Номер 5.25, страница 144 - гдз по алгебре 10 класс учебник Шыныбеков, Шыныбеков

Алгебра, 10 класс Учебник, авторы: Шыныбеков Абдухали Насырович, Шыныбеков Данияр Абдухалиевич, Жумабаев Ринат Нурланович, издательство Атамұра, Алматы, 2019

Авторы: Шыныбеков А. Н., Шыныбеков Д. А., Жумабаев Р. Н.

Тип: Учебник

Издательство: Атамұра

Год издания: 2019 - 2026

ISBN: 978-601-331-522-5

Рекомендовано Министерством образования и науки Республики Казахстан

Раздел 5. Многочлены. 5.2. Общий вид многочлена с одной переменной и нахождение его корней - номер 5.25, страница 144.

№5.25 (с. 144)
Учебник рус. №5.25 (с. 144)
скриншот условия
Алгебра, 10 класс Учебник, авторы: Шыныбеков Абдухали Насырович, Шыныбеков Данияр Абдухалиевич, Жумабаев Ринат Нурланович, издательство Атамұра, Алматы, 2019, страница 144, номер 5.25, Учебник рус

5.25. Определите целые корни:

1) $x^5 - 2x^3 - 8x^2 + 13x - 10;$

2) $x^5 - 4x^3 + 4x^2 + 5x - 6;$

3) $x^4 + 3x^3 - 12x^2 - 38x - 24;$

4) $x^4 - 6x^3 - 14x^2 - 11x - 4.$

Учебник кз. №5.25 (с. 144)
Алгебра, 10 класс Учебник, авторы: Шыныбеков Абдухали Насырович, Шыныбеков Данияр Абдухалиевич, Жумабаев Ринат Нурланович, издательство Атамұра, Алматы, 2019, страница 144, номер 5.25, Учебник кз
Решение. №5.25 (с. 144)
Алгебра, 10 класс Учебник, авторы: Шыныбеков Абдухали Насырович, Шыныбеков Данияр Абдухалиевич, Жумабаев Ринат Нурланович, издательство Атамұра, Алматы, 2019, страница 144, номер 5.25, Решение
Алгебра, 10 класс Учебник, авторы: Шыныбеков Абдухали Насырович, Шыныбеков Данияр Абдухалиевич, Жумабаев Ринат Нурланович, издательство Атамұра, Алматы, 2019, страница 144, номер 5.25, Решение (продолжение 2)
Решение 2 (rus). №5.25 (с. 144)

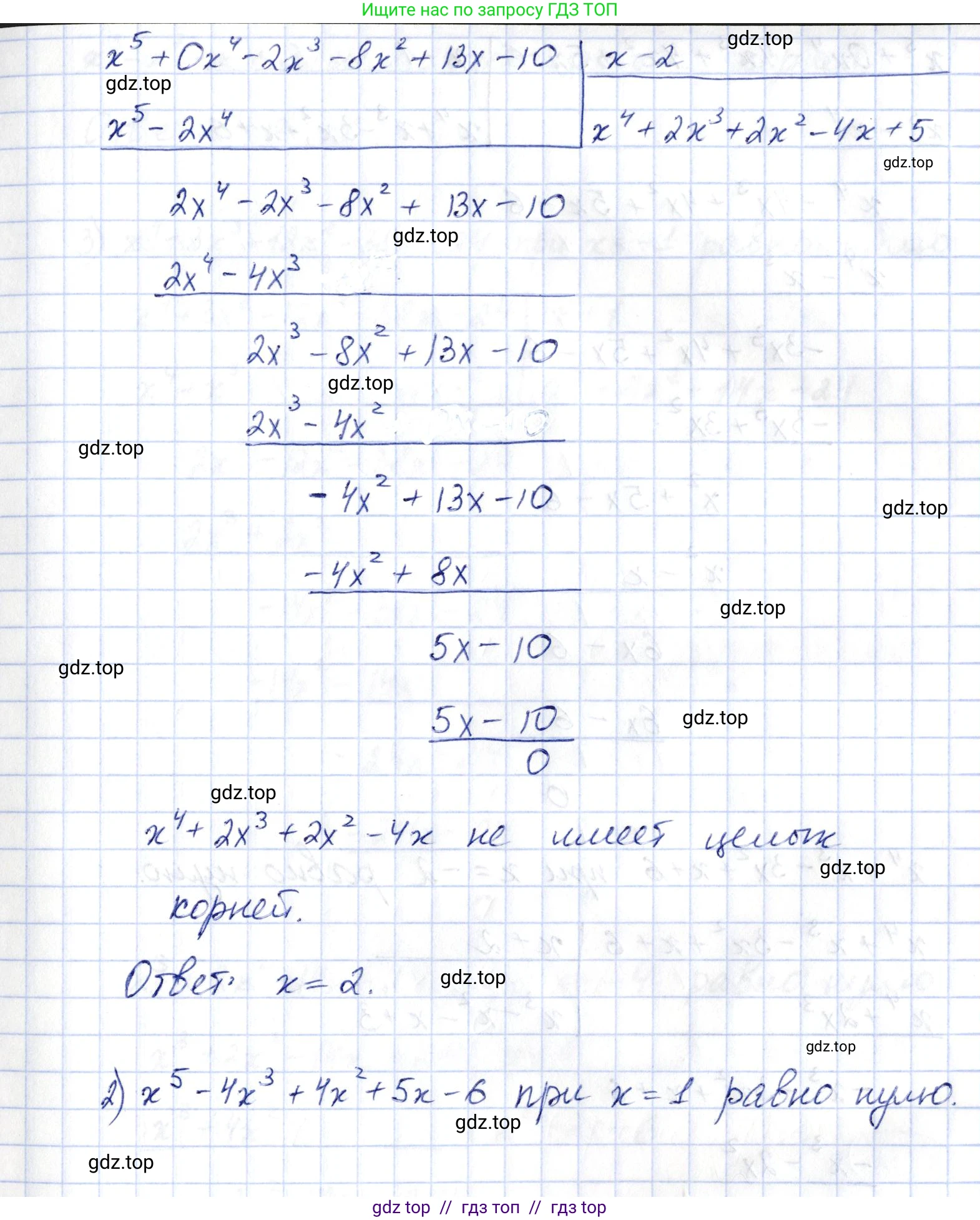
1) Для нахождения целых корней многочлена $P(x) = x^5 - 2x^3 - 8x^2 + 13x - 10$ воспользуемся теоремой о рациональных корнях. Согласно этой теореме, если многочлен с целыми коэффициентами имеет целый корень, то он является делителем свободного члена. Свободный член равен $-10$. Его целые делители: $\pm 1, \pm 2, \pm 5, \pm 10$. Проверим эти значения.
При $x = 1$: $P(1) = 1 - 2 - 8 + 13 - 10 = -6 \neq 0$.
При $x = -1$: $P(-1) = -1 + 2 - 8 - 13 - 10 = -30 \neq 0$.
При $x = 2$: $P(2) = 2^5 - 2(2^3) - 8(2^2) + 13(2) - 10 = 32 - 16 - 32 + 26 - 10 = 0$.
Таким образом, $x=2$ является корнем многочлена. Разделим многочлен $P(x)$ на двучлен $(x-2)$, например, используя схему Горнера:

210-2-813-10122-450244-810

В результате деления получаем многочлен $Q(x) = x^4 + 2x^3 + 2x^2 - 4x + 5$. Теперь ищем целые корни этого многочлена. Его возможные целые корни являются делителями свободного члена 5, то есть $\pm 1, \pm 5$.
При $x = 1$: $Q(1) = 1 + 2 + 2 - 4 + 5 = 6 \neq 0$.
При $x = -1$: $Q(-1) = 1 - 2 + 2 + 4 + 5 = 10 \neq 0$.
При $x = 5$: $Q(5) = 625 + 250 + 50 - 20 + 5 = 910 \neq 0$.
При $x = -5$: $Q(-5) = 625 - 250 + 50 + 20 + 5 = 450 \neq 0$.
Многочлен $Q(x)$ не имеет целых корней. Следовательно, единственный целый корень исходного многочлена - это $x=2$.
Ответ: 2.

2) Рассмотрим многочлен $P(x) = x^5 - 4x^3 + 4x^2 + 5x - 6$. Возможные целые корни являются делителями свободного члена $-6$: $\pm 1, \pm 2, \pm 3, \pm 6$.
При $x = 1$: $P(1) = 1 - 4 + 4 + 5 - 6 = 0$. Значит, $x=1$ - корень.
Разделим $P(x)$ на $(x-1)$ и получим $x^4 + x^3 - 3x^2 + x + 6$.
Теперь ищем корни многочлена $Q(x) = x^4 + x^3 - 3x^2 + x + 6$. Его возможные целые корни - делители числа 6: $\pm 1, \pm 2, \pm 3, \pm 6$.
При $x = 1$: $Q(1) = 1+1-3+1+6 = 6 \neq 0$.
При $x = -1$: $Q(-1) = 1-1-3-1+6 = 2 \neq 0$.
При $x = 2$: $Q(2) = 16+8-12+2+6 = 20 \neq 0$.
При $x = -2$: $Q(-2) = (-2)^4 + (-2)^3 - 3(-2)^2 + (-2) + 6 = 16 - 8 - 12 - 2 + 6 = 0$. Значит, $x=-2$ - корень.
Разделим $Q(x)$ на $(x+2)$ и получим $x^3 - x^2 - x + 3$.
Теперь ищем корни многочлена $R(x) = x^3 - x^2 - x + 3$. Возможные целые корни - делители числа 3: $\pm 1, \pm 3$.
При $x = 1$: $R(1) = 1-1-1+3=2 \neq 0$.
При $x = -1$: $R(-1) = -1-1+1+3=2 \neq 0$.
При $x = 3$: $R(3) = 27-9-3+3=18 \neq 0$.
При $x = -3$: $R(-3) = -27-9+3+3=-30 \neq 0$.
Больше целых корней нет.
Ответ: 1, -2.

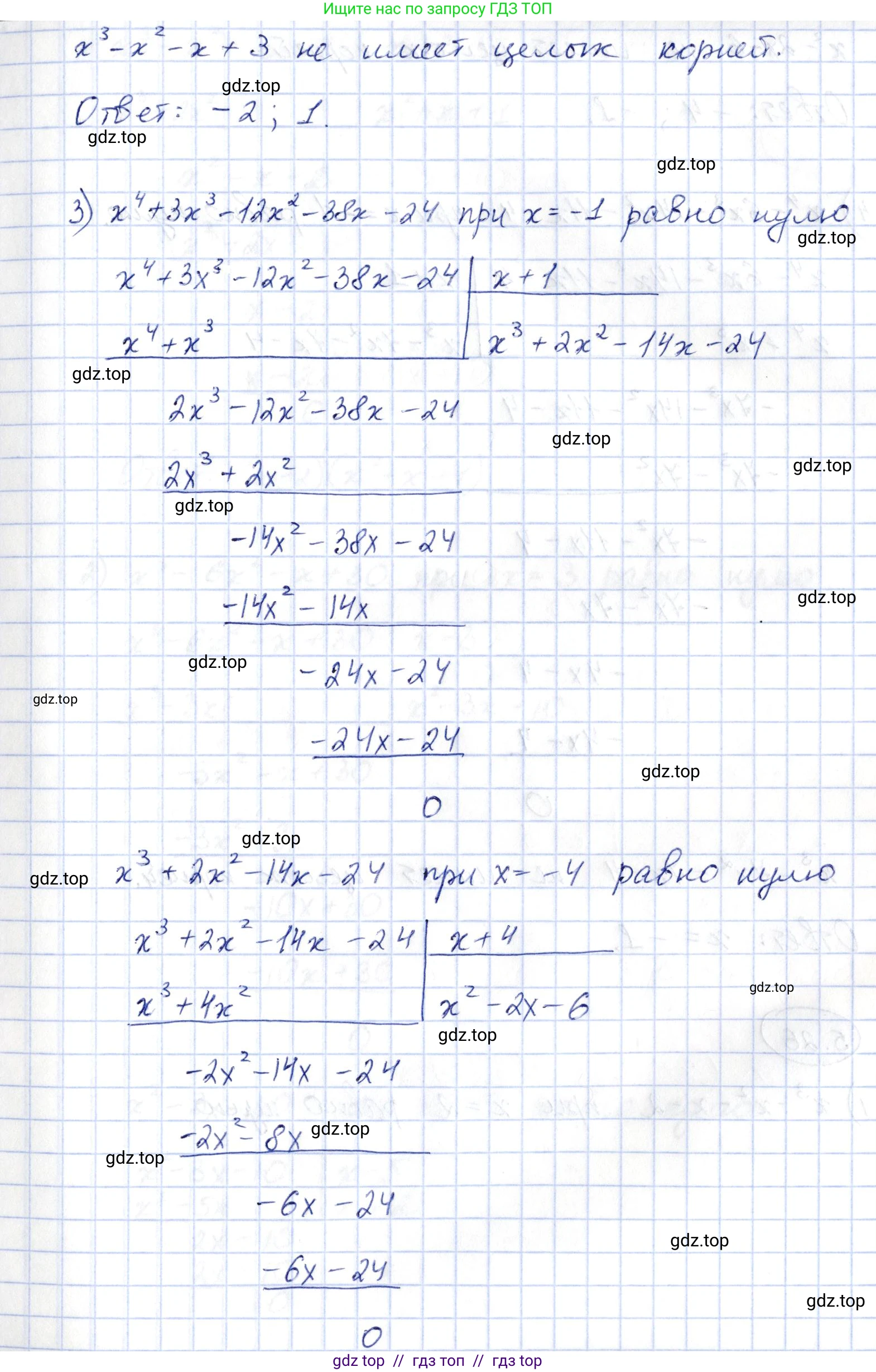
3) Рассмотрим многочлен $P(x) = x^4 + 3x^3 - 12x^2 - 38x - 24$. Возможные целые корни - делители свободного члена $-24$: $\pm 1, \pm 2, \pm 3, \pm 4, \pm 6, \pm 8, \pm 12, \pm 24$.
При $x = -1$: $P(-1) = 1 - 3 - 12 + 38 - 24 = 0$. Значит, $x=-1$ - корень.
Разделим $P(x)$ на $(x+1)$, получим $x^3 + 2x^2 - 14x - 24$.
Теперь ищем корни многочлена $Q(x) = x^3 + 2x^2 - 14x - 24$. Его возможные целые корни - делители числа $-24$.
При $x = -2$: $Q(-2) = -8+8+28-24 = 4 \neq 0$.
При $x = -3$: $Q(-3) = -27+18+42-24 = 9 \neq 0$.
При $x = -4$: $Q(-4) = (-4)^3 + 2(-4)^2 - 14(-4) - 24 = -64 + 32 + 56 - 24 = 0$. Значит, $x=-4$ - корень.
Разделим $Q(x)$ на $(x+4)$, получим $x^2 - 2x - 6$.
Оставшиеся корни являются решениями квадратного уравнения $x^2 - 2x - 6 = 0$.
Найдем дискриминант: $D = (-2)^2 - 4(1)(-6) = 4 + 24 = 28$.
Корни: $x = \frac{2 \pm \sqrt{28}}{2} = 1 \pm \sqrt{7}$. Эти корни не являются целыми.
Ответ: -1, -4.

4) Рассмотрим многочлен $P(x) = x^4 - 6x^3 - 14x^2 - 11x - 4$. Возможные целые корни - делители свободного члена $-4$: $\pm 1, \pm 2, \pm 4$.
При $x = 1$: $P(1) = 1 - 6 - 14 - 11 - 4 = -34 \neq 0$.
При $x = -1$: $P(-1) = 1 - 6(-1) - 14(1) - 11(-1) - 4 = 1 + 6 - 14 + 11 - 4 = 0$. Значит, $x=-1$ - корень.
Разделим $P(x)$ на $(x+1)$, получим $x^3 - 7x^2 - 7x - 4$.
Теперь ищем корни многочлена $Q(x) = x^3 - 7x^2 - 7x - 4$. Его возможные целые корни - делители числа $-4$: $\pm 1, \pm 2, \pm 4$.
При $x = -1$: $Q(-1) = -1 - 7(1) - 7(-1) - 4 = -1 - 7 + 7 - 4 = -5 \neq 0$.
При $x = 2$: $Q(2) = 8 - 7(4) - 7(2) - 4 = 8 - 28 - 14 - 4 = -38 \neq 0$.
При $x = -2$: $Q(-2) = -8 - 7(4) - 7(-2) - 4 = -8 - 28 + 14 - 4 = -26 \neq 0$.
При $x = 4$: $Q(4) = 64 - 7(16) - 7(4) - 4 = 64 - 112 - 28 - 4 = -80 \neq 0$.
При $x = -4$: $Q(-4) = -64 - 7(16) - 7(-4) - 4 = -64 - 112 + 28 - 4 = -152 \neq 0$.
Больше целых корней нет.
Ответ: -1.

Помогло решение? Оставьте отзыв в комментариях ниже.

Присоединяйтесь к Телеграм-группе @top_gdz

Присоединиться

Мы подготовили для вас ответ c подробным объяснением домашего задания по алгебре за 10 класс, для упражнения номер 5.25 расположенного на странице 144 к учебнику 2019 года издания для учащихся школ и гимназий.

Теперь на нашем сайте ГДЗ.ТОП вы всегда легко и бесплатно найдёте условие с правильным ответом на вопрос «Как решить ДЗ» и «Как сделать» задание по алгебре к упражнению №5.25 (с. 144), авторов: Шыныбеков (Абдухали Насырович), Шыныбеков (Данияр Абдухалиевич), Жумабаев (Ринат Нурланович), учебного пособия издательства Атамұра.