Номер 3.56, страница 95 - гдз по алгебре 10 класс учебник Шыныбеков, Шыныбеков

Алгебра, 10 класс Учебник, авторы: Шыныбеков Абдухали Насырович, Шыныбеков Данияр Абдухалиевич, Жумабаев Ринат Нурланович, издательство Атамұра, Алматы, 2019

Авторы: Шыныбеков А. Н., Шыныбеков Д. А., Жумабаев Р. Н.

Тип: Учебник

Издательство: Атамұра

Год издания: 2019 - 2026

ISBN: 978-601-331-522-5

Рекомендовано Министерством образования и науки Республики Казахстан

Раздел 3. Тригонометрические уравнения и их системы. 3.3. Обратные тригонометрические уравнения - номер 3.56, страница 95.

№3.56 (с. 95)
Учебник рус. №3.56 (с. 95)
скриншот условия
Алгебра, 10 класс Учебник, авторы: Шыныбеков Абдухали Насырович, Шыныбеков Данияр Абдухалиевич, Жумабаев Ринат Нурланович, издательство Атамұра, Алматы, 2019, страница 95, номер 3.56, Учебник рус

3.56. 1) $ \arcsin x + \arccos \frac{x}{\sqrt{3}} = \frac{\pi}{2}; $

2) $ \arcsin 2x = 3 \arcsin x; $

3) $ \arccos x - \arcsin x = \arccos \sqrt{3}x; $

4) $ \arccos x - \arcsin x = \arcsin (2 - 3x). $

Учебник кз. №3.56 (с. 95)
Алгебра, 10 класс Учебник, авторы: Шыныбеков Абдухали Насырович, Шыныбеков Данияр Абдухалиевич, Жумабаев Ринат Нурланович, издательство Атамұра, Алматы, 2019, страница 95, номер 3.56, Учебник кз
Решение. №3.56 (с. 95)
Алгебра, 10 класс Учебник, авторы: Шыныбеков Абдухали Насырович, Шыныбеков Данияр Абдухалиевич, Жумабаев Ринат Нурланович, издательство Атамұра, Алматы, 2019, страница 95, номер 3.56, Решение
Алгебра, 10 класс Учебник, авторы: Шыныбеков Абдухали Насырович, Шыныбеков Данияр Абдухалиевич, Жумабаев Ринат Нурланович, издательство Атамұра, Алматы, 2019, страница 95, номер 3.56, Решение (продолжение 2)
Решение 2 (rus). №3.56 (с. 95)

1) $\arcsin x + \arccos \frac{x}{\sqrt{3}} = \frac{\pi}{2}$

Найдем область допустимых значений (ОДЗ). Аргументы функций $\arcsin$ и $\arccos$ должны находиться в пределах от -1 до 1:

$\begin{cases} -1 \le x \le 1 \\ -1 \le \frac{x}{\sqrt{3}} \le 1 \end{cases} \implies \begin{cases} -1 \le x \le 1 \\ -\sqrt{3} \le x \le \sqrt{3} \end{cases}$

Пересечением этих условий является интервал $x \in [-1, 1]$.

Используем основное тригонометрическое тождество $\arcsin t + \arccos t = \frac{\pi}{2}$.Преобразуем исходное уравнение, выразив $\arcsin x$:

$\arcsin x = \frac{\pi}{2} - \arccos \frac{x}{\sqrt{3}}$

Из тождества $\arcsin t = \frac{\pi}{2} - \arccos t$ следует, что правая часть нашего уравнения равна $\arcsin \frac{x}{\sqrt{3}}$.Таким образом, уравнение принимает вид:

$\arcsin x = \arcsin \frac{x}{\sqrt{3}}$

Так как функция $\arcsin t$ является монотонно возрастающей, мы можем приравнять ее аргументы:

$x = \frac{x}{\sqrt{3}}$

$x - \frac{x}{\sqrt{3}} = 0$

$x(1 - \frac{1}{\sqrt{3}}) = 0$

Отсюда следует, что $x = 0$.

Найденный корень $x=0$ принадлежит ОДЗ. Проверим его, подставив в исходное уравнение:

$\arcsin 0 + \arccos \frac{0}{\sqrt{3}} = \arcsin 0 + \arccos 0 = 0 + \frac{\pi}{2} = \frac{\pi}{2}$.

Равенство выполняется.

Ответ: $x=0$.

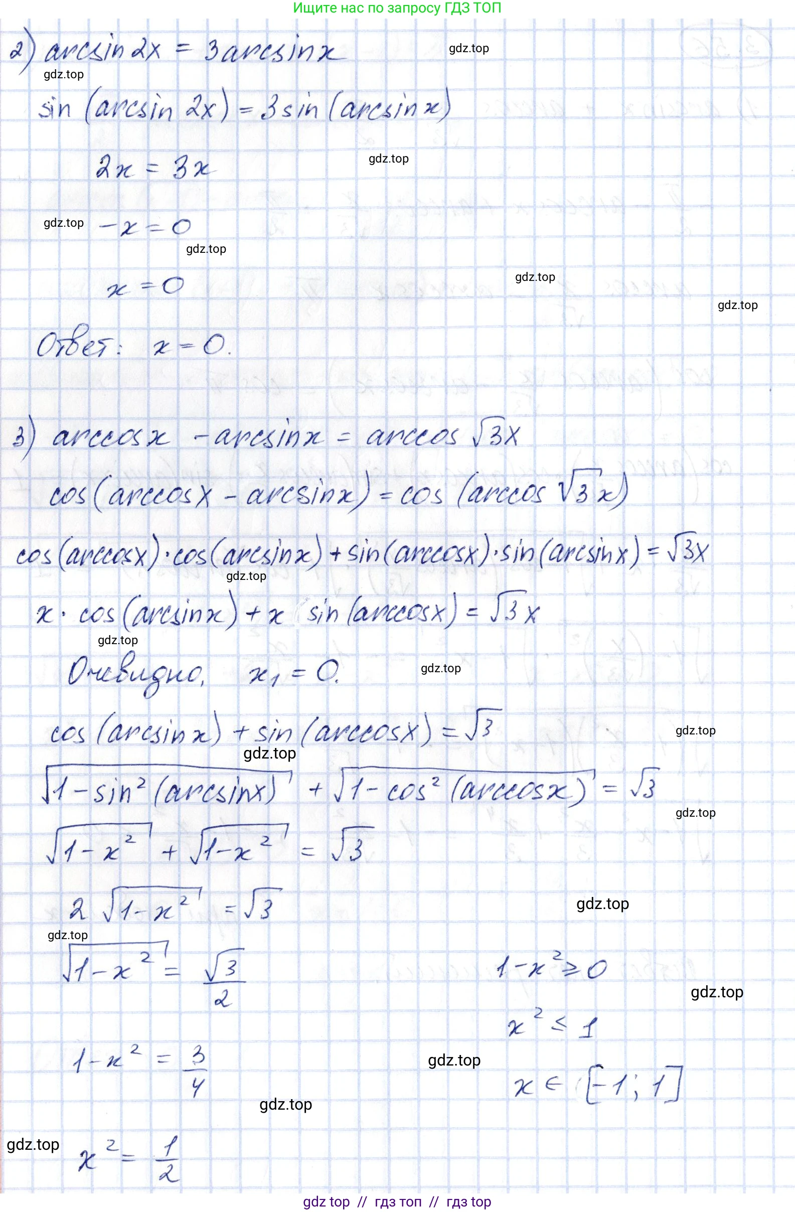
2) $\arcsin 2x = 3 \arcsin x$

Найдем ОДЗ:

$\begin{cases} -1 \le 2x \le 1 \\ -1 \le x \le 1 \end{cases} \implies \begin{cases} -1/2 \le x \le 1/2 \\ -1 \le x \le 1 \end{cases}$

Пересечением является $x \in [-1/2, 1/2]$.

Также, значение функции $\arcsin(2x)$ должно находиться в области значений правой части. Область значений функции $\arcsin$ это $[-\frac{\pi}{2}, \frac{\pi}{2}]$. Значит, должно выполняться условие:

$-\frac{\pi}{2} \le 3 \arcsin x \le \frac{\pi}{2}$

$-\frac{\pi}{6} \le \arcsin x \le \frac{\pi}{6}$

Так как $\sin t$ - возрастающая функция на $[-\frac{\pi}{2}, \frac{\pi}{2}]$, то:

$\sin(-\frac{\pi}{6}) \le x \le \sin(\frac{\pi}{6})$

$-\frac{1}{2} \le x \le \frac{1}{2}$. Это условие совпадает с ОДЗ.

Возьмем синус от обеих частей уравнения:

$\sin(\arcsin 2x) = \sin(3 \arcsin x)$

$2x = \sin(3 \arcsin x)$

Пусть $\alpha = \arcsin x$, тогда $x = \sin \alpha$. Используем формулу синуса тройного угла $\sin(3\alpha) = 3\sin\alpha - 4\sin^3\alpha$.

$2x = 3x - 4x^3$

$4x^3 - x = 0$

$x(4x^2 - 1) = 0$

$x(2x-1)(2x+1) = 0$

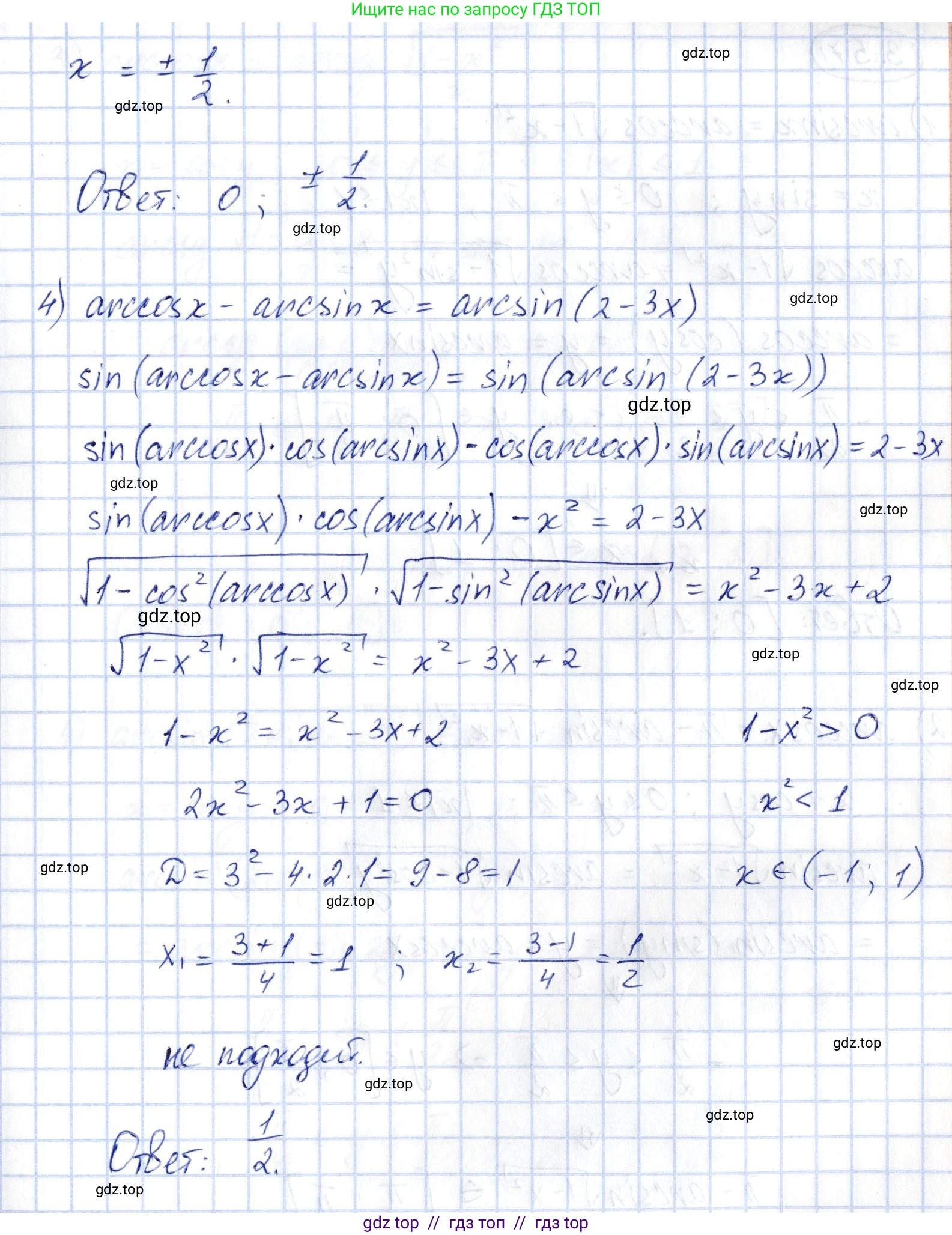
Получаем три корня: $x_1 = 0$, $x_2 = \frac{1}{2}$, $x_3 = -\frac{1}{2}$.

Все три корня принадлежат ОДЗ $x \in [-1/2, 1/2]$.

Ответ: $x=0, x=1/2, x=-1/2$.

3) $\arccos x - \arcsin x = \arccos \sqrt{3x}$

Найдем ОДЗ:

$\begin{cases} -1 \le x \le 1 \\ \sqrt{3x} \ge 0 \\ -1 \le \sqrt{3x} \le 1 \end{cases} \implies \begin{cases} -1 \le x \le 1 \\ x \ge 0 \\ 3x \le 1 \end{cases} \implies \begin{cases} x \ge 0 \\ x \le 1/3 \end{cases}$

ОДЗ: $x \in [0, 1/3]$.

Используем тождество $\arcsin x = \frac{\pi}{2} - \arccos x$. Подставим его в уравнение:

$\arccos x - (\frac{\pi}{2} - \arccos x) = \arccos \sqrt{3x}$

$2\arccos x - \frac{\pi}{2} = \arccos \sqrt{3x}$

Возьмем косинус от обеих частей:

$\cos(2\arccos x - \frac{\pi}{2}) = \cos(\arccos \sqrt{3x})$

Используя формулу приведения $\cos(\alpha - \frac{\pi}{2}) = \sin \alpha$, получаем:

$\sin(2\arccos x) = \sqrt{3x}$

Применим формулу синуса двойного угла $\sin(2\alpha)=2\sin\alpha\cos\alpha$. Пусть $\alpha = \arccos x$. Тогда $\cos\alpha=x$.Так как $x \in [0, 1/3]$, то $\alpha = \arccos x \in [\arccos(1/3), \pi/2]$, значит $\sin\alpha \ge 0$.Следовательно, $\sin\alpha = \sqrt{1-\cos^2\alpha} = \sqrt{1-x^2}$.

$2\sqrt{1-x^2} \cdot x = \sqrt{3x}$

$2x\sqrt{1-x^2} - \sqrt{3}\sqrt{x} = 0$

$\sqrt{x}(2x\sqrt{1-x^2}/\sqrt{x} - \sqrt{3}) = 0$. Поскольку $x\ge 0$, $x/\sqrt{x} = \sqrt{x}$.

$\sqrt{x}(2\sqrt{x}\sqrt{1-x^2} - \sqrt{3}) = 0$

Отсюда либо $\sqrt{x} = 0 \implies x=0$, либо $2\sqrt{x(1-x^2)} = \sqrt{3}$.

Рассмотрим второе уравнение: $2\sqrt{x-x^3} = \sqrt{3}$. Возведем обе части в квадрат:

$4(x-x^3) = 3$

$4x-4x^3=3$

$4x^3 - 4x + 3 = 0$.

Проверим корень $x=0$: $\arccos 0 - \arcsin 0 = \frac{\pi}{2} - 0 = \frac{\pi}{2}$. $\arccos(\sqrt{3 \cdot 0}) = \arccos 0 = \frac{\pi}{2}$. Равенство верно. $x=0$ - корень.

Можно решить иначе, не деля на $\sqrt{x}$:$2x\sqrt{1-x^2} = \sqrt{3x}$.Возводим в квадрат (обе части неотрицательны на ОДЗ):$4x^2(1-x^2) = 3x$$4x^2 - 4x^4 = 3x$$4x^4 - 4x^2 + 3x = 0$$x(4x^3 - 4x + 3) = 0$Один корень $x=0$.Рассмотрим кубическое уравнение $4x^3 - 4x + 3 = 0$. Пусть $f(x)=4x^3 - 4x + 3$. На ОДЗ $x\in[0, 1/3]$, $f(0)=3 > 0$, $f(1/3) = 4/27 - 4/3 + 3 = (4 - 36 + 81)/27 = 49/27 > 0$.Найдем производную: $f'(x) = 12x^2 - 4 = 4(3x^2 - 1)$. На интервале $(0, 1/3)$ производная $f'(x) < 0$, значит функция убывает. Так как $f(1/3)>0$ и $f(0)>0$, то на отрезке $[0, 1/3]$ других корней нет.

Ответ: $x=0$.

4) $\arccos x - \arcsin x = \arcsin(2-3x)$

Найдем ОДЗ:

$\begin{cases} -1 \le x \le 1 \\ -1 \le 2-3x \le 1 \end{cases} \implies \begin{cases} -1 \le x \le 1 \\ -3 \le -3x \le -1 \end{cases} \implies \begin{cases} -1 \le x \le 1 \\ 1/3 \le x \le 1 \end{cases}$

ОДЗ: $x \in [1/3, 1]$.

Используем тождество $\arccos x = \frac{\pi}{2} - \arcsin x$:

$(\frac{\pi}{2} - \arcsin x) - \arcsin x = \arcsin(2-3x)$

$\frac{\pi}{2} - 2\arcsin x = \arcsin(2-3x)$

Возьмем синус от обеих частей уравнения:

$\sin(\frac{\pi}{2} - 2\arcsin x) = \sin(\arcsin(2-3x))$

$\cos(2\arcsin x) = 2-3x$

Используем формулу косинуса двойного угла $\cos(2\alpha) = 1 - 2\sin^2\alpha$. Пусть $\alpha = \arcsin x$.

$1 - 2\sin^2(\arcsin x) = 2-3x$

$1 - 2x^2 = 2-3x$

$2x^2 - 3x + 1 = 0$

Решим квадратное уравнение. Дискриминант $D = (-3)^2 - 4 \cdot 2 \cdot 1 = 9 - 8 = 1$.

$x_1 = \frac{3 - \sqrt{1}}{2 \cdot 2} = \frac{2}{4} = \frac{1}{2}$

$x_2 = \frac{3 + \sqrt{1}}{2 \cdot 2} = \frac{4}{4} = 1$

Оба корня принадлежат ОДЗ $x \in [1/3, 1]$. Проверим их.

Для $x=1/2$:$\arccos(1/2) - \arcsin(1/2) = \frac{\pi}{3} - \frac{\pi}{6} = \frac{\pi}{6}$.$\arcsin(2-3 \cdot 1/2) = \arcsin(2-3/2) = \arcsin(1/2) = \frac{\pi}{6}$.Равенство $\frac{\pi}{6} = \frac{\pi}{6}$ верно.

Для $x=1$:$\arccos(1) - \arcsin(1) = 0 - \frac{\pi}{2} = -\frac{\pi}{2}$.$\arcsin(2-3 \cdot 1) = \arcsin(-1) = -\frac{\pi}{2}$.Равенство $-\frac{\pi}{2} = -\frac{\pi}{2}$ верно.

Оба корня являются решениями.

Ответ: $x=1/2, x=1$.

Помогло решение? Оставьте отзыв в комментариях ниже.

Присоединяйтесь к Телеграм-группе @top_gdz

Присоединиться

Мы подготовили для вас ответ c подробным объяснением домашего задания по алгебре за 10 класс, для упражнения номер 3.56 расположенного на странице 95 к учебнику 2019 года издания для учащихся школ и гимназий.

Теперь на нашем сайте ГДЗ.ТОП вы всегда легко и бесплатно найдёте условие с правильным ответом на вопрос «Как решить ДЗ» и «Как сделать» задание по алгебре к упражнению №3.56 (с. 95), авторов: Шыныбеков (Абдухали Насырович), Шыныбеков (Данияр Абдухалиевич), Жумабаев (Ринат Нурланович), учебного пособия издательства Атамұра.