Номер 2.34, страница 68 - гдз по алгебре 10 класс учебник Шыныбеков, Шыныбеков

Алгебра, 10 класс Учебник, авторы: Шыныбеков Абдухали Насырович, Шыныбеков Данияр Абдухалиевич, Жумабаев Ринат Нурланович, издательство Атамұра, Алматы, 2019

Авторы: Шыныбеков А. Н., Шыныбеков Д. А., Жумабаев Р. Н.

Тип: Учебник

Издательство: Атамұра

Год издания: 2019 - 2026

ISBN: 978-601-331-522-5

Рекомендовано Министерством образования и науки Республики Казахстан

Раздел 2. Тригонометрические функции. 2.3. Обратные тригонометрические функции - номер 2.34, страница 68.

№2.34 (с. 68)
Учебник рус. №2.34 (с. 68)
скриншот условия
Алгебра, 10 класс Учебник, авторы: Шыныбеков Абдухали Насырович, Шыныбеков Данияр Абдухалиевич, Жумабаев Ринат Нурланович, издательство Атамұра, Алматы, 2019, страница 68, номер 2.34, Учебник рус

2.34. Проверьте, что:

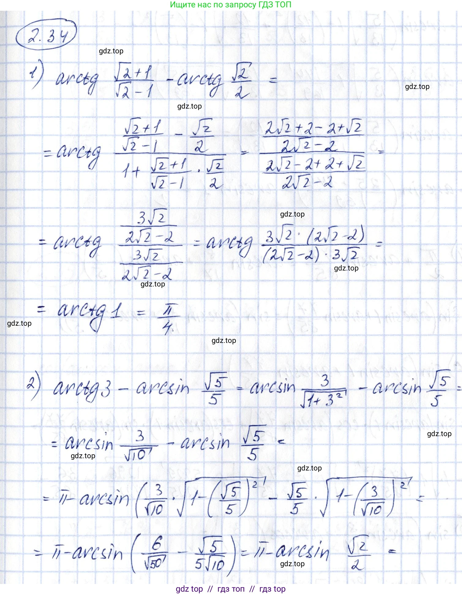
1) $\text{arctg} \frac{\sqrt{2}+1}{\sqrt{2}-1} - \text{arctg} \frac{\sqrt{2}}{2} = \frac{\pi}{4}$;

2) $\text{arctg} 3 - \arcsin \frac{\sqrt{5}}{5} = \frac{\pi}{4}$;

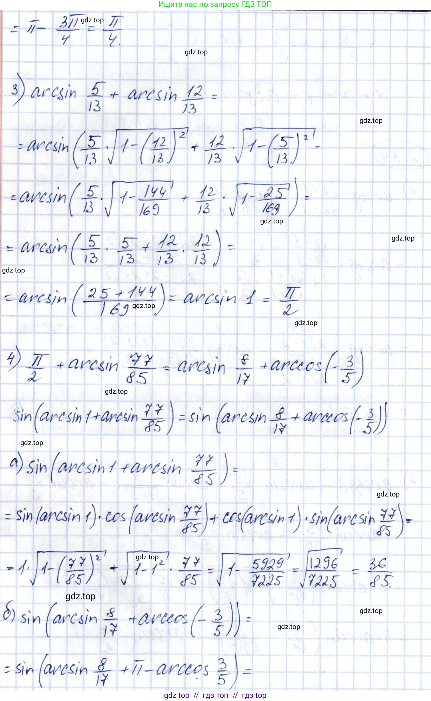
3) $\arcsin \frac{5}{13} + \arcsin \frac{12}{13} = \frac{\pi}{2}$;

4) $\frac{\pi}{2} + \arcsin \frac{77}{85} = \arcsin \frac{8}{17} + \arccos \left( -\frac{3}{5} \right)$.

Учебник кз. №2.34 (с. 68)
Алгебра, 10 класс Учебник, авторы: Шыныбеков Абдухали Насырович, Шыныбеков Данияр Абдухалиевич, Жумабаев Ринат Нурланович, издательство Атамұра, Алматы, 2019, страница 68, номер 2.34, Учебник кз
Решение. №2.34 (с. 68)
Алгебра, 10 класс Учебник, авторы: Шыныбеков Абдухали Насырович, Шыныбеков Данияр Абдухалиевич, Жумабаев Ринат Нурланович, издательство Атамұра, Алматы, 2019, страница 68, номер 2.34, Решение
Алгебра, 10 класс Учебник, авторы: Шыныбеков Абдухали Насырович, Шыныбеков Данияр Абдухалиевич, Жумабаев Ринат Нурланович, издательство Атамұра, Алматы, 2019, страница 68, номер 2.34, Решение (продолжение 2)
Решение 2 (rus). №2.34 (с. 68)

1) Требуется проверить тождество $arctg\frac{\sqrt{2}+1}{\sqrt{2}-1} - arctg\frac{\sqrt{2}}{2} = \frac{\pi}{4}$.

Сначала упростим аргумент первого арктангенса, умножив числитель и знаменатель на сопряженное знаменателю выражение $(\sqrt{2}+1)$:

$\frac{\sqrt{2}+1}{\sqrt{2}-1} = \frac{(\sqrt{2}+1)(\sqrt{2}+1)}{(\sqrt{2}-1)(\sqrt{2}+1)} = \frac{(\sqrt{2})^2 + 2\sqrt{2} + 1^2}{(\sqrt{2})^2 - 1^2} = \frac{2 + 2\sqrt{2} + 1}{2-1} = 3 + 2\sqrt{2}$.

Теперь левая часть равенства имеет вид: $arctg(3 + 2\sqrt{2}) - arctg\frac{\sqrt{2}}{2}$.

Воспользуемся формулой разности арктангенсов: $arctg(x) - arctg(y) = arctg\left(\frac{x-y}{1+xy}\right)$ при $xy > -1$.

В нашем случае $x = 3 + 2\sqrt{2}$ и $y = \frac{\sqrt{2}}{2}$. Так как $x > 0$ и $y > 0$, условие $xy > -1$ выполняется.

Вычислим значение дроби $\frac{x-y}{1+xy}$:

$x-y = 3 + 2\sqrt{2} - \frac{\sqrt{2}}{2} = \frac{6 + 4\sqrt{2} - \sqrt{2}}{2} = \frac{6 + 3\sqrt{2}}{2}$.

$1+xy = 1 + (3 + 2\sqrt{2}) \cdot \frac{\sqrt{2}}{2} = 1 + \frac{3\sqrt{2} + 2(\sqrt{2})^2}{2} = 1 + \frac{3\sqrt{2} + 4}{2} = \frac{2 + 3\sqrt{2} + 4}{2} = \frac{6 + 3\sqrt{2}}{2}$.

Тогда $\frac{x-y}{1+xy} = \frac{\frac{6 + 3\sqrt{2}}{2}}{\frac{6 + 3\sqrt{2}}{2}} = 1$.

Следовательно, левая часть исходного равенства равна $arctg(1)$, что составляет $\frac{\pi}{4}$.

$\frac{\pi}{4} = \frac{\pi}{4}$. Тождество доказано.

Ответ: Равенство верно.

2) Требуется проверить тождество $arctg(3) - arcsin\frac{\sqrt{5}}{5} = \frac{\pi}{4}$.

Преобразуем $arcsin\frac{\sqrt{5}}{5}$ в арктангенс. Пусть $\alpha = arcsin\frac{\sqrt{5}}{5}$.

Тогда $sin(\alpha) = \frac{\sqrt{5}}{5}$, и так как аргумент арксинуса положителен, $\alpha \in (0, \frac{\pi}{2})$.

Найдем косинус $\alpha$ из основного тригонометрического тождества $sin^2(\alpha) + cos^2(\alpha) = 1$:

$cos(\alpha) = \sqrt{1 - sin^2(\alpha)} = \sqrt{1 - \left(\frac{\sqrt{5}}{5}\right)^2} = \sqrt{1 - \frac{5}{25}} = \sqrt{\frac{20}{25}} = \frac{\sqrt{20}}{5} = \frac{2\sqrt{5}}{5}$.

Теперь найдем тангенс $\alpha$:

$tg(\alpha) = \frac{sin(\alpha)}{cos(\alpha)} = \frac{\frac{\sqrt{5}}{5}}{\frac{2\sqrt{5}}{5}} = \frac{1}{2}$.

Следовательно, $arcsin\frac{\sqrt{5}}{5} = arctg\frac{1}{2}$.

Подставим это в исходное выражение: $arctg(3) - arctg\frac{1}{2}$.

Используем формулу разности арктангенсов $arctg(x) - arctg(y) = arctg\left(\frac{x-y}{1+xy}\right)$ с $x=3$ и $y=\frac{1}{2}$:

$\frac{x-y}{1+xy} = \frac{3 - \frac{1}{2}}{1 + 3 \cdot \frac{1}{2}} = \frac{\frac{5}{2}}{1 + \frac{3}{2}} = \frac{\frac{5}{2}}{\frac{5}{2}} = 1$.

Левая часть равна $arctg(1) = \frac{\pi}{4}$.

$\frac{\pi}{4} = \frac{\pi}{4}$. Тождество доказано.

Ответ: Равенство верно.

3) Требуется проверить тождество $arcsin\frac{5}{13} + arcsin\frac{12}{13} = \frac{\pi}{2}$.

Рассмотрим первое слагаемое. Пусть $\alpha = arcsin\frac{5}{13}$. По определению, $sin(\alpha) = \frac{5}{13}$ и $\alpha \in (0, \frac{\pi}{2})$.

Найдем $cos(\alpha)$:

$cos(\alpha) = \sqrt{1 - sin^2(\alpha)} = \sqrt{1 - \left(\frac{5}{13}\right)^2} = \sqrt{1 - \frac{25}{169}} = \sqrt{\frac{144}{169}} = \frac{12}{13}$.

Так как $cos(\alpha) = \frac{12}{13}$ и $\alpha \in (0, \frac{\pi}{2})$, то $\alpha = arccos\frac{12}{13}$.

Таким образом, мы показали, что $arcsin\frac{5}{13} = arccos\frac{12}{13}$.

Подставим это в левую часть исходного равенства:

$arcsin\frac{5}{13} + arcsin\frac{12}{13} = arccos\frac{12}{13} + arcsin\frac{12}{13}$.

Используя основное тождество для обратных тригонометрических функций $arcsin(x) + arccos(x) = \frac{\pi}{2}$, получаем:

$arccos\frac{12}{13} + arcsin\frac{12}{13} = \frac{\pi}{2}$.

Левая часть равна правой. Тождество доказано.

Ответ: Равенство верно.

4) Требуется проверить тождество $\frac{\pi}{2} + arcsin\frac{77}{85} = arcsin\frac{8}{17} + arccos\left(-\frac{3}{5}\right)$.

Для доказательства найдем косинус левой и правой частей и убедимся, что они принадлежат одному и тому же промежутку.

Пусть $L = \frac{\pi}{2} + arcsin\frac{77}{85}$. Так как $0 < arcsin\frac{77}{85} < \frac{\pi}{2}$, то $\frac{\pi}{2} < L < \pi$.

$cos(L) = cos\left(\frac{\pi}{2} + arcsin\frac{77}{85}\right) = -sin\left(arcsin\frac{77}{85}\right) = -\frac{77}{85}$.

Пусть $R = arcsin\frac{8}{17} + arccos\left(-\frac{3}{5}\right)$. Обозначим $\alpha = arcsin\frac{8}{17}$ и $\beta = arccos\left(-\frac{3}{5}\right)$.

Для $\alpha$: $sin(\alpha) = \frac{8}{17}$, $0 < \alpha < \frac{\pi}{2}$. Тогда $cos(\alpha) = \sqrt{1 - (\frac{8}{17})^2} = \sqrt{\frac{225}{289}} = \frac{15}{17}$.

Для $\beta$: $cos(\beta) = -\frac{3}{5}$, $\frac{\pi}{2} < \beta < \pi$. Тогда $sin(\beta) = \sqrt{1 - (-\frac{3}{5})^2} = \sqrt{\frac{16}{25}} = \frac{4}{5}$.

Теперь найдем косинус правой части $R = \alpha + \beta$:

$cos(R) = cos(\alpha + \beta) = cos(\alpha)cos(\beta) - sin(\alpha)sin(\beta) = \frac{15}{17} \cdot \left(-\frac{3}{5}\right) - \frac{8}{17} \cdot \frac{4}{5} = -\frac{45}{85} - \frac{32}{85} = -\frac{77}{85}$.

Мы получили, что $cos(L) = cos(R)$. Теперь определим промежуток, в котором находится $R$.

Найдем синус $R = \alpha + \beta$:

$sin(R) = sin(\alpha + \beta) = sin(\alpha)cos(\beta) + cos(\alpha)sin(\beta) = \frac{8}{17} \cdot \left(-\frac{3}{5}\right) + \frac{15}{17} \cdot \frac{4}{5} = -\frac{24}{85} + \frac{60}{85} = \frac{36}{85}$.

Так как $cos(R) < 0$ и $sin(R) > 0$, угол $R$ находится во второй четверти, то есть $\frac{\pi}{2} < R < \pi$.

Оба угла, $L$ и $R$, находятся в одном и том же промежутке $(\frac{\pi}{2}, \pi)$ и имеют одинаковые косинусы. Следовательно, они равны.

Ответ: Равенство верно.

Помогло решение? Оставьте отзыв в комментариях ниже.

Присоединяйтесь к Телеграм-группе @top_gdz

Присоединиться

Мы подготовили для вас ответ c подробным объяснением домашего задания по алгебре за 10 класс, для упражнения номер 2.34 расположенного на странице 68 к учебнику 2019 года издания для учащихся школ и гимназий.

Теперь на нашем сайте ГДЗ.ТОП вы всегда легко и бесплатно найдёте условие с правильным ответом на вопрос «Как решить ДЗ» и «Как сделать» задание по алгебре к упражнению №2.34 (с. 68), авторов: Шыныбеков (Абдухали Насырович), Шыныбеков (Данияр Абдухалиевич), Жумабаев (Ринат Нурланович), учебного пособия издательства Атамұра.