}{1} = 1$.

Таким образом, наименьшее значение функции $u(x)$ будет:

$u_{min} = 1 - (\text{наибольшее значение } \frac{1}{(x+2)^2 + 1}) = 1 - 1 = 0$.

Это значение достигается при $x=-2$.

При $x \to \pm\infty$, выражение $(x+2)^2 \to \infty$, знаменатель $(x+2)^2+1 \to \infty$, а дробь $\frac{1}{(x+2)^2+1} \to 0$.

Следовательно, значения функции $u(x)$ стремятся к $1 - 0 = 1$. Однако, так как дробь $\frac{1}{(x+2)^2+1}$ всегда положительна, значение функции $u(x)$ всегда меньше 1. Таким образом, наибольшего значения функция не достигает.

Ответ: наименьшее значение функции равно 0, наибольшего значения не существует.

Помогло решение? Оставьте отзыв в комментариях ниже.

Присоединяйтесь к Телеграм-группе @top_gdz

Присоединиться

Мы подготовили для вас ответ c подробным объяснением домашего задания по алгебре за 10 класс, для упражнения номер 1.54 расположенного на странице 31 к учебнику 2019 года издания для учащихся школ и гимназий.

Теперь на нашем сайте ГДЗ.ТОП вы всегда легко и бесплатно найдёте условие с правильным ответом на вопрос «Как решить ДЗ» и «Как сделать» задание по алгебре к упражнению №1.54 (с. 31), авторов: Шыныбеков (Абдухали Насырович), Шыныбеков (Данияр Абдухалиевич), Жумабаев (Ринат Нурланович), учебного пособия издательства Атамұра.