Номер 6.28, страница 171 - гдз по алгебре 10 класс учебник Шыныбеков, Шыныбеков

Алгебра, 10 класс Учебник, авторы: Шыныбеков Абдухали Насырович, Шыныбеков Данияр Абдухалиевич, Жумабаев Ринат Нурланович, издательство Атамұра, Алматы, 2019

Авторы: Шыныбеков А. Н., Шыныбеков Д. А., Жумабаев Р. Н.

Тип: Учебник

Издательство: Атамұра

Год издания: 2019 - 2026

ISBN: 978-601-331-522-5

Рекомендовано Министерством образования и науки Республики Казахстан

Раздел 6. Предел и непрерывность. 6.1. Предел функции в точке - номер 6.28, страница 171.

№6.28 (с. 171)
Учебник рус. №6.28 (с. 171)
скриншот условия
Алгебра, 10 класс Учебник, авторы: Шыныбеков Абдухали Насырович, Шыныбеков Данияр Абдухалиевич, Жумабаев Ринат Нурланович, издательство Атамұра, Алматы, 2019, страница 171, номер 6.28, Учебник рус

6.28. Упростите выражение:

1) $tg^4\varphi[8\cos^2(\pi-\varphi)-\cos(\pi+4\varphi)-1];$

2) $\frac{1}{\operatorname{tg}^2\alpha} - \frac{2\cos 2\alpha}{1+\sin(2\alpha+1,5\pi)}$

6.29. Постройте график уравнения:

Учебник кз. №6.28 (с. 171)
Алгебра, 10 класс Учебник, авторы: Шыныбеков Абдухали Насырович, Шыныбеков Данияр Абдухалиевич, Жумабаев Ринат Нурланович, издательство Атамұра, Алматы, 2019, страница 171, номер 6.28, Учебник кз
Решение. №6.28 (с. 171)
Алгебра, 10 класс Учебник, авторы: Шыныбеков Абдухали Насырович, Шыныбеков Данияр Абдухалиевич, Жумабаев Ринат Нурланович, издательство Атамұра, Алматы, 2019, страница 171, номер 6.28, Решение
Алгебра, 10 класс Учебник, авторы: Шыныбеков Абдухали Насырович, Шыныбеков Данияр Абдухалиевич, Жумабаев Ринат Нурланович, издательство Атамұра, Алматы, 2019, страница 171, номер 6.28, Решение (продолжение 2)
Решение 2 (rus). №6.28 (с. 171)

1) Упростим выражение $tg^4\phi[8\cos^2(\pi - \phi) - \cos(\pi + 4\phi) - 1]$.

Сначала преобразуем тригонометрические функции в скобках, используя формулы приведения:

$\cos(\pi - \phi) = -\cos\phi$, следовательно, $\cos^2(\pi - \phi) = (-\cos\phi)^2 = \cos^2\phi$.

$\cos(\pi + 4\phi) = -\cos(4\phi)$.

Подставим эти выражения в скобки:

$8\cos^2\phi - (-\cos(4\phi)) - 1 = 8\cos^2\phi + \cos(4\phi) - 1$.

Теперь воспользуемся формулой двойного угла для косинуса $\cos(2x) = 1 - 2\sin^2x$. Применим ее к $\cos(4\phi) = \cos(2 \cdot 2\phi)$:

$\cos(4\phi) = 1 - 2\sin^2(2\phi)$.

Выражение в скобках принимает вид:

$8\cos^2\phi + (1 - 2\sin^2(2\phi)) - 1 = 8\cos^2\phi - 2\sin^2(2\phi)$.

Используем формулу синуса двойного угла $\sin(2\phi) = 2\sin\phi\cos\phi$:

$8\cos^2\phi - 2(2\sin\phi\cos\phi)^2 = 8\cos^2\phi - 2(4\sin^2\phi\cos^2\phi) = 8\cos^2\phi - 8\sin^2\phi\cos^2\phi$.

Вынесем общий множитель $8\cos^2\phi$:

$8\cos^2\phi(1 - \sin^2\phi)$.

Используя основное тригонометрическое тождество $\sin^2\phi + \cos^2\phi = 1$, из которого следует, что $1 - \sin^2\phi = \cos^2\phi$, получаем:

$8\cos^2\phi \cdot \cos^2\phi = 8\cos^4\phi$.

Теперь умножим полученный результат на множитель перед скобками, то есть на $\text{tg}^4\phi$:

$\text{tg}^4\phi \cdot (8\cos^4\phi) = \frac{\sin^4\phi}{\cos^4\phi} \cdot 8\cos^4\phi = 8\sin^4\phi$.

Ответ: $8\sin^4\phi$.

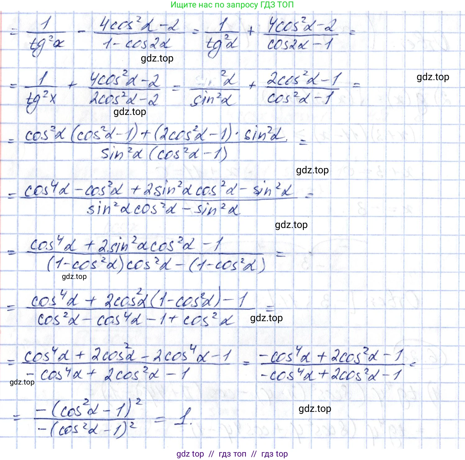
2) Упростим выражение $\frac{1}{\text{tg}^2\alpha} - \frac{2\cos2\alpha}{1 + \sin(2\alpha + 1,5\pi)}$.

Сначала преобразуем знаменатель второй дроби. Учитывая, что $1,5\pi = \frac{3\pi}{2}$, используем формулу приведения:

$\sin(2\alpha + \frac{3\pi}{2}) = \sin(\frac{3\pi}{2} + 2\alpha) = -\cos(2\alpha)$.

Тогда знаменатель становится $1 + (-\cos(2\alpha)) = 1 - \cos(2\alpha)$.

Используем формулу двойного угла для косинуса: $\cos(2\alpha) = 1 - 2\sin^2\alpha$.

Знаменатель равен $1 - (1 - 2\sin^2\alpha) = 1 - 1 + 2\sin^2\alpha = 2\sin^2\alpha$.

Теперь вся вторая дробь имеет вид:

$\frac{2\cos2\alpha}{2\sin^2\alpha} = \frac{\cos2\alpha}{\sin^2\alpha}$.

Преобразуем первую дробь, используя определение тангенса $\text{tg}\alpha = \frac{\sin\alpha}{\cos\alpha}$:

$\frac{1}{\text{tg}^2\alpha} = \frac{1}{(\frac{\sin\alpha}{\cos\alpha})^2} = \frac{1}{\frac{\sin^2\alpha}{\cos^2\alpha}} = \frac{\cos^2\alpha}{\sin^2\alpha}$.

Подставим преобразованные дроби в исходное выражение:

$\frac{\cos^2\alpha}{\sin^2\alpha} - \frac{\cos2\alpha}{\sin^2\alpha} = \frac{\cos^2\alpha - \cos2\alpha}{\sin^2\alpha}$.

Снова используем формулу двойного угла для косинуса, на этот раз в виде $\cos(2\alpha) = \cos^2\alpha - \sin^2\alpha$:

$\cos^2\alpha - \cos2\alpha = \cos^2\alpha - (\cos^2\alpha - \sin^2\alpha) = \cos^2\alpha - \cos^2\alpha + \sin^2\alpha = \sin^2\alpha$.

Подставим это в числитель дроби:

$\frac{\sin^2\alpha}{\sin^2\alpha} = 1$.

Ответ: $1$.

Помогло решение? Оставьте отзыв в комментариях ниже.

Присоединяйтесь к Телеграм-группе @top_gdz

Присоединиться

Мы подготовили для вас ответ c подробным объяснением домашего задания по алгебре за 10 класс, для упражнения номер 6.28 расположенного на странице 171 к учебнику 2019 года издания для учащихся школ и гимназий.

Теперь на нашем сайте ГДЗ.ТОП вы всегда легко и бесплатно найдёте условие с правильным ответом на вопрос «Как решить ДЗ» и «Как сделать» задание по алгебре к упражнению №6.28 (с. 171), авторов: Шыныбеков (Абдухали Насырович), Шыныбеков (Данияр Абдухалиевич), Жумабаев (Ринат Нурланович), учебного пособия издательства Атамұра.