Номер 7.65, страница 216 - гдз по алгебре 10 класс учебник Шыныбеков, Шыныбеков

Алгебра, 10 класс Учебник, авторы: Шыныбеков Абдухали Насырович, Шыныбеков Данияр Абдухалиевич, Жумабаев Ринат Нурланович, издательство Атамұра, Алматы, 2019

Авторы: Шыныбеков А. Н., Шыныбеков Д. А., Жумабаев Р. Н.

Тип: Учебник

Издательство: Атамұра

Год издания: 2019 - 2026

ISBN: 978-601-331-522-5

Рекомендовано Министерством образования и науки Республики Казахстан

Раздел 7. Производная и ее применение. 7.3. Производные сложной и обратной функций - номер 7.65, страница 216.

№7.65 (с. 216)
Учебник рус. №7.65 (с. 216)
скриншот условия
Алгебра, 10 класс Учебник, авторы: Шыныбеков Абдухали Насырович, Шыныбеков Данияр Абдухалиевич, Жумабаев Ринат Нурланович, издательство Атамұра, Алматы, 2019, страница 216, номер 7.65, Учебник рус

7.65.

1) $y = \sin \sqrt{x} \cdot \cos (x^2 + 1);$

2) $y = \operatorname{tg} \sqrt{x} \cdot \sin (x + 4);$

3) $y = \frac{2x^2 + 1}{\cos (2x - 1)};$

4) $y = \frac{\operatorname{ctg} \sqrt{x^2 + 1}}{\sqrt{x^2 - 1}}.$

Учебник кз. №7.65 (с. 216)
Алгебра, 10 класс Учебник, авторы: Шыныбеков Абдухали Насырович, Шыныбеков Данияр Абдухалиевич, Жумабаев Ринат Нурланович, издательство Атамұра, Алматы, 2019, страница 216, номер 7.65, Учебник кз
Решение. №7.65 (с. 216)
Алгебра, 10 класс Учебник, авторы: Шыныбеков Абдухали Насырович, Шыныбеков Данияр Абдухалиевич, Жумабаев Ринат Нурланович, издательство Атамұра, Алматы, 2019, страница 216, номер 7.65, Решение
Алгебра, 10 класс Учебник, авторы: Шыныбеков Абдухали Насырович, Шыныбеков Данияр Абдухалиевич, Жумабаев Ринат Нурланович, издательство Атамұра, Алматы, 2019, страница 216, номер 7.65, Решение (продолжение 2)
Решение 2 (rus). №7.65 (с. 216)

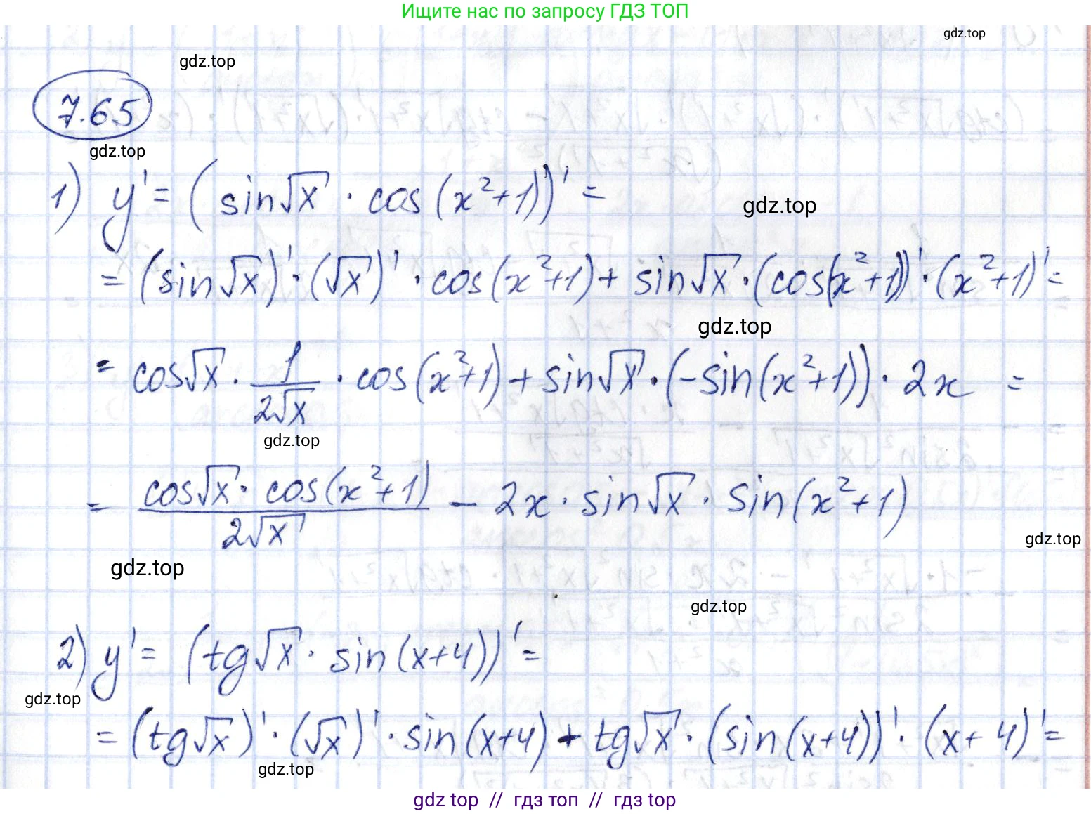
1) Для нахождения производной функции $y = \sin\sqrt{x} \cdot \cos(x^2 + 1)$ воспользуемся правилом дифференцирования произведения двух функций: $(u \cdot v)' = u'v + uv'$.

Пусть $u(x) = \sin\sqrt{x}$ и $v(x) = \cos(x^2 + 1)$.

Найдем производную $u(x)$ по правилу дифференцирования сложной функции:

$u'(x) = (\sin\sqrt{x})' = \cos\sqrt{x} \cdot (\sqrt{x})' = \cos\sqrt{x} \cdot \frac{1}{2\sqrt{x}} = \frac{\cos\sqrt{x}}{2\sqrt{x}}$.

Найдем производную $v(x)$, также по правилу дифференцирования сложной функции:

$v'(x) = (\cos(x^2 + 1))' = -\sin(x^2 + 1) \cdot (x^2 + 1)' = -\sin(x^2 + 1) \cdot 2x = -2x\sin(x^2 + 1)$.

Теперь подставим найденные производные в формулу для производной произведения:

$y' = u'v + uv' = \frac{\cos\sqrt{x}}{2\sqrt{x}} \cdot \cos(x^2 + 1) + \sin\sqrt{x} \cdot (-2x\sin(x^2 + 1))$.

Упростим выражение:

$y' = \frac{\cos\sqrt{x} \cos(x^2 + 1)}{2\sqrt{x}} - 2x\sin\sqrt{x}\sin(x^2 + 1)$.

Ответ: $y' = \frac{\cos\sqrt{x} \cos(x^2 + 1)}{2\sqrt{x}} - 2x\sin\sqrt{x}\sin(x^2 + 1)$.

2) Для нахождения производной функции $y = \operatorname{tg}\sqrt{x} \cdot \sin(x + 4)$ воспользуемся правилом дифференцирования произведения: $(u \cdot v)' = u'v + uv'$.

Пусть $u(x) = \operatorname{tg}\sqrt{x}$ и $v(x) = \sin(x + 4)$.

Найдем производную $u(x)$ как производную сложной функции:

$u'(x) = (\operatorname{tg}\sqrt{x})' = \frac{1}{\cos^2\sqrt{x}} \cdot (\sqrt{x})' = \frac{1}{\cos^2\sqrt{x}} \cdot \frac{1}{2\sqrt{x}} = \frac{1}{2\sqrt{x}\cos^2\sqrt{x}}$.

Найдем производную $v(x)$:

$v'(x) = (\sin(x + 4))' = \cos(x + 4) \cdot (x + 4)' = \cos(x + 4) \cdot 1 = \cos(x + 4)$.

Подставим найденные производные в формулу:

$y' = u'v + uv' = \frac{1}{2\sqrt{x}\cos^2\sqrt{x}} \cdot \sin(x + 4) + \operatorname{tg}\sqrt{x} \cdot \cos(x + 4)$.

$y' = \frac{\sin(x + 4)}{2\sqrt{x}\cos^2\sqrt{x}} + \operatorname{tg}\sqrt{x}\cos(x + 4)$.

Ответ: $y' = \frac{\sin(x + 4)}{2\sqrt{x}\cos^2\sqrt{x}} + \operatorname{tg}\sqrt{x}\cos(x + 4)$.

3) Для нахождения производной функции $y = \frac{2x^2 + 1}{\cos(2x - 1)}$ применим правило дифференцирования частного: $(\frac{u}{v})' = \frac{u'v - uv'}{v^2}$.

Пусть $u(x) = 2x^2 + 1$ и $v(x) = \cos(2x - 1)$.

Найдем производную числителя $u(x)$:

$u'(x) = (2x^2 + 1)' = 4x$.

Найдем производную знаменателя $v(x)$ по правилу дифференцирования сложной функции:

$v'(x) = (\cos(2x - 1))' = -\sin(2x - 1) \cdot (2x - 1)' = -\sin(2x - 1) \cdot 2 = -2\sin(2x - 1)$.

Подставим все в формулу производной частного:

$y' = \frac{u'v - uv'}{v^2} = \frac{4x \cdot \cos(2x - 1) - (2x^2 + 1) \cdot (-2\sin(2x - 1))}{(\cos(2x - 1))^2}$.

Упростим числитель:

$y' = \frac{4x\cos(2x - 1) + 2(2x^2 + 1)\sin(2x - 1)}{\cos^2(2x - 1)}$.

Ответ: $y' = \frac{4x\cos(2x - 1) + 2(2x^2 + 1)\sin(2x - 1)}{\cos^2(2x - 1)}$.

4) Для нахождения производной функции $y = \frac{\operatorname{ctg}\sqrt{x^2 + 1}}{\sqrt{x^2 - 1}}$ применим правило дифференцирования частного: $(\frac{u}{v})' = \frac{u'v - uv'}{v^2}$.

Пусть $u(x) = \operatorname{ctg}\sqrt{x^2 + 1}$ и $v(x) = \sqrt{x^2 - 1}$.

Найдем производную числителя $u(x)$, используя цепное правило (производная сложной функции):

$u'(x) = (\operatorname{ctg}\sqrt{x^2 + 1})' = -\frac{1}{\sin^2(\sqrt{x^2 + 1})} \cdot (\sqrt{x^2 + 1})'$.

Производная внутреннего выражения: $(\sqrt{x^2 + 1})' = \frac{1}{2\sqrt{x^2 + 1}} \cdot (x^2 + 1)' = \frac{2x}{2\sqrt{x^2 + 1}} = \frac{x}{\sqrt{x^2 + 1}}$.

Следовательно, $u'(x) = -\frac{1}{\sin^2(\sqrt{x^2 + 1})} \cdot \frac{x}{\sqrt{x^2 + 1}} = -\frac{x}{\sqrt{x^2 + 1}\sin^2(\sqrt{x^2 + 1})}$.

Найдем производную знаменателя $v(x)$:

$v'(x) = (\sqrt{x^2 - 1})' = \frac{1}{2\sqrt{x^2 - 1}} \cdot (x^2 - 1)' = \frac{2x}{2\sqrt{x^2 - 1}} = \frac{x}{\sqrt{x^2 - 1}}$.

Квадрат знаменателя: $v^2 = (\sqrt{x^2 - 1})^2 = x^2 - 1$.

Подставим все компоненты в формулу производной частного:

$y' = \frac{u'v - uv'}{v^2} = \frac{\left(-\frac{x}{\sqrt{x^2 + 1}\sin^2(\sqrt{x^2 + 1})}\right) \cdot \sqrt{x^2 - 1} - \operatorname{ctg}\sqrt{x^2 + 1} \cdot \left(\frac{x}{\sqrt{x^2 - 1}}\right)}{x^2 - 1}$.

Ответ: $y' = \frac{-\frac{x\sqrt{x^2 - 1}}{\sqrt{x^2 + 1}\sin^2(\sqrt{x^2 + 1})} - \frac{x\operatorname{ctg}\sqrt{x^2 + 1}}{\sqrt{x^2 - 1}}}{x^2 - 1}$.

Помогло решение? Оставьте отзыв в комментариях ниже.

Присоединяйтесь к Телеграм-группе @top_gdz

Присоединиться

Мы подготовили для вас ответ c подробным объяснением домашего задания по алгебре за 10 класс, для упражнения номер 7.65 расположенного на странице 216 к учебнику 2019 года издания для учащихся школ и гимназий.

Теперь на нашем сайте ГДЗ.ТОП вы всегда легко и бесплатно найдёте условие с правильным ответом на вопрос «Как решить ДЗ» и «Как сделать» задание по алгебре к упражнению №7.65 (с. 216), авторов: Шыныбеков (Абдухали Насырович), Шыныбеков (Данияр Абдухалиевич), Жумабаев (Ринат Нурланович), учебного пособия издательства Атамұра.