Номер 3.34, страница 83 - гдз по алгебре 10 класс учебник Шыныбеков, Шыныбеков

Алгебра, 10 класс Учебник, авторы: Шыныбеков Абдухали Насырович, Шыныбеков Данияр Абдухалиевич, Жумабаев Ринат Нурланович, издательство Атамұра, Алматы, 2019

Авторы: Шыныбеков А. Н., Шыныбеков Д. А., Жумабаев Р. Н.

Тип: Учебник

Издательство: Атамұра

Год издания: 2019 - 2026

ISBN: 978-601-331-522-5

Рекомендовано Министерством образования и науки Республики Казахстан

Раздел 3. Тригонометрические уравнения и их системы. 3.1. Тригонометрические уравнения - номер 3.34, страница 83.

№3.34 (с. 83)
Учебник рус. №3.34 (с. 83)
скриншот условия
Алгебра, 10 класс Учебник, авторы: Шыныбеков Абдухали Насырович, Шыныбеков Данияр Абдухалиевич, Жумабаев Ринат Нурланович, издательство Атамұра, Алматы, 2019, страница 83, номер 3.34, Учебник рус

3.34. 1) $(1 - \text{tg}x)(1 + \sin 2x) = 1 + \text{tg}x;$

2) $(1 + \sin 2x)(\cos x - \sin x) = 1 - 2\sin^2 x;$

3) $\sin x \cos x \cos 2x \cos 8x = \frac{1}{4}\sin 12x;$

4) $\sin 2x \sin 6x - \cos 2x \cos 6x = \sqrt{2} \sin 3x \cdot \cos 8x.$

Учебник кз. №3.34 (с. 83)
Алгебра, 10 класс Учебник, авторы: Шыныбеков Абдухали Насырович, Шыныбеков Данияр Абдухалиевич, Жумабаев Ринат Нурланович, издательство Атамұра, Алматы, 2019, страница 83, номер 3.34, Учебник кз
Решение. №3.34 (с. 83)
Алгебра, 10 класс Учебник, авторы: Шыныбеков Абдухали Насырович, Шыныбеков Данияр Абдухалиевич, Жумабаев Ринат Нурланович, издательство Атамұра, Алматы, 2019, страница 83, номер 3.34, Решение
Алгебра, 10 класс Учебник, авторы: Шыныбеков Абдухали Насырович, Шыныбеков Данияр Абдухалиевич, Жумабаев Ринат Нурланович, издательство Атамұра, Алматы, 2019, страница 83, номер 3.34, Решение (продолжение 2)
Решение 2 (rus). №3.34 (с. 83)

1) $(1 - \operatorname{tg}x)(1 + \sin 2x) = 1 + \operatorname{tg}x$

Определим область допустимых значений (ОДЗ). Тангенс определен, если $\cos x \neq 0$, то есть $x \neq \frac{\pi}{2} + \pi n, n \in \mathbb{Z}$.

Преобразуем уравнение, используя формулы $\operatorname{tg}x = \frac{\sin x}{\cos x}$ и $\sin 2x = 2 \sin x \cos x$:

$(1 - \frac{\sin x}{\cos x})(1 + 2 \sin x \cos x) = 1 + \frac{\sin x}{\cos x}$

Приведем к общему знаменателю в скобках:

$\frac{\cos x - \sin x}{\cos x}(1 + 2 \sin x \cos x) = \frac{\cos x + \sin x}{\cos x}$

Так как по ОДЗ $\cos x \neq 0$, умножим обе части уравнения на $\cos x$:

$(\cos x - \sin x)(1 + 2 \sin x \cos x) = \cos x + \sin x$

Используем основное тригонометрическое тождество $1 = \sin^2 x + \cos^2 x$. Тогда $1 + 2 \sin x \cos x = \sin^2 x + \cos^2 x + 2 \sin x \cos x = (\sin x + \cos x)^2$.

Уравнение принимает вид:

$(\cos x - \sin x)(\cos x + \sin x)^2 = \cos x + \sin x$

Перенесем все члены в левую часть и вынесем общий множитель $(\cos x + \sin x)$:

$(\cos x + \sin x) [(\cos x - \sin x)(\cos x + \sin x) - 1] = 0$

Упростим выражение в квадратных скобках, используя формулу разности квадратов:

$(\cos x + \sin x) [\cos^2 x - \sin^2 x - 1] = 0$

Используем формулу косинуса двойного угла $\cos 2x = \cos^2 x - \sin^2 x$ и тождество $1 = \sin^2 x + \cos^2 x$:

$\cos^2 x - \sin^2 x - 1 = \cos 2x - (\sin^2 x + \cos^2 x) = (\cos^2 x - \sin^2 x) - (\cos^2 x + \sin^2 x) = -2\sin^2 x$.

Получаем уравнение:

$(\cos x + \sin x)(-2\sin^2 x) = 0$

Произведение равно нулю, если один из множителей равен нулю.

1. $\cos x + \sin x = 0 \implies \operatorname{tg}x = -1 \implies x = -\frac{\pi}{4} + \pi k, k \in \mathbb{Z}$.

2. $-2\sin^2 x = 0 \implies \sin x = 0 \implies x = \pi m, m \in \mathbb{Z}$.

Оба семейства решений удовлетворяют ОДЗ.

Ответ: $x = \pi m, x = -\frac{\pi}{4} + \pi k$, где $k, m \in \mathbb{Z}$.

2) $(1 + \sin 2x)(\cos x - \sin x) = 1 - 2\sin^2 x$

Преобразуем обе части уравнения.

Левая часть: используем тождества $1 = \sin^2 x + \cos^2 x$ и $\sin 2x = 2 \sin x \cos x$.

$1 + \sin 2x = \sin^2 x + \cos^2 x + 2 \sin x \cos x = (\sin x + \cos x)^2$.

Тогда левая часть равна $(\cos x + \sin x)^2(\cos x - \sin x) = (\cos x + \sin x)(\cos^2 x - \sin^2 x) = (\cos x + \sin x)\cos 2x$.

Правая часть: используем формулу косинуса двойного угла $1 - 2\sin^2 x = \cos 2x$.

Уравнение принимает вид:

$(\cos x + \sin x)\cos 2x = \cos 2x$

Перенесем все в левую часть и вынесем $\cos 2x$ за скобки:

$\cos 2x (\cos x + \sin x - 1) = 0$

Произведение равно нулю, если один из множителей равен нулю.

1. $\cos 2x = 0 \implies 2x = \frac{\pi}{2} + \pi k \implies x = \frac{\pi}{4} + \frac{\pi k}{2}, k \in \mathbb{Z}$.

2. $\cos x + \sin x - 1 = 0 \implies \cos x + \sin x = 1$. Решим это уравнение методом введения вспомогательного угла.

$\sqrt{1^2+1^2} = \sqrt{2}$. Умножим и разделим на $\sqrt{2}$:

$\sqrt{2}(\frac{1}{\sqrt{2}}\cos x + \frac{1}{\sqrt{2}}\sin x) = 1$

$\sqrt{2}(\cos \frac{\pi}{4} \cos x + \sin \frac{\pi}{4} \sin x) = 1$

$\sqrt{2}\cos(x - \frac{\pi}{4}) = 1 \implies \cos(x - \frac{\pi}{4}) = \frac{1}{\sqrt{2}}$

$x - \frac{\pi}{4} = \pm \frac{\pi}{4} + 2\pi m, m \in \mathbb{Z}$.

Отсюда получаем два семейства решений:

$x - \frac{\pi}{4} = \frac{\pi}{4} + 2\pi m \implies x = \frac{\pi}{2} + 2\pi m$.

$x - \frac{\pi}{4} = -\frac{\pi}{4} + 2\pi m \implies x = 2\pi m$.

Ответ: $x = \frac{\pi}{4} + \frac{\pi k}{2}, x = 2\pi m, x = \frac{\pi}{2} + 2\pi l$, где $k, m, l \in \mathbb{Z}$.

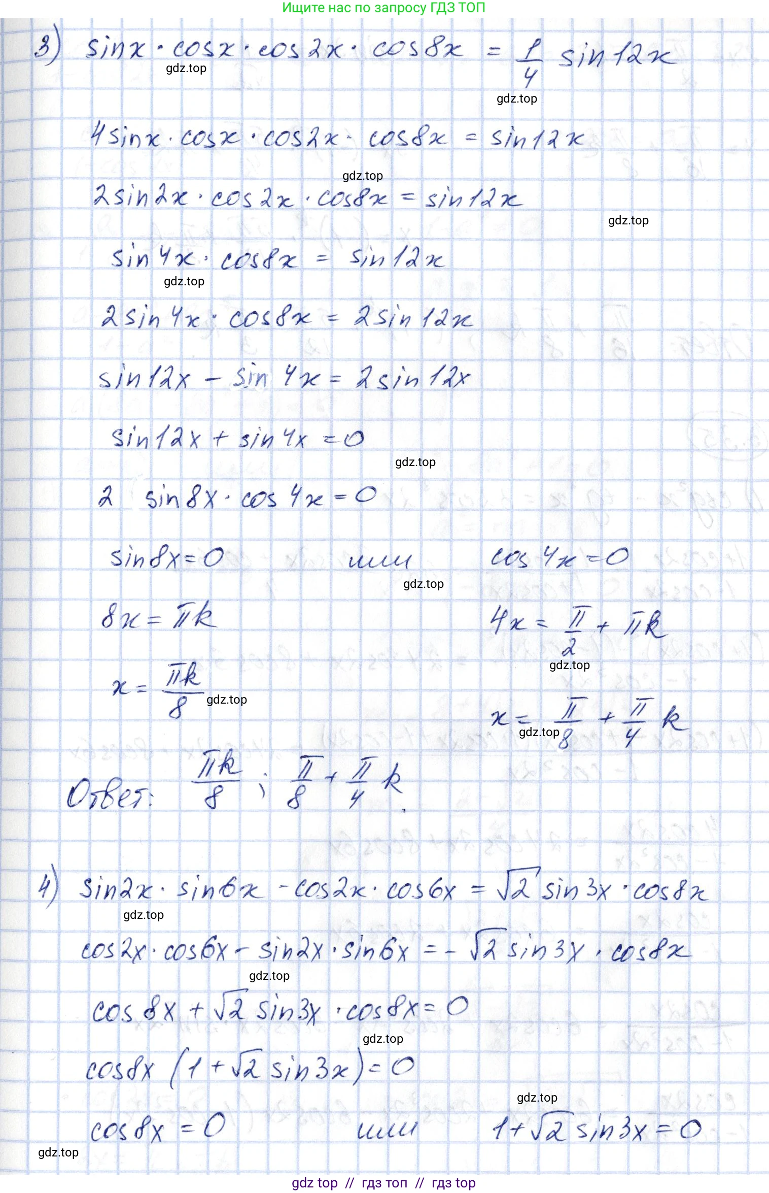
3) $\sin x \cos x \cos 2x \cos 8x = \frac{1}{4}\sin 12x$

Преобразуем левую часть уравнения, последовательно применяя формулу синуса двойного угла $\sin 2\alpha = 2 \sin \alpha \cos \alpha$.

$\sin x \cos x = \frac{1}{2} \sin 2x$.

Уравнение становится: $\frac{1}{2}\sin 2x \cos 2x \cos 8x = \frac{1}{4}\sin 12x$.

$\frac{1}{2} (\frac{1}{2} \sin 4x) \cos 8x = \frac{1}{4}\sin 12x$.

$\frac{1}{4} \sin 4x \cos 8x = \frac{1}{4}\sin 12x$.

$\sin 4x \cos 8x = \sin 12x$.

Представим $\sin 12x$ как синус суммы: $\sin 12x = \sin(4x + 8x) = \sin 4x \cos 8x + \cos 4x \sin 8x$.

Подставим это в уравнение:

$\sin 4x \cos 8x = \sin 4x \cos 8x + \cos 4x \sin 8x$.

$0 = \cos 4x \sin 8x$.

Произведение равно нулю, если один из множителей равен нулю.

1. $\cos 4x = 0 \implies 4x = \frac{\pi}{2} + \pi k \implies x = \frac{\pi}{8} + \frac{\pi k}{4}, k \in \mathbb{Z}$.

2. $\sin 8x = 0 \implies 8x = \pi m \implies x = \frac{\pi m}{8}, m \in \mathbb{Z}$.

Заметим, что первое семейство решений является подмножеством второго. Решения $x = \frac{\pi}{8} + \frac{\pi k}{4} = \frac{\pi(1+2k)}{8}$ соответствуют нечетным значениям $m$ в формуле $x = \frac{\pi m}{8}$.

Следовательно, все решения можно описать одной формулой.

Ответ: $x = \frac{\pi m}{8}$, где $m \in \mathbb{Z}$.

4) $\sin 2x \sin 6x - \cos 2x \cos 6x = \sqrt{2} \sin 3x \cos 8x$

Преобразуем левую часть уравнения, используя формулу косинуса суммы $\cos(\alpha + \beta) = \cos \alpha \cos \beta - \sin \alpha \sin \beta$.

$\sin 2x \sin 6x - \cos 2x \cos 6x = -(\cos 2x \cos 6x - \sin 2x \sin 6x) = -\cos(2x + 6x) = -\cos 8x$.

Уравнение принимает вид:

$-\cos 8x = \sqrt{2} \sin 3x \cos 8x$.

Перенесем все в одну часть:

$\sqrt{2} \sin 3x \cos 8x + \cos 8x = 0$.

Вынесем общий множитель $\cos 8x$ за скобки:

$\cos 8x (\sqrt{2} \sin 3x + 1) = 0$.

Произведение равно нулю, если один из множителей равен нулю.

1. $\cos 8x = 0 \implies 8x = \frac{\pi}{2} + \pi k \implies x = \frac{\pi}{16} + \frac{\pi k}{8}, k \in \mathbb{Z}$.

2. $\sqrt{2} \sin 3x + 1 = 0 \implies \sin 3x = -\frac{1}{\sqrt{2}}$.

$3x = (-1)^m \arcsin(-\frac{1}{\sqrt{2}}) + \pi m = (-1)^m (-\frac{\pi}{4}) + \pi m = (-1)^{m+1} \frac{\pi}{4} + \pi m$.

$x = (-1)^{m+1} \frac{\pi}{12} + \frac{\pi m}{3}, m \in \mathbb{Z}$.

Ответ: $x = \frac{\pi}{16} + \frac{\pi k}{8}, x = (-1)^{m+1} \frac{\pi}{12} + \frac{\pi m}{3}$, где $k, m \in \mathbb{Z}$.

Помогло решение? Оставьте отзыв в комментариях ниже.

Присоединяйтесь к Телеграм-группе @top_gdz

Присоединиться

Мы подготовили для вас ответ c подробным объяснением домашего задания по алгебре за 10 класс, для упражнения номер 3.34 расположенного на странице 83 к учебнику 2019 года издания для учащихся школ и гимназий.

Теперь на нашем сайте ГДЗ.ТОП вы всегда легко и бесплатно найдёте условие с правильным ответом на вопрос «Как решить ДЗ» и «Как сделать» задание по алгебре к упражнению №3.34 (с. 83), авторов: Шыныбеков (Абдухали Насырович), Шыныбеков (Данияр Абдухалиевич), Жумабаев (Ринат Нурланович), учебного пособия издательства Атамұра.