Номер 7.105, страница 226 - гдз по алгебре 10 класс учебник Шыныбеков, Шыныбеков

Алгебра, 10 класс Учебник, авторы: Шыныбеков Абдухали Насырович, Шыныбеков Данияр Абдухалиевич, Жумабаев Ринат Нурланович, издательство Атамұра, Алматы, 2019

Авторы: Шыныбеков А. Н., Шыныбеков Д. А., Жумабаев Р. Н.

Тип: Учебник

Издательство: Атамұра

Год издания: 2019 - 2026

ISBN: 978-601-331-522-5

Рекомендовано Министерством образования и науки Республики Казахстан

Раздел 7. Производная и ее применение. 7.5. Упрощённая схема исследования и построения графика функции - номер 7.105, страница 226.

№7.105 (с. 226)
Учебник рус. №7.105 (с. 226)
скриншот условия
Алгебра, 10 класс Учебник, авторы: Шыныбеков Абдухали Насырович, Шыныбеков Данияр Абдухалиевич, Жумабаев Ринат Нурланович, издательство Атамұра, Алматы, 2019, страница 226, номер 7.105, Учебник рус

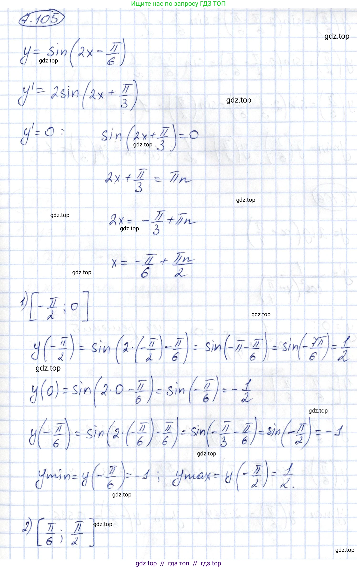
7.105. $y = \sin \left(2x - \frac{\pi}{6}\right)$;

1) $\left[-\frac{\pi}{2};0\right]$;

2) $\left[\frac{\pi}{6};\frac{\pi}{2}\right]$.

Учебник кз. №7.105 (с. 226)
Алгебра, 10 класс Учебник, авторы: Шыныбеков Абдухали Насырович, Шыныбеков Данияр Абдухалиевич, Жумабаев Ринат Нурланович, издательство Атамұра, Алматы, 2019, страница 226, номер 7.105, Учебник кз
Решение. №7.105 (с. 226)
Алгебра, 10 класс Учебник, авторы: Шыныбеков Абдухали Насырович, Шыныбеков Данияр Абдухалиевич, Жумабаев Ринат Нурланович, издательство Атамұра, Алматы, 2019, страница 226, номер 7.105, Решение
Алгебра, 10 класс Учебник, авторы: Шыныбеков Абдухали Насырович, Шыныбеков Данияр Абдухалиевич, Жумабаев Ринат Нурланович, издательство Атамұра, Алматы, 2019, страница 226, номер 7.105, Решение (продолжение 2)
Решение 2 (rus). №7.105 (с. 226)

1) Для нахождения множества значений функции $y = \sin(2x - \frac{\pi}{6})$ на отрезке $[-\frac{\pi}{2}; 0]$, сначала определим, в каких границах изменяется аргумент синуса.
Пусть $t = 2x - \frac{\pi}{6}$. Найдём отрезок значений для $t$, соответствующий отрезку $x \in [-\frac{\pi}{2}; 0]$.
При $x = -\frac{\pi}{2}$ имеем: $t = 2(-\frac{\pi}{2}) - \frac{\pi}{6} = -\pi - \frac{\pi}{6} = -\frac{7\pi}{6}$.
При $x = 0$ имеем: $t = 2(0) - \frac{\pi}{6} = -\frac{\pi}{6}$.
Таким образом, когда $x$ изменяется на отрезке $[-\frac{\pi}{2}; 0]$, переменная $t$ изменяется на отрезке $[-\frac{7\pi}{6}; -\frac{\pi}{6}]$.
Теперь задача сводится к нахождению множества значений функции $y = \sin(t)$ на отрезке $t \in [-\frac{7\pi}{6}; -\frac{\pi}{6}]$.
Чтобы найти наименьшее и наибольшее значения функции $\sin(t)$ на этом отрезке, найдём её значения на концах отрезка и в точках экстремума, которые попадают в этот отрезок.
Значения на концах отрезка:
$\sin(-\frac{7\pi}{6}) = \sin(\frac{5\pi}{6}) = \frac{1}{2}$.
$\sin(-\frac{\pi}{6}) = -\frac{1}{2}$.
Функция $\sin(t)$ достигает своего минимума, равного $-1$, в точках $t = -\frac{\pi}{2} + 2k\pi$, $k \in \mathbb{Z}$. Точка $t = -\frac{\pi}{2}$ принадлежит отрезку $[-\frac{7\pi}{6}; -\frac{\pi}{6}]$, так как $-\frac{7\pi}{6} \le -\frac{\pi}{2} \le -\frac{\pi}{6}$. Следовательно, наименьшее значение функции на данном отрезке равно $-1$.
Функция $\sin(t)$ достигает своего максимума, равного $1$, в точках $t = \frac{\pi}{2} + 2k\pi$, $k \in \mathbb{Z}$. Ни одна из этих точек не попадает в отрезок $[-\frac{7\pi}{6}; -\frac{\pi}{6}]$.
Сравнивая вычисленные значения ($\frac{1}{2}$, $-\frac{1}{2}$ и $-1$), получаем, что наименьшее значение функции равно $-1$, а наибольшее — $\frac{1}{2}$.
Следовательно, множество значений функции на данном отрезке — это все числа от $-1$ до $\frac{1}{2}$ включительно.
Ответ: $[-1; \frac{1}{2}]$.

2) Для нахождения множества значений функции $y = \sin(2x - \frac{\pi}{6})$ на отрезке $[\frac{\pi}{6}; \frac{\pi}{2}]$, определим границы изменения аргумента синуса.
Пусть $t = 2x - \frac{\pi}{6}$. Найдём отрезок значений для $t$, соответствующий отрезку $x \in [\frac{\pi}{6}; \frac{\pi}{2}]$.
При $x = \frac{\pi}{6}$ имеем: $t = 2(\frac{\pi}{6}) - \frac{\pi}{6} = \frac{\pi}{3} - \frac{\pi}{6} = \frac{\pi}{6}$.
При $x = \frac{\pi}{2}$ имеем: $t = 2(\frac{\pi}{2}) - \frac{\pi}{6} = \pi - \frac{\pi}{6} = \frac{5\pi}{6}$.
Таким образом, когда $x$ изменяется на отрезке $[\frac{\pi}{6}; \frac{\pi}{2}]$, переменная $t$ изменяется на отрезке $[\frac{\pi}{6}; \frac{5\pi}{6}]$.
Теперь задача сводится к нахождению множества значений функции $y = \sin(t)$ на отрезке $t \in [\frac{\pi}{6}; \frac{5\pi}{6}]$.
Найдём значения функции на концах этого отрезка и в точках экстремума внутри него.
Значения на концах отрезка:
$\sin(\frac{\pi}{6}) = \frac{1}{2}$.
$\sin(\frac{5\pi}{6}) = \frac{1}{2}$.
Функция $\sin(t)$ достигает своего максимума, равного $1$, в точках $t = \frac{\pi}{2} + 2k\pi$, $k \in \mathbb{Z}$. Точка $t = \frac{\pi}{2}$ принадлежит отрезку $[\frac{\pi}{6}; \frac{5\pi}{6}]$, так как $\frac{\pi}{6} \le \frac{\pi}{2} \le \frac{5\pi}{6}$. Следовательно, наибольшее значение функции на данном отрезке равно $1$.
Функция $\sin(t)$ достигает своего минимума, равного $-1$, в точках $t = -\frac{\pi}{2} + 2k\pi$, $k \in \mathbb{Z}$. Ни одна из этих точек не попадает в отрезок $[\frac{\pi}{6}; \frac{5\pi}{6}]$.
Сравнивая вычисленные значения ($\frac{1}{2}$ и $1$), получаем, что наименьшее значение функции равно $\frac{1}{2}$, а наибольшее — $1$.
Следовательно, множество значений функции на данном отрезке — это все числа от $\frac{1}{2}$ до $1$ включительно.
Ответ: $[\frac{1}{2}; 1]$.

Помогло решение? Оставьте отзыв в комментариях ниже.

Присоединяйтесь к Телеграм-группе @top_gdz

Присоединиться

Мы подготовили для вас ответ c подробным объяснением домашего задания по алгебре за 10 класс, для упражнения номер 7.105 расположенного на странице 226 к учебнику 2019 года издания для учащихся школ и гимназий.

Теперь на нашем сайте ГДЗ.ТОП вы всегда легко и бесплатно найдёте условие с правильным ответом на вопрос «Как решить ДЗ» и «Как сделать» задание по алгебре к упражнению №7.105 (с. 226), авторов: Шыныбеков (Абдухали Насырович), Шыныбеков (Данияр Абдухалиевич), Жумабаев (Ринат Нурланович), учебного пособия издательства Атамұра.