Номер 393, страница 109 - гдз по алгебре 8 класс учебник Солтан, Солтан

Алгебра, 8 класс Учебник, авторы: Солтан Генадий Николаевич, Солтан Алла Евгеньевна, Жумадилова Аманбала Жумадиловна, издательство Кокшетау, Алматы, 2018 Алгебра, 8 класс Учебник, авторы: Солтан Генадий Николаевич, Солтан Алла Евгеньевна, Жумадилова Аманбала Жумадиловна, издательство Кокшетау, Алматы, 2018

Авторы: Солтан Г. Н., Солтан А. Е., Жумадилова А. Ж.

Тип: Учебник

Издательство: Кокшетау

Год издания: 2018 - 2026

ISBN: 978-601-317-332-0

Утверждено Министерством образования и науки Республики Казахстан

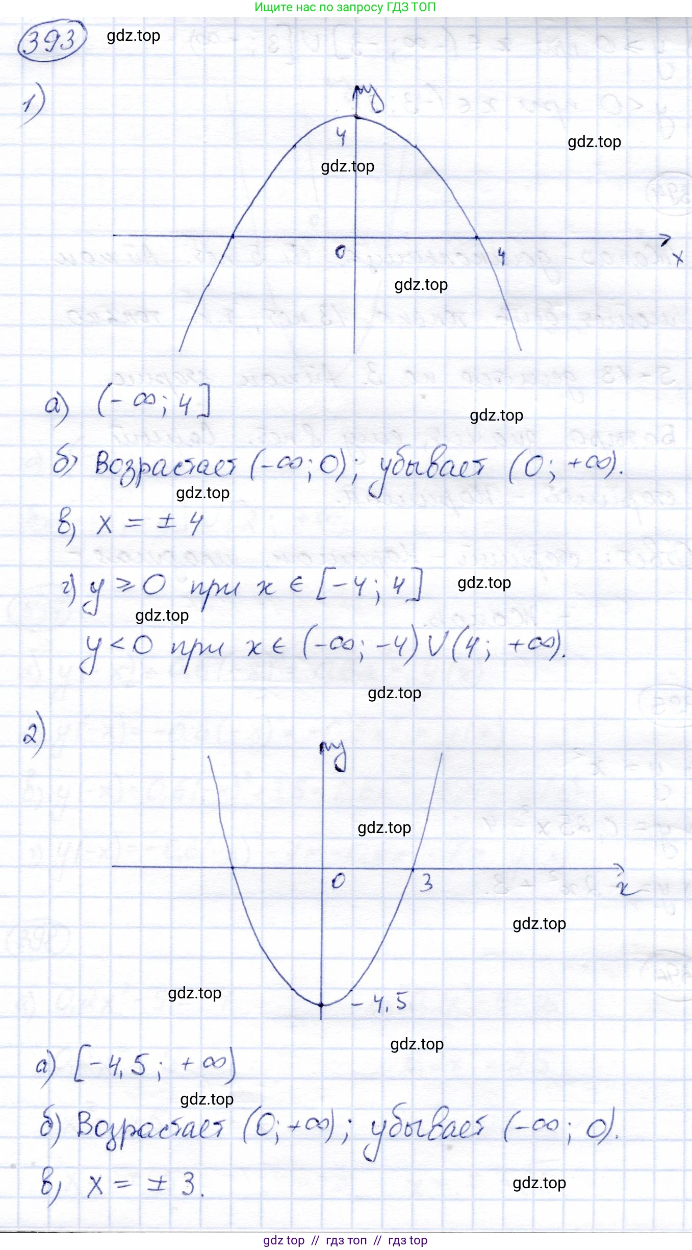
III. Квадратичная функция. 17. Определение квадратичной функции. Функция у = ах^2 + n и ее график - номер 393, страница 109.

App\Models\Task {#1003 // resources/views/models/task/default.blade.php
  #connection: "mysql"
  #table: "tasks"
  #primaryKey: "id"
  #keyType: "int"
  +incrementing: true
  #with: []
  #withCount: []
  +preventsLazyLoading: false
  #perPage: 15
  +exists: true
  +wasRecentlyCreated: false
  #escapeWhenCastingToString: false
  #attributes: array:24 [
    "id" => 1103591
    "created_at" => "2026-04-10 13:58:26"
    "updated_at" => null
    "field_page_start" => "109"
    "field_page_end" => null
    "field_url" => "/8-klass/algebra/kokshetau-soltan-uchebnik/1-393"
    "field_display_title" => "393"
    "field_outside_task" => null
    "field_task_type" => Illuminate\Database\Eloquent\Collection {#1009
      #items: array:1 [
        0 => App\Models\Term {#1008
          #connection: "mysql"
          #table: "terms"
          #primaryKey: "id"
          #keyType: "int"
          +incrementing: false
          #with: []
          #withCount: []
          +preventsLazyLoading: false
          #perPage: 15
          +exists: true
          +wasRecentlyCreated: false
          #escapeWhenCastingToString: false
          #attributes: array:6 [
            "id" => 26
            "created_at" => "2026-04-10 13:58:26"
            "updated_at" => null
            "name" => "номер"
            "field_cases" => array:6 [
              "field_accusative_case" => "номер"
              "field_creative_case" => "номером"
              "field_dative_case" => "номеру"
              "field_genitive_case" => "номера"
              "field_nominative_case" => "номер"
              "field_prepositional_case" => "номере"
            ]
            "field_short_name" => ""
          ]
          #original: array:6 [
            "id" => 26
            "created_at" => "2026-04-10 13:58:26"
            "updated_at" => null
            "name" => "номер"
            "field_cases" => array:6 [
              "field_accusative_case" => "номер"
              "field_creative_case" => "номером"
              "field_dative_case" => "номеру"
              "field_genitive_case" => "номера"
              "field_nominative_case" => "номер"
              "field_prepositional_case" => "номере"
            ]
            "field_short_name" => ""
          ]
          #changes: []
          #casts: []
          #classCastCache: []
          #attributeCastCache: []
          #dateFormat: null
          #appends: []
          #dispatchesEvents: []
          #observables: []
          #relations: []
          #touches: []
          +timestamps: true
          +usesUniqueIds: false
          #hidden: []
          #visible: []
          #fillable: []
          #guarded: array:1 [
            0 => "*"
          ]
        }
      ]
      #escapeWhenCastingToString: false
    }
    "field_metatags_title" => null
    "field_metatags_description" => null
    "field_h1" => null
    "field_description_top" => null
    "field_description_bottom" => null
    "field_match" => null
    "breadcrumbs" => []
    "edition_groups" => Illuminate\Database\Eloquent\Collection {#1007
      #items: []
      #escapeWhenCastingToString: false
    }
    "top_parent_branch" => Illuminate\Database\Eloquent\Collection {#1043
      #items: array:1 [
        0 => App\Models\Branch {#1006
          #connection: "mysql"
          #table: "branches"
          #primaryKey: "id"
          #keyType: "int"
          +incrementing: true
          #with: []
          #withCount: []
          +preventsLazyLoading: false
          #perPage: 15
          +exists: true
          +wasRecentlyCreated: false
          #escapeWhenCastingToString: false
          #attributes: array:24 [
            "id" => 1103165
            "created_at" => "2026-04-10 13:58:26"
            "updated_at" => null
            "field_display_title" => "III. Квадратичная функция"
            "field_branch_order" => null
            "field_url" => null
            "field_branch_type" => Illuminate\Database\Eloquent\Collection {#1011
              #items: []
              #escapeWhenCastingToString: false
            }
            "field_page_start" => "105"
            "field_branch_display" => "0"
            "field_branch_expanded" => "0"
            "field_display_branch_in_title" => "0"
            "field_display_task_interval" => "0"
            "field_display_branch_page" => "1"
            "field_branch_title_in_content" => "0"
            "field_navigation_title" => null
            "field_metatags_title" => null
            "field_metatags_description" => null
            "field_h1" => null
            "field_description_top" => null
            "field_description_bottom" => null
            "field_branch_cover" => []
            "field_branch_covers" => []
            "book" => Illuminate\Database\Eloquent\Collection {#1010
              #items: array:1 [
                0 => App\Models\Book {#1012
                  #connection: "mysql"
                  #table: "books"
                  #primaryKey: "id"
                  #keyType: "int"
                  +incrementing: false
                  #with: []
                  #withCount: []
                  +preventsLazyLoading: false
                  #perPage: 15
                  +exists: true
                  +wasRecentlyCreated: false
                  #escapeWhenCastingToString: false
                  #attributes: array:50 [
                    "id" => 4291
                    "created_at" => "2026-04-10 13:58:26"
                    "updated_at" => null
                    "field_tree_default_status" => "tasks"
                    "field_pages_status" => null
                    "field_subject" => Illuminate\Database\Eloquent\Collection {#1013 …2}
                    "field_class" => Illuminate\Database\Eloquent\Collection {#1015 …2}
                    "field_publisher" => Illuminate\Database\Eloquent\Collection {#1017 …2}
                    "field_author" => Illuminate\Database\Eloquent\Collection {#1019 …2}
                    "field_author_foreign" => Illuminate\Database\Eloquent\Collection {#1023 …2}
                    "field_book_type" => Illuminate\Database\Eloquent\Collection {#1024 …2}
                    "field_country" => Illuminate\Database\Eloquent\Collection {#1026 …2}
                    "field_city" => Illuminate\Database\Eloquent\Collection {#1028 …2}
                    "field_series" => Illuminate\Database\Eloquent\Collection {#1030 …2}
                    "field_umk" => Illuminate\Database\Eloquent\Collection {#1031 …2}
                    "field_level_of_education" => Illuminate\Database\Eloquent\Collection {#1032 …2}
                    "field_standart_of_education" => Illuminate\Database\Eloquent\Collection {#1033 …2}
                    "field_publication_number" => null
                    "field_publication_type" => Illuminate\Database\Eloquent\Collection {#1034 …2}
                    "field_under_the_edition" => Illuminate\Database\Eloquent\Collection {#1035 …2}
                    "field_under_the_edition_degree" => null
                    "field_cover_description" => null
                    "field_publication_year" => "2018"
                    "field_publication_year_until" => null
                    "field_part" => ""
                    "field_part_writing" => ""
                    "field_second_foreign_language" => null
                    "field_for_whom" => "Учебник для учащихся общеобразовательной "
                    "field_allowed" => "Утверждено Министерством образования и науки Республики Казахстан"
                    "field_reserve_field" => null
                    "field_link_to_source" => null
                    "field_tasks_count" => "722"
                    "field_priority" => "4"
                    "field_default_folder" => "/algebra_08/Abylkasymova/"
                    "field_isbn" => "978-601-317-332-0"
                    "field_cover" => array:2 [ …2]
                    "field_cover_alts" => array:2 [ …2]
                    "field_covers" => array:2 [ …2]
                    "field_popular_book" => null
                    "field_recommended_books" => Illuminate\Database\Eloquent\Collection {#1036 …2}
                    "field_new_book" => Illuminate\Database\Eloquent\Collection {#1037 …2}
                    "field_old_book" => Illuminate\Database\Eloquent\Collection {#1038 …2}
                    "field_url" => "/8-klass/algebra/kokshetau-soltan-uchebnik"
                    "field_cover_color" => Illuminate\Database\Eloquent\Collection {#1039 …2}
                    "field_metatags_title" => null
                    "field_metatags_description" => null
                    "field_h1" => null
                    "field_description_top" => null
                    "field_description_bottom" => null
                    "breadcrumbs" => array:3 [ …3]
                  ]
                  #original: array:50 [
                    "id" => 4291
                    "created_at" => "2026-04-10 13:58:26"
                    "updated_at" => null
                    "field_tree_default_status" => "tasks"
                    "field_pages_status" => null
                    "field_subject" => Illuminate\Database\Eloquent\Collection {#1013 …2}
                    "field_class" => Illuminate\Database\Eloquent\Collection {#1015 …2}
                    "field_publisher" => Illuminate\Database\Eloquent\Collection {#1017 …2}
                    "field_author" => Illuminate\Database\Eloquent\Collection {#1019 …2}
                    "field_author_foreign" => Illuminate\Database\Eloquent\Collection {#1023 …2}
                    "field_book_type" => Illuminate\Database\Eloquent\Collection {#1024 …2}
                    "field_country" => Illuminate\Database\Eloquent\Collection {#1026 …2}
                    "field_city" => Illuminate\Database\Eloquent\Collection {#1028 …2}
                    "field_series" => Illuminate\Database\Eloquent\Collection {#1030 …2}
                    "field_umk" => Illuminate\Database\Eloquent\Collection {#1031 …2}
                    "field_level_of_education" => Illuminate\Database\Eloquent\Collection {#1032 …2}
                    "field_standart_of_education" => Illuminate\Database\Eloquent\Collection {#1033 …2}
                    "field_publication_number" => null
                    "field_publication_type" => Illuminate\Database\Eloquent\Collection {#1034 …2}
                    "field_under_the_edition" => Illuminate\Database\Eloquent\Collection {#1035 …2}
                    "field_under_the_edition_degree" => null
                    "field_cover_description" => null
                    "field_publication_year" => "2018"
                    "field_publication_year_until" => null
                    "field_part" => ""
                    "field_part_writing" => ""
                    "field_second_foreign_language" => null
                    "field_for_whom" => "Учебник для учащихся общеобразовательной "
                    "field_allowed" => "Утверждено Министерством образования и науки Республики Казахстан"
                    "field_reserve_field" => null
                    "field_link_to_source" => null
                    "field_tasks_count" => "722"
                    "field_priority" => "4"
                    "field_default_folder" => "/algebra_08/Abylkasymova/"
                    "field_isbn" => "978-601-317-332-0"
                    "field_cover" => array:2 [ …2]
                    "field_cover_alts" => array:2 [ …2]
                    "field_covers" => array:2 [ …2]
                    "field_popular_book" => null
                    "field_recommended_books" => Illuminate\Database\Eloquent\Collection {#1036 …2}
                    "field_new_book" => Illuminate\Database\Eloquent\Collection {#1037 …2}
                    "field_old_book" => Illuminate\Database\Eloquent\Collection {#1038 …2}
                    "field_url" => "/8-klass/algebra/kokshetau-soltan-uchebnik"
                    "field_cover_color" => Illuminate\Database\Eloquent\Collection {#1039 …2}
                    "field_metatags_title" => null
                    "field_metatags_description" => null
                    "field_h1" => null
                    "field_description_top" => null
                    "field_description_bottom" => null
                    "breadcrumbs" => array:3 [ …3]
                  ]
                  #changes: []
                  #casts: []
                  #classCastCache: []
                  #attributeCastCache: []
                  #dateFormat: null
                  #appends: []
                  #dispatchesEvents: []
                  #observables: []
                  #relations: []
                  #touches: []
                  +timestamps: true
                  +usesUniqueIds: false
                  #hidden: []
                  #visible: []
                  #fillable: []
                  #guarded: array:1 [
                    0 => "*"
                  ]
                }
              ]
              #escapeWhenCastingToString: false
            }
            "branch_parent" => Illuminate\Database\Eloquent\Collection {#1040
              #items: []
              #escapeWhenCastingToString: false
            }
          ]
          #original: array:24 [
            "id" => 1103165
            "created_at" => "2026-04-10 13:58:26"
            "updated_at" => null
            "field_display_title" => "III. Квадратичная функция"
            "field_branch_order" => null
            "field_url" => null
            "field_branch_type" => Illuminate\Database\Eloquent\Collection {#1011}
            "field_page_start" => "105"
            "field_branch_display" => "0"
            "field_branch_expanded" => "0"
            "field_display_branch_in_title" => "0"
            "field_display_task_interval" => "0"
            "field_display_branch_page" => "1"
            "field_branch_title_in_content" => "0"
            "field_navigation_title" => null
            "field_metatags_title" => null
            "field_metatags_description" => null
            "field_h1" => null
            "field_description_top" => null
            "field_description_bottom" => null
            "field_branch_cover" => []
            "field_branch_covers" => []
            "book" => Illuminate\Database\Eloquent\Collection {#1010}
            "branch_parent" => Illuminate\Database\Eloquent\Collection {#1040}
          ]
          #changes: []
          #casts: []
          #classCastCache: []
          #attributeCastCache: []
          #dateFormat: null
          #appends: []
          #dispatchesEvents: []
          #observables: []
          #relations: []
          #touches: []
          +timestamps: true
          +usesUniqueIds: false
          #hidden: []
          #visible: []
          #fillable: []
          #guarded: array:1 [
            0 => "*"
          ]
        }
      ]
      #escapeWhenCastingToString: false
    }
    "parent_branches" => Illuminate\Database\Eloquent\Collection {#1076
      #items: array:2 [
        0 => App\Models\Branch {#1084
          #connection: "mysql"
          #table: "branches"
          #primaryKey: "id"
          #keyType: "int"
          +incrementing: true
          #with: []
          #withCount: []
          +preventsLazyLoading: false
          #perPage: 15
          +exists: true
          +wasRecentlyCreated: false
          #escapeWhenCastingToString: false
          #attributes: array:24 [
            "id" => 1103165
            "created_at" => "2026-04-10 13:58:26"
            "updated_at" => null
            "field_display_title" => "III. Квадратичная функция"
            "field_branch_order" => null
            "field_url" => null
            "field_branch_type" => Illuminate\Database\Eloquent\Collection {#1085
              #items: []
              #escapeWhenCastingToString: false
            }
            "field_page_start" => "105"
            "field_branch_display" => "0"
            "field_branch_expanded" => "0"
            "field_display_branch_in_title" => "0"
            "field_display_task_interval" => "0"
            "field_display_branch_page" => "1"
            "field_branch_title_in_content" => "0"
            "field_navigation_title" => null
            "field_metatags_title" => null
            "field_metatags_description" => null
            "field_h1" => null
            "field_description_top" => null
            "field_description_bottom" => null
            "field_branch_cover" => []
            "field_branch_covers" => []
            "book" => Illuminate\Database\Eloquent\Collection {#1095
              #items: array:1 [
                0 => App\Models\Book {#1094
                  #connection: "mysql"
                  #table: "books"
                  #primaryKey: "id"
                  #keyType: "int"
                  +incrementing: false
                  #with: []
                  #withCount: []
                  +preventsLazyLoading: false
                  #perPage: 15
                  +exists: true
                  +wasRecentlyCreated: false
                  #escapeWhenCastingToString: false
                  #attributes: array:50 [
                    "id" => 4291
                    "created_at" => "2026-04-10 13:58:26"
                    "updated_at" => null
                    "field_tree_default_status" => "tasks"
                    "field_pages_status" => null
                    "field_subject" => Illuminate\Database\Eloquent\Collection {#1099
                      #items: array:1 [
                        0 => App\Models\Term {#1096
                          #connection: "mysql"
                          #table: "terms"
                          #primaryKey: "id"
                          #keyType: "int"
                          +incrementing: false
                          #with: []
                          #withCount: []
                          +preventsLazyLoading: false
                          #perPage: 15
                          +exists: true
                          +wasRecentlyCreated: false
                          #escapeWhenCastingToString: false
                          #attributes: array:10 [
                            "id" => 6471
                            "created_at" => "2026-04-10 13:58:26"
                            "updated_at" => null
                            "name" => "Алгебра"
                            "field_abbreviated_name" => null
                            "field_cases" => array:6 [ …6]
                            "field_foreign_lang_name" => null
                            "field_short_name" => null
                            "field_subject_type" => "technical_subject"
                            "field_translit" => "algebra"
                          ]
                          #original: array:10 [
                            "id" => 6471
                            "created_at" => "2026-04-10 13:58:26"
                            "updated_at" => null
                            "name" => "Алгебра"
                            "field_abbreviated_name" => null
                            "field_cases" => array:6 [ …6]
                            "field_foreign_lang_name" => null
                            "field_short_name" => null
                            "field_subject_type" => "technical_subject"
                            "field_translit" => "algebra"
                          ]
                          #changes: []
                          #casts: []
                          #classCastCache: []
                          #attributeCastCache: []
                          #dateFormat: null
                          #appends: []
                          #dispatchesEvents: []
                          #observables: []
                          #relations: []
                          #touches: []
                          +timestamps: true
                          +usesUniqueIds: false
                          #hidden: []
                          #visible: []
                          #fillable: []
                          #guarded: array:1 [
                            0 => "*"
                          ]
                        }
                      ]
                      #escapeWhenCastingToString: false
                    }
                    "field_class" => Illuminate\Database\Eloquent\Collection {#1101
                      #items: array:1 [
                        0 => App\Models\Term {#1098
                          #connection: "mysql"
                          #table: "terms"
                          #primaryKey: "id"
                          #keyType: "int"
                          +incrementing: false
                          #with: []
                          #withCount: []
                          +preventsLazyLoading: false
                          #perPage: 15
                          +exists: true
                          +wasRecentlyCreated: false
                          #escapeWhenCastingToString: false
                          #attributes: array:6 [
                            "id" => 5457
                            "created_at" => "2026-04-10 13:58:26"
                            "updated_at" => null
                            "name" => "8"
                            "field_cases" => array:6 [ …6]
                            "field_translit" => "vosmoj"
                          ]
                          #original: array:6 [
                            "id" => 5457
                            "created_at" => "2026-04-10 13:58:26"
                            "updated_at" => null
                            "name" => "8"
                            "field_cases" => array:6 [ …6]
                            "field_translit" => "vosmoj"
                          ]
                          #changes: []
                          #casts: []
                          #classCastCache: []
                          #attributeCastCache: []
                          #dateFormat: null
                          #appends: []
                          #dispatchesEvents: []
                          #observables: []
                          #relations: []
                          #touches: []
                          +timestamps: true
                          +usesUniqueIds: false
                          #hidden: []
                          #visible: []
                          #fillable: []
                          #guarded: array:1 [
                            0 => "*"
                          ]
                        }
                      ]
                      #escapeWhenCastingToString: false
                    }
                    "field_publisher" => Illuminate\Database\Eloquent\Collection {#1103
                      #items: array:1 [
                        0 => App\Models\Term {#1100
                          #connection: "mysql"
                          #table: "terms"
                          #primaryKey: "id"
                          #keyType: "int"
                          +incrementing: false
                          #with: []
                          #withCount: []
                          +preventsLazyLoading: false
                          #perPage: 15
                          +exists: true
                          +wasRecentlyCreated: false
                          #escapeWhenCastingToString: false
                          #attributes: array:6 [
                            "id" => 7002
                            "created_at" => "2026-04-10 13:58:26"
                            "updated_at" => null
                            "name" => "Кокшетау"
                            "field_cases" => array:6 [ …6]
                            "field_translit" => "Kokshetau"
                          ]
                          #original: array:6 [
                            "id" => 7002
                            "created_at" => "2026-04-10 13:58:26"
                            "updated_at" => null
                            "name" => "Кокшетау"
                            "field_cases" => array:6 [ …6]
                            "field_translit" => "Kokshetau"
                          ]
                          #changes: []
                          #casts: []
                          #classCastCache: []
                          #attributeCastCache: []
                          #dateFormat: null
                          #appends: []
                          #dispatchesEvents: []
                          #observables: []
                          #relations: []
                          #touches: []
                          +timestamps: true
                          +usesUniqueIds: false
                          #hidden: []
                          #visible: []
                          #fillable: []
                          #guarded: array:1 [
                            0 => "*"
                          ]
                        }
                      ]
                      #escapeWhenCastingToString: false
                    }
                    "field_author" => Illuminate\Database\Eloquent\Collection {#1105
                      #items: array:3 [
                        0 => App\Models\Term {#1115
                          #connection: "mysql"
                          #table: "terms"
                          #primaryKey: "id"
                          #keyType: "int"
                          +incrementing: false
                          #with: []
                          #withCount: []
                          +preventsLazyLoading: false
                          #perPage: 15
                          +exists: true
                          +wasRecentlyCreated: false
                          #escapeWhenCastingToString: false
                          #attributes: array:12 [
                            "id" => 7003
                            "created_at" => "2026-04-10 13:58:26"
                            "updated_at" => null
                            "name" => "Солтан"
                            "field_bio" => null
                            "field_degree_rp" => null
                            "field_foreign_lang_name" => null
                            "field_foreign_lang_patronymic" => null
                            "field_foreign_lang_surname" => null
                            "field_name" => "Генадий"
                            "field_patronymic" => "Николаевич"
                            "field_surname_rp" => null
                          ]
                          #original: array:12 [
                            "id" => 7003
                            "created_at" => "2026-04-10 13:58:26"
                            "updated_at" => null
                            "name" => "Солтан"
                            "field_bio" => null
                            "field_degree_rp" => null
                            "field_foreign_lang_name" => null
                            "field_foreign_lang_patronymic" => null
                            "field_foreign_lang_surname" => null
                            "field_name" => "Генадий"
                            "field_patronymic" => "Николаевич"
                            "field_surname_rp" => null
                          ]
                          #changes: []
                          #casts: []
                          #classCastCache: []
                          #attributeCastCache: []
                          #dateFormat: null
                          #appends: []
                          #dispatchesEvents: []
                          #observables: []
                          #relations: []
                          #touches: []
                          +timestamps: true
                          +usesUniqueIds: false
                          #hidden: []
                          #visible: []
                          #fillable: []
                          #guarded: array:1 [
                            0 => "*"
                          ]
                        }
                        1 => App\Models\Term {#1116
                          #connection: "mysql"
                          #table: "terms"
                          #primaryKey: "id"
                          #keyType: "int"
                          +incrementing: false
                          #with: []
                          #withCount: []
                          +preventsLazyLoading: false
                          #perPage: 15
                          +exists: true
                          +wasRecentlyCreated: false
                          #escapeWhenCastingToString: false
                          #attributes: array:12 [
                            "id" => 7004
                            "created_at" => "2026-04-10 13:58:26"
                            "updated_at" => null
                            "name" => "Солтан"
                            "field_bio" => null
                            "field_degree_rp" => null
                            "field_foreign_lang_name" => null
                            "field_foreign_lang_patronymic" => null
                            "field_foreign_lang_surname" => null
                            "field_name" => "Алла"
                            "field_patronymic" => "Евгеньевна"
                            "field_surname_rp" => null
                          ]
                          #original: array:12 [
                            "id" => 7004
                            "created_at" => "2026-04-10 13:58:26"
                            "updated_at" => null
                            "name" => "Солтан"
                            "field_bio" => null
                            "field_degree_rp" => null
                            "field_foreign_lang_name" => null
                            "field_foreign_lang_patronymic" => null
                            "field_foreign_lang_surname" => null
                            "field_name" => "Алла"
                            "field_patronymic" => "Евгеньевна"
                            "field_surname_rp" => null
                          ]
                          #changes: []
                          #casts: []
                          #classCastCache: []
                          #attributeCastCache: []
                          #dateFormat: null
                          #appends: []
                          #dispatchesEvents: []
                          #observables: []
                          #relations: []
                          #touches: []
                          +timestamps: true
                          +usesUniqueIds: false
                          #hidden: []
                          #visible: []
                          #fillable: []
                          #guarded: array:1 [
                            0 => "*"
                          ]
                        }
                        2 => App\Models\Term {#1117
                          #connection: "mysql"
                          #table: "terms"
                          #primaryKey: "id"
                          #keyType: "int"
                          +incrementing: false
                          #with: []
                          #withCount: []
                          +preventsLazyLoading: false
                          #perPage: 15
                          +exists: true
                          +wasRecentlyCreated: false
                          #escapeWhenCastingToString: false
                          #attributes: array:12 [
                            "id" => 7005
                            "created_at" => "2026-04-10 13:58:26"
                            "updated_at" => null
                            "name" => "Жумадилова"
                            "field_bio" => null
                            "field_degree_rp" => null
                            "field_foreign_lang_name" => null
                            "field_foreign_lang_patronymic" => null
                            "field_foreign_lang_surname" => null
                            "field_name" => "Аманбала"
                            "field_patronymic" => "Жумадиловна"
                            "field_surname_rp" => null
                          ]
                          #original: array:12 [
                            "id" => 7005
                            "created_at" => "2026-04-10 13:58:26"
                            "updated_at" => null
                            "name" => "Жумадилова"
                            "field_bio" => null
                            "field_degree_rp" => null
                            "field_foreign_lang_name" => null
                            "field_foreign_lang_patronymic" => null
                            "field_foreign_lang_surname" => null
                            "field_name" => "Аманбала"
                            "field_patronymic" => "Жумадиловна"
                            "field_surname_rp" => null
                          ]
                          #changes: []
                          #casts: []
                          #classCastCache: []
                          #attributeCastCache: []
                          #dateFormat: null
                          #appends: []
                          #dispatchesEvents: []
                          #observables: []
                          #relations: []
                          #touches: []
                          +timestamps: true
                          +usesUniqueIds: false
                          #hidden: []
                          #visible: []
                          #fillable: []
                          #guarded: array:1 [
                            0 => "*"
                          ]
                        }
                      ]
                      #escapeWhenCastingToString: false
                    }
                    "field_author_foreign" => Illuminate\Database\Eloquent\Collection {#1112
                      #items: []
                      #escapeWhenCastingToString: false
                    }
                    "field_book_type" => Illuminate\Database\Eloquent\Collection {#1097
                      #items: array:1 [
                        0 => App\Models\Term {#1104
                          #connection: "mysql"
                          #table: "terms"
                          #primaryKey: "id"
                          #keyType: "int"
                          +incrementing: false
                          #with: []
                          #withCount: []
                          +preventsLazyLoading: false
                          #perPage: 15
                          +exists: true
                          +wasRecentlyCreated: false
                          #escapeWhenCastingToString: false
                          #attributes: array:10 [
                            "id" => 6671
                            "created_at" => "2026-04-10 13:58:26"
                            "updated_at" => null
                            "name" => "Учебник"
                            "field_book_type_foreign" => null
                            "field_cases" => array:6 [ …6]
                            "field_plural_form" => null
                            "field_short_name" => null
                            "field_short_name_foreign" => null
                            "field_translit" => "uchebnik"
                          ]
                          #original: array:10 [
                            "id" => 6671
                            "created_at" => "2026-04-10 13:58:26"
                            "updated_at" => null
                            "name" => "Учебник"
                            "field_book_type_foreign" => null
                            "field_cases" => array:6 [ …6]
                            "field_plural_form" => null
                            "field_short_name" => null
                            "field_short_name_foreign" => null
                            "field_translit" => "uchebnik"
                          ]
                          #changes: []
                          #casts: []
                          #classCastCache: []
                          #attributeCastCache: []
                          #dateFormat: null
                          #appends: []
                          #dispatchesEvents: []
                          #observables: []
                          #relations: []
                          #touches: []
                          +timestamps: true
                          +usesUniqueIds: false
                          #hidden: []
                          #visible: []
                          #fillable: []
                          #guarded: array:1 [
                            0 => "*"
                          ]
                        }
                      ]
                      #escapeWhenCastingToString: false
                    }
                    "field_country" => Illuminate\Database\Eloquent\Collection {#1113
                      #items: array:1 [
                        0 => App\Models\Term {#1106
                          #connection: "mysql"
                          #table: "terms"
                          #primaryKey: "id"
                          #keyType: "int"
                          +incrementing: false
                          #with: []
                          #withCount: []
                          +preventsLazyLoading: false
                          #perPage: 15
                          +exists: true
                          +wasRecentlyCreated: false
                          #escapeWhenCastingToString: false
                          #attributes: array:6 [
                            "id" => 6994
                            "created_at" => "2026-04-10 13:58:26"
                            "updated_at" => null
                            "name" => "Казахстан"
                            "field_cases" => array:6 [ …6]
                            "field_translit" => "kazakhstan"
                          ]
                          #original: array:6 [
                            "id" => 6994
                            "created_at" => "2026-04-10 13:58:26"
                            "updated_at" => null
                            "name" => "Казахстан"
                            "field_cases" => array:6 [ …6]
                            "field_translit" => "kazakhstan"
                          ]
                          #changes: []
                          #casts: []
                          #classCastCache: []
                          #attributeCastCache: []
                          #dateFormat: null
                          #appends: []
                          #dispatchesEvents: []
                          #observables: []
                          #relations: []
                          #touches: []
                          +timestamps: true
                          +usesUniqueIds: false
                          #hidden: []
                          #visible: []
                          #fillable: []
                          #guarded: array:1 [
                            0 => "*"
                          ]
                        }
                      ]
                      #escapeWhenCastingToString: false
                    }
                    "field_city" => Illuminate\Database\Eloquent\Collection {#1107
                      #items: array:1 [
                        0 => App\Models\Term {#1111
                          #connection: "mysql"
                          #table: "terms"
                          #primaryKey: "id"
                          #keyType: "int"
                          +incrementing: false
                          #with: []
                          #withCount: []
                          +preventsLazyLoading: false
                          #perPage: 15
                          +exists: true
                          +wasRecentlyCreated: false
                          #escapeWhenCastingToString: false
                          #attributes: array:6 [
                            "id" => 6995
                            "created_at" => "2026-04-10 13:58:26"
                            "updated_at" => null
                            "name" => "Алматы"
                            "field_cases" => array:6 [ …6]
                            "field_translit" => "almaty"
                          ]
                          #original: array:6 [
                            "id" => 6995
                            "created_at" => "2026-04-10 13:58:26"
                            "updated_at" => null
                            "name" => "Алматы"
                            "field_cases" => array:6 [ …6]
                            "field_translit" => "almaty"
                          ]
                          #changes: []
                          #casts: []
                          #classCastCache: []
                          #attributeCastCache: []
                          #dateFormat: null
                          #appends: []
                          #dispatchesEvents: []
                          #observables: []
                          #relations: []
                          #touches: []
                          +timestamps: true
                          +usesUniqueIds: false
                          #hidden: []
                          #visible: []
                          #fillable: []
                          #guarded: array:1 [
                            0 => "*"
                          ]
                        }
                      ]
                      #escapeWhenCastingToString: false
                    }
                    "field_series" => Illuminate\Database\Eloquent\Collection {#1109
                      #items: []
                      #escapeWhenCastingToString: false
                    }
                    "field_umk" => Illuminate\Database\Eloquent\Collection {#1102
                      #items: []
                      #escapeWhenCastingToString: false
                    }
                    "field_level_of_education" => Illuminate\Database\Eloquent\Collection {#1110
                      #items: []
                      #escapeWhenCastingToString: false
                    }
                    "field_standart_of_education" => Illuminate\Database\Eloquent\Collection {#1108
                      #items: []
                      #escapeWhenCastingToString: false
                    }
                    "field_publication_number" => null
                    "field_publication_type" => Illuminate\Database\Eloquent\Collection {#1118
                      #items: []
                      #escapeWhenCastingToString: false
                    }
                    "field_under_the_edition" => Illuminate\Database\Eloquent\Collection {#1119
                      #items: []
                      #escapeWhenCastingToString: false
                    }
                    "field_under_the_edition_degree" => null
                    "field_cover_description" => null
                    "field_publication_year" => "2018"
                    "field_publication_year_until" => null
                    "field_part" => ""
                    "field_part_writing" => ""
                    "field_second_foreign_language" => null
                    "field_for_whom" => "Учебник для учащихся общеобразовательной "
                    "field_allowed" => "Утверждено Министерством образования и науки Республики Казахстан"
                    "field_reserve_field" => null
                    "field_link_to_source" => null
                    "field_tasks_count" => "722"
                    "field_priority" => "4"
                    "field_default_folder" => "/algebra_08/Abylkasymova/"
                    "field_isbn" => "978-601-317-332-0"
                    "field_cover" => array:2 [
                      0 => "/media/algebra_08/Abylkasymova/covers/cover1.webp?ts=1752132516"
                      1 => "/media/algebra_08/Abylkasymova/covers/cover2.webp?ts=1752132516"
                    ]
                    "field_cover_alts" => array:2 [
                      0 => ""
                      1 => ""
                    ]
                    "field_covers" => array:2 [
                      0 => array:4 [
                        "path" => "/media/algebra_08/Abylkasymova/covers/cover1.webp?ts=1752132516"
                        "alt" => ""
                        "width" => "556"
                        "height" => "842"
                      ]
                      1 => array:4 [
                        "path" => "/media/algebra_08/Abylkasymova/covers/cover2.webp?ts=1752132516"
                        "alt" => ""
                        "width" => "442"
                        "height" => "673"
                      ]
                    ]
                    "field_popular_book" => null
                    "field_recommended_books" => Illuminate\Database\Eloquent\Collection {#1120
                      #items: []
                      #escapeWhenCastingToString: false
                    }
                    "field_new_book" => Illuminate\Database\Eloquent\Collection {#1121
                      #items: []
                      #escapeWhenCastingToString: false
                    }
                    "field_old_book" => Illuminate\Database\Eloquent\Collection {#1122
                      #items: []
                      #escapeWhenCastingToString: false
                    }
                    "field_url" => "/8-klass/algebra/kokshetau-soltan-uchebnik"
                    "field_cover_color" => Illuminate\Database\Eloquent\Collection {#1123
                      #items: []
                      #escapeWhenCastingToString: false
                    }
                    "field_metatags_title" => null
                    "field_metatags_description" => null
                    "field_h1" => null
                    "field_description_top" => null
                    "field_description_bottom" => null
                    "breadcrumbs" => array:3 [
                      "class" => 379
                      "subject" => 542
                      "class_subject" => 385
                    ]
                  ]
                  #original: array:50 [
                    "id" => 4291
                    "created_at" => "2026-04-10 13:58:26"
                    "updated_at" => null
                    "field_tree_default_status" => "tasks"
                    "field_pages_status" => null
                    "field_subject" => Illuminate\Database\Eloquent\Collection {#1099}
                    "field_class" => Illuminate\Database\Eloquent\Collection {#1101}
                    "field_publisher" => Illuminate\Database\Eloquent\Collection {#1103}
                    "field_author" => Illuminate\Database\Eloquent\Collection {#1105}
                    "field_author_foreign" => Illuminate\Database\Eloquent\Collection {#1112}
                    "field_book_type" => Illuminate\Database\Eloquent\Collection {#1097}
                    "field_country" => Illuminate\Database\Eloquent\Collection {#1113}
                    "field_city" => Illuminate\Database\Eloquent\Collection {#1107}
                    "field_series" => Illuminate\Database\Eloquent\Collection {#1109}
                    "field_umk" => Illuminate\Database\Eloquent\Collection {#1102}
                    "field_level_of_education" => Illuminate\Database\Eloquent\Collection {#1110}
                    "field_standart_of_education" => Illuminate\Database\Eloquent\Collection {#1108}
                    "field_publication_number" => null
                    "field_publication_type" => Illuminate\Database\Eloquent\Collection {#1118}
                    "field_under_the_edition" => Illuminate\Database\Eloquent\Collection {#1119}
                    "field_under_the_edition_degree" => null
                    "field_cover_description" => null
                    "field_publication_year" => "2018"
                    "field_publication_year_until" => null
                    "field_part" => ""
                    "field_part_writing" => ""
                    "field_second_foreign_language" => null
                    "field_for_whom" => "Учебник для учащихся общеобразовательной "
                    "field_allowed" => "Утверждено Министерством образования и науки Республики Казахстан"
                    "field_reserve_field" => null
                    "field_link_to_source" => null
                    "field_tasks_count" => "722"
                    "field_priority" => "4"
                    "field_default_folder" => "/algebra_08/Abylkasymova/"
                    "field_isbn" => "978-601-317-332-0"
                    "field_cover" => array:2 [
                      0 => "/media/algebra_08/Abylkasymova/covers/cover1.webp?ts=1752132516"
                      1 => "/media/algebra_08/Abylkasymova/covers/cover2.webp?ts=1752132516"
                    ]
                    "field_cover_alts" => array:2 [
                      0 => ""
                      1 => ""
                    ]
                    "field_covers" => array:2 [
                      0 => array:4 [
                        "path" => "/media/algebra_08/Abylkasymova/covers/cover1.webp?ts=1752132516"
                        "alt" => ""
                        "width" => "556"
                        "height" => "842"
                      ]
                      1 => array:4 [
                        "path" => "/media/algebra_08/Abylkasymova/covers/cover2.webp?ts=1752132516"
                        "alt" => ""
                        "width" => "442"
                        "height" => "673"
                      ]
                    ]
                    "field_popular_book" => null
                    "field_recommended_books" => Illuminate\Database\Eloquent\Collection {#1120}
                    "field_new_book" => Illuminate\Database\Eloquent\Collection {#1121}
                    "field_old_book" => Illuminate\Database\Eloquent\Collection {#1122}
                    "field_url" => "/8-klass/algebra/kokshetau-soltan-uchebnik"
                    "field_cover_color" => Illuminate\Database\Eloquent\Collection {#1123}
                    "field_metatags_title" => null
                    "field_metatags_description" => null
                    "field_h1" => null
                    "field_description_top" => null
                    "field_description_bottom" => null
                    "breadcrumbs" => array:3 [
                      "class" => 379
                      "subject" => 542
                      "class_subject" => 385
                    ]
                  ]
                  #changes: []
                  #casts: []
                  #classCastCache: []
                  #attributeCastCache: []
                  #dateFormat: null
                  #appends: []
                  #dispatchesEvents: []
                  #observables: []
                  #relations: []
                  #touches: []
                  +timestamps: true
                  +usesUniqueIds: false
                  #hidden: []
                  #visible: []
                  #fillable: []
                  #guarded: array:1 [
                    0 => "*"
                  ]
                }
              ]
              #escapeWhenCastingToString: false
            }
            "branch_parent" => Illuminate\Database\Eloquent\Collection {#1087
              #items: []
              #escapeWhenCastingToString: false
            }
          ]
          #original: array:24 [
            "id" => 1103165
            "created_at" => "2026-04-10 13:58:26"
            "updated_at" => null
            "field_display_title" => "III. Квадратичная функция"
            "field_branch_order" => null
            "field_url" => null
            "field_branch_type" => Illuminate\Database\Eloquent\Collection {#1085}
            "field_page_start" => "105"
            "field_branch_display" => "0"
            "field_branch_expanded" => "0"
            "field_display_branch_in_title" => "0"
            "field_display_task_interval" => "0"
            "field_display_branch_page" => "1"
            "field_branch_title_in_content" => "0"
            "field_navigation_title" => null
            "field_metatags_title" => null
            "field_metatags_description" => null
            "field_h1" => null
            "field_description_top" => null
            "field_description_bottom" => null
            "field_branch_cover" => []
            "field_branch_covers" => []
            "book" => Illuminate\Database\Eloquent\Collection {#1095}
            "branch_parent" => Illuminate\Database\Eloquent\Collection {#1087}
          ]
          #changes: []
          #casts: []
          #classCastCache: []
          #attributeCastCache: []
          #dateFormat: null
          #appends: []
          #dispatchesEvents: []
          #observables: []
          #relations: []
          #touches: []
          +timestamps: true
          +usesUniqueIds: false
          #hidden: []
          #visible: []
          #fillable: []
          #guarded: array:1 [
            0 => "*"
          ]
        }
        1 => App\Models\Branch {#1088
          #connection: "mysql"
          #table: "branches"
          #primaryKey: "id"
          #keyType: "int"
          +incrementing: true
          #with: []
          #withCount: []
          +preventsLazyLoading: false
          #perPage: 15
          +exists: true
          +wasRecentlyCreated: false
          #escapeWhenCastingToString: false
          #attributes: array:24 [
            "id" => 1103166
            "created_at" => "2026-04-10 13:58:26"
            "updated_at" => null
            "field_display_title" => "17. Определение квадратичной функции. Функция у = ах^2 + n и ее график"
            "field_branch_order" => null
            "field_url" => null
            "field_branch_type" => Illuminate\Database\Eloquent\Collection {#1086
              #items: []
              #escapeWhenCastingToString: false
            }
            "field_page_start" => "106"
            "field_branch_display" => "0"
            "field_branch_expanded" => "0"
            "field_display_branch_in_title" => "1"
            "field_display_task_interval" => "0"
            "field_display_branch_page" => "1"
            "field_branch_title_in_content" => "0"
            "field_navigation_title" => null
            "field_metatags_title" => null
            "field_metatags_description" => null
            "field_h1" => null
            "field_description_top" => null
            "field_description_bottom" => null
            "field_branch_cover" => []
            "field_branch_covers" => []
            "book" => Illuminate\Database\Eloquent\Collection {#1091
              #items: array:1 [
                0 => App\Models\Book {#1094}
              ]
              #escapeWhenCastingToString: false
            }
            "branch_parent" => Illuminate\Database\Eloquent\Collection {#1089
              #items: array:1 [
                0 => App\Models\Branch {#1006}
              ]
              #escapeWhenCastingToString: false
            }
          ]
          #original: array:24 [
            "id" => 1103166
            "created_at" => "2026-04-10 13:58:26"
            "updated_at" => null
            "field_display_title" => "17. Определение квадратичной функции. Функция у = ах^2 + n и ее график"
            "field_branch_order" => null
            "field_url" => null
            "field_branch_type" => Illuminate\Database\Eloquent\Collection {#1086}
            "field_page_start" => "106"
            "field_branch_display" => "0"
            "field_branch_expanded" => "0"
            "field_display_branch_in_title" => "1"
            "field_display_task_interval" => "0"
            "field_display_branch_page" => "1"
            "field_branch_title_in_content" => "0"
            "field_navigation_title" => null
            "field_metatags_title" => null
            "field_metatags_description" => null
            "field_h1" => null
            "field_description_top" => null
            "field_description_bottom" => null
            "field_branch_cover" => []
            "field_branch_covers" => []
            "book" => Illuminate\Database\Eloquent\Collection {#1091}
            "branch_parent" => Illuminate\Database\Eloquent\Collection {#1089}
          ]
          #changes: []
          #casts: []
          #classCastCache: []
          #attributeCastCache: []
          #dateFormat: null
          #appends: []
          #dispatchesEvents: []
          #observables: []
          #relations: []
          #touches: []
          +timestamps: true
          +usesUniqueIds: false
          #hidden: []
          #visible: []
          #fillable: []
          #guarded: array:1 [
            0 => "*"
          ]
        }
      ]
      #escapeWhenCastingToString: false
    }
    "content" => Illuminate\Database\Eloquent\Collection {#1073
      #items: array:3 [
        0 => App\Models\Element {#1066
          #connection: "mysql"
          #table: "elements"
          #primaryKey: "id"
          #keyType: "int"
          +incrementing: true
          #with: []
          #withCount: []
          +preventsLazyLoading: false
          #perPage: 15
          +exists: true
          +wasRecentlyCreated: false
          #escapeWhenCastingToString: false
          #attributes: array:6 [
            "id" => 1268686
            "created_at" => "2026-04-10 13:58:26"
            "updated_at" => null
            "edition" => Illuminate\Database\Eloquent\Collection {#1056
              #items: array:1 [
                0 => App\Models\Edition {#1058
                  #connection: "mysql"
                  #table: "editions"
                  #primaryKey: "id"
                  #keyType: "int"
                  +incrementing: false
                  #with: []
                  #withCount: []
                  +preventsLazyLoading: false
                  #perPage: 15
                  +exists: true
                  +wasRecentlyCreated: false
                  #escapeWhenCastingToString: false
                  #attributes: array:21 [
                    "id" => 4939
                    "created_at" => "2026-04-10 13:58:26"
                    "updated_at" => null
                    "title" => "Условие РУС"
                    "field_order" => "1"
                    "field_publisher" => Illuminate\Database\Eloquent\Collection {#1052 …2}
                    "field_content_type" => "free"
                    "field_content_mode" => "image"
                    "field_page_content_mode" => "image"
                    "field_content_text_checked" => "0"
                    "field_page_content_text_checked" => "0"
                    "field_solution_author" => "Автор"
                    "field_moderator" => "filin"
                    "field_edition_type" => "statement"
                    "field_root_dir" => "rus0-"
                    "field_responsible" => Illuminate\Database\Eloquent\Collection {#1048 …2}
                    "field_comment" => null
                    "field_similar_book" => Illuminate\Database\Eloquent\Collection {#1054 …2}
                    "field_process_formula" => "katex"
                    "field_edition_group" => Illuminate\Database\Eloquent\Collection {#1053 …2}
                    "field_content_source" => null
                  ]
                  #original: array:21 [
                    "id" => 4939
                    "created_at" => "2026-04-10 13:58:26"
                    "updated_at" => null
                    "title" => "Условие РУС"
                    "field_order" => "1"
                    "field_publisher" => Illuminate\Database\Eloquent\Collection {#1052 …2}
                    "field_content_type" => "free"
                    "field_content_mode" => "image"
                    "field_page_content_mode" => "image"
                    "field_content_text_checked" => "0"
                    "field_page_content_text_checked" => "0"
                    "field_solution_author" => "Автор"
                    "field_moderator" => "filin"
                    "field_edition_type" => "statement"
                    "field_root_dir" => "rus0-"
                    "field_responsible" => Illuminate\Database\Eloquent\Collection {#1048 …2}
                    "field_comment" => null
                    "field_similar_book" => Illuminate\Database\Eloquent\Collection {#1054 …2}
                    "field_process_formula" => "katex"
                    "field_edition_group" => Illuminate\Database\Eloquent\Collection {#1053 …2}
                    "field_content_source" => null
                  ]
                  #changes: []
                  #casts: []
                  #classCastCache: []
                  #attributeCastCache: []
                  #dateFormat: null
                  #appends: []
                  #dispatchesEvents: []
                  #observables: []
                  #relations: []
                  #touches: []
                  +timestamps: true
                  +usesUniqueIds: false
                  #hidden: []
                  #visible: []
                  #fillable: []
                  #guarded: array:1 [
                    0 => "*"
                  ]
                }
              ]
              #escapeWhenCastingToString: false
            }
            "task" => array:2 [
              "refs" => "1103591"
              "type" => "task"
            ]
            "img" => array:1 [
              0 => array:5 [
                "name" => "393-1.jpg"
                "alt" => null
                "width" => "1530"
                "height" => 451
                "path" => "/media/algebra_08/Abylkasymova/rus0-1/393-1.webp?ts=1752495118"
              ]
            ]
          ]
          #original: array:6 [
            "id" => 1268686
            "created_at" => "2026-04-10 13:58:26"
            "updated_at" => null
            "edition" => Illuminate\Database\Eloquent\Collection {#1056}
            "task" => array:2 [
              "refs" => "1103591"
              "type" => "task"
            ]
            "img" => array:1 [
              0 => array:5 [
                "name" => "393-1.jpg"
                "alt" => null
                "width" => "1530"
                "height" => 451
                "path" => "/media/algebra_08/Abylkasymova/rus0-1/393-1.webp?ts=1752495118"
              ]
            ]
          ]
          #changes: []
          #casts: []
          #classCastCache: []
          #attributeCastCache: []
          #dateFormat: null
          #appends: []
          #dispatchesEvents: []
          #observables: []
          #relations: []
          #touches: []
          +timestamps: true
          +usesUniqueIds: false
          #hidden: []
          #visible: []
          #fillable: []
          #guarded: array:1 [
            0 => "*"
          ]
        }
        1 => App\Models\Element {#1064
          #connection: "mysql"
          #table: "elements"
          #primaryKey: "id"
          #keyType: "int"
          +incrementing: true
          #with: []
          #withCount: []
          +preventsLazyLoading: false
          #perPage: 15
          +exists: true
          +wasRecentlyCreated: false
          #escapeWhenCastingToString: false
          #attributes: array:6 [
            "id" => 1268926
            "created_at" => "2026-04-10 13:58:26"
            "updated_at" => null
            "edition" => Illuminate\Database\Eloquent\Collection {#1049
              #items: array:1 [
                0 => App\Models\Edition {#1063
                  #connection: "mysql"
                  #table: "editions"
                  #primaryKey: "id"
                  #keyType: "int"
                  +incrementing: false
                  #with: []
                  #withCount: []
                  +preventsLazyLoading: false
                  #perPage: 15
                  +exists: true
                  +wasRecentlyCreated: false
                  #escapeWhenCastingToString: false
                  #attributes: array:21 [
                    "id" => 4940
                    "created_at" => "2026-04-10 13:58:26"
                    "updated_at" => null
                    "title" => "Условия КЗ"
                    "field_order" => "2"
                    "field_publisher" => Illuminate\Database\Eloquent\Collection {#1059 …2}
                    "field_content_type" => "free"
                    "field_content_mode" => "image"
                    "field_page_content_mode" => "image"
                    "field_content_text_checked" => "0"
                    "field_page_content_text_checked" => "0"
                    "field_solution_author" => "Автор"
                    "field_moderator" => "filin"
                    "field_edition_type" => "statement"
                    "field_root_dir" => "kz0-"
                    "field_responsible" => Illuminate\Database\Eloquent\Collection {#1061 …2}
                    "field_comment" => null
                    "field_similar_book" => Illuminate\Database\Eloquent\Collection {#1060 …2}
                    "field_process_formula" => ""
                    "field_edition_group" => Illuminate\Database\Eloquent\Collection {#1062 …2}
                    "field_content_source" => null
                  ]
                  #original: array:21 [
                    "id" => 4940
                    "created_at" => "2026-04-10 13:58:26"
                    "updated_at" => null
                    "title" => "Условия КЗ"
                    "field_order" => "2"
                    "field_publisher" => Illuminate\Database\Eloquent\Collection {#1059 …2}
                    "field_content_type" => "free"
                    "field_content_mode" => "image"
                    "field_page_content_mode" => "image"
                    "field_content_text_checked" => "0"
                    "field_page_content_text_checked" => "0"
                    "field_solution_author" => "Автор"
                    "field_moderator" => "filin"
                    "field_edition_type" => "statement"
                    "field_root_dir" => "kz0-"
                    "field_responsible" => Illuminate\Database\Eloquent\Collection {#1061 …2}
                    "field_comment" => null
                    "field_similar_book" => Illuminate\Database\Eloquent\Collection {#1060 …2}
                    "field_process_formula" => ""
                    "field_edition_group" => Illuminate\Database\Eloquent\Collection {#1062 …2}
                    "field_content_source" => null
                  ]
                  #changes: []
                  #casts: []
                  #classCastCache: []
                  #attributeCastCache: []
                  #dateFormat: null
                  #appends: []
                  #dispatchesEvents: []
                  #observables: []
                  #relations: []
                  #touches: []
                  +timestamps: true
                  +usesUniqueIds: false
                  #hidden: []
                  #visible: []
                  #fillable: []
                  #guarded: array:1 [
                    0 => "*"
                  ]
                }
              ]
              #escapeWhenCastingToString: false
            }
            "task" => array:2 [
              "refs" => "1103591"
              "type" => "task"
            ]
            "img" => array:1 [
              0 => array:5 [
                "name" => "393-1.jpg"
                "alt" => null
                "width" => "1513"
                "height" => 408
                "path" => "/media/algebra_08/Abylkasymova/kz0-1/393-1.webp?ts=1752495147"
              ]
            ]
          ]
          #original: array:6 [
            "id" => 1268926
            "created_at" => "2026-04-10 13:58:26"
            "updated_at" => null
            "edition" => Illuminate\Database\Eloquent\Collection {#1049}
            "task" => array:2 [
              "refs" => "1103591"
              "type" => "task"
            ]
            "img" => array:1 [
              0 => array:5 [
                "name" => "393-1.jpg"
                "alt" => null
                "width" => "1513"
                "height" => 408
                "path" => "/media/algebra_08/Abylkasymova/kz0-1/393-1.webp?ts=1752495147"
              ]
            ]
          ]
          #changes: []
          #casts: []
          #classCastCache: []
          #attributeCastCache: []
          #dateFormat: null
          #appends: []
          #dispatchesEvents: []
          #observables: []
          #relations: []
          #touches: []
          +timestamps: true
          +usesUniqueIds: false
          #hidden: []
          #visible: []
          #fillable: []
          #guarded: array:1 [
            0 => "*"
          ]
        }
        2 => App\Models\Element {#1055
          #connection: "mysql"
          #table: "elements"
          #primaryKey: "id"
          #keyType: "int"
          +incrementing: true
          #with: []
          #withCount: []
          +preventsLazyLoading: false
          #perPage: 15
          +exists: true
          +wasRecentlyCreated: false
          #escapeWhenCastingToString: false
          #attributes: array:6 [
            "id" => 1269853
            "created_at" => "2026-04-10 13:58:26"
            "updated_at" => null
            "edition" => Illuminate\Database\Eloquent\Collection {#1077
              #items: array:1 [
                0 => App\Models\Edition {#1050
                  #connection: "mysql"
                  #table: "editions"
                  #primaryKey: "id"
                  #keyType: "int"
                  +incrementing: false
                  #with: []
                  #withCount: []
                  +preventsLazyLoading: false
                  #perPage: 15
                  +exists: true
                  +wasRecentlyCreated: false
                  #escapeWhenCastingToString: false
                  #attributes: array:21 [
                    "id" => 4941
                    "created_at" => "2026-04-10 13:58:26"
                    "updated_at" => null
                    "title" => "Решение"
                    "field_order" => "3"
                    "field_publisher" => Illuminate\Database\Eloquent\Collection {#1046 …2}
                    "field_content_type" => "free"
                    "field_content_mode" => "image"
                    "field_page_content_mode" => ""
                    "field_content_text_checked" => "0"
                    "field_page_content_text_checked" => "0"
                    "field_solution_author" => "Неизвестный"
                    "field_moderator" => "filin"
                    "field_edition_type" => "solution"
                    "field_root_dir" => "1-"
                    "field_responsible" => Illuminate\Database\Eloquent\Collection {#1047 …2}
                    "field_comment" => null
                    "field_similar_book" => Illuminate\Database\Eloquent\Collection {#1075 …2}
                    "field_process_formula" => ""
                    "field_edition_group" => Illuminate\Database\Eloquent\Collection {#1074 …2}
                    "field_content_source" => null
                  ]
                  #original: array:21 [
                    "id" => 4941
                    "created_at" => "2026-04-10 13:58:26"
                    "updated_at" => null
                    "title" => "Решение"
                    "field_order" => "3"
                    "field_publisher" => Illuminate\Database\Eloquent\Collection {#1046 …2}
                    "field_content_type" => "free"
                    "field_content_mode" => "image"
                    "field_page_content_mode" => ""
                    "field_content_text_checked" => "0"
                    "field_page_content_text_checked" => "0"
                    "field_solution_author" => "Неизвестный"
                    "field_moderator" => "filin"
                    "field_edition_type" => "solution"
                    "field_root_dir" => "1-"
                    "field_responsible" => Illuminate\Database\Eloquent\Collection {#1047 …2}
                    "field_comment" => null
                    "field_similar_book" => Illuminate\Database\Eloquent\Collection {#1075 …2}
                    "field_process_formula" => ""
                    "field_edition_group" => Illuminate\Database\Eloquent\Collection {#1074 …2}
                    "field_content_source" => null
                  ]
                  #changes: []
                  #casts: []
                  #classCastCache: []
                  #attributeCastCache: []
                  #dateFormat: null
                  #appends: []
                  #dispatchesEvents: []
                  #observables: []
                  #relations: []
                  #touches: []
                  +timestamps: true
                  +usesUniqueIds: false
                  #hidden: []
                  #visible: []
                  #fillable: []
                  #guarded: array:1 [
                    0 => "*"
                  ]
                }
              ]
              #escapeWhenCastingToString: false
            }
            "task" => array:2 [
              "refs" => "1103591"
              "type" => "task"
            ]
            "img" => array:2 [
              0 => array:5 [
                "name" => "393-1.jpg"
                "alt" => null
                "width" => "1357"
                "height" => 2435
                "path" => "/media/algebra_08/Abylkasymova/1-1/393-1.webp?ts=1752496872"
              ]
              1 => array:5 [
                "name" => "393-2.jpg"
                "alt" => null
                "width" => "1101"
                "height" => 334
                "path" => "/media/algebra_08/Abylkasymova/1-1/393-2.webp?ts=1752496872"
              ]
            ]
          ]
          #original: array:6 [
            "id" => 1269853
            "created_at" => "2026-04-10 13:58:26"
            "updated_at" => null
            "edition" => Illuminate\Database\Eloquent\Collection {#1077}
            "task" => array:2 [
              "refs" => "1103591"
              "type" => "task"
            ]
            "img" => array:2 [
              0 => array:5 [
                "name" => "393-1.jpg"
                "alt" => null
                "width" => "1357"
                "height" => 2435
                "path" => "/media/algebra_08/Abylkasymova/1-1/393-1.webp?ts=1752496872"
              ]
              1 => array:5 [
                "name" => "393-2.jpg"
                "alt" => null
                "width" => "1101"
                "height" => 334
                "path" => "/media/algebra_08/Abylkasymova/1-1/393-2.webp?ts=1752496872"
              ]
            ]
          ]
          #changes: []
          #casts: []
          #classCastCache: []
          #attributeCastCache: []
          #dateFormat: null
          #appends: []
          #dispatchesEvents: []
          #observables: []
          #relations: []
          #touches: []
          +timestamps: true
          +usesUniqueIds: false
          #hidden: []
          #visible: []
          #fillable: []
          #guarded: array:1 [
            0 => "*"
          ]
        }
      ]
      #escapeWhenCastingToString: false
    }
    "next" => array:2 [
      "refs" => "1103592"
      "type" => "task"
    ]
    "previous" => array:2 [
      "refs" => "1103590"
      "type" => "task"
    ]
    "book" => Illuminate\Database\Eloquent\Collection {#1069
      #items: array:1 [
        0 => App\Models\Book {#1094}
      ]
      #escapeWhenCastingToString: false
    }
    "page" => Illuminate\Database\Eloquent\Collection {#1071
      #items: array:1 [
        0 => App\Models\BookPage {#1042
          #connection: "mysql"
          #table: "book_pages"
          #primaryKey: "id"
          #keyType: "int"
          +incrementing: true
          #with: []
          #withCount: []
          +preventsLazyLoading: false
          #perPage: 15
          +exists: true
          +wasRecentlyCreated: false
          #escapeWhenCastingToString: false
          #attributes: array:21 [
            "id" => 1096010
            "created_at" => "2026-04-10 13:58:26"
            "updated_at" => null
            "field_page_start" => "109"
            "field_url" => "/8-klass/algebra/kokshetau-soltan-uchebnik/page-109"
            "field_display_title" => "109"
            "field_folder" => "1"
            "field_image_name" => "109"
            "field_branch_parent" => Illuminate\Database\Eloquent\Collection {#1045
              #items: []
              #escapeWhenCastingToString: false
            }
            "field_weight" => "0"
            "field_book_parent" => Illuminate\Database\Eloquent\Collection {#1083
              #items: array:1 [
                0 => App\Models\Book {#1094}
              ]
              #escapeWhenCastingToString: false
            }
            "field_metatags_title" => null
            "field_metatags_description" => null
            "field_h1" => null
            "field_description_top" => null
            "field_description_bottom" => null
            "edition_groups" => Illuminate\Database\Eloquent\Collection {#1079
              #items: []
              #escapeWhenCastingToString: false
            }
            "content" => Illuminate\Database\Eloquent\Collection {#1078
              #items: array:2 [
                0 => App\Models\Element {#1130
                  #connection: "mysql"
                  #table: "elements"
                  #primaryKey: "id"
                  #keyType: "int"
                  +incrementing: true
                  #with: []
                  #withCount: []
                  +preventsLazyLoading: false
                  #perPage: 15
                  +exists: true
                  +wasRecentlyCreated: false
                  #escapeWhenCastingToString: false
                  #attributes: array:6 [
                    "id" => 1259579
                    "created_at" => "2026-04-10 13:58:26"
                    "updated_at" => null
                    "edition" => Illuminate\Database\Eloquent\Collection {#1131 …2}
                    "book_page" => array:2 [ …2]
                    "img" => array:1 [ …1]
                  ]
                  #original: array:6 [
                    "id" => 1259579
                    "created_at" => "2026-04-10 13:58:26"
                    "updated_at" => null
                    "edition" => Illuminate\Database\Eloquent\Collection {#1131 …2}
                    "book_page" => array:2 [ …2]
                    "img" => array:1 [ …1]
                  ]
                  #changes: []
                  #casts: []
                  #classCastCache: []
                  #attributeCastCache: []
                  #dateFormat: null
                  #appends: []
                  #dispatchesEvents: []
                  #observables: []
                  #relations: []
                  #touches: []
                  +timestamps: true
                  +usesUniqueIds: false
                  #hidden: []
                  #visible: []
                  #fillable: []
                  #guarded: array:1 [
                    0 => "*"
                  ]
                }
                1 => App\Models\Element {#1132
                  #connection: "mysql"
                  #table: "elements"
                  #primaryKey: "id"
                  #keyType: "int"
                  +incrementing: true
                  #with: []
                  #withCount: []
                  +preventsLazyLoading: false
                  #perPage: 15
                  +exists: true
                  +wasRecentlyCreated: false
                  #escapeWhenCastingToString: false
                  #attributes: array:6 [
                    "id" => 1259606
                    "created_at" => "2026-04-10 13:58:26"
                    "updated_at" => null
                    "edition" => Illuminate\Database\Eloquent\Collection {#1133 …2}
                    "book_page" => array:2 [ …2]
                    "img" => array:1 [ …1]
                  ]
                  #original: array:6 [
                    "id" => 1259606
                    "created_at" => "2026-04-10 13:58:26"
                    "updated_at" => null
                    "edition" => Illuminate\Database\Eloquent\Collection {#1133 …2}
                    "book_page" => array:2 [ …2]
                    "img" => array:1 [ …1]
                  ]
                  #changes: []
                  #casts: []
                  #classCastCache: []
                  #attributeCastCache: []
                  #dateFormat: null
                  #appends: []
                  #dispatchesEvents: []
                  #observables: []
                  #relations: []
                  #touches: []
                  +timestamps: true
                  +usesUniqueIds: false
                  #hidden: []
                  #visible: []
                  #fillable: []
                  #guarded: array:1 [
                    0 => "*"
                  ]
                }
              ]
              #escapeWhenCastingToString: false
            }
            "next" => array:2 [
              "refs" => "1096011"
              "type" => "book_page"
            ]
            "previous" => array:2 [
              "refs" => "1096009"
              "type" => "book_page"
            ]
            "tasks" => Illuminate\Database\Eloquent\Collection {#1226
              #items: array:11 [
                0 => App\Models\Task {#1244
                  #connection: "mysql"
                  #table: "tasks"
                  #primaryKey: "id"
                  #keyType: "int"
                  +incrementing: true
                  #with: []
                  #withCount: []
                  +preventsLazyLoading: false
                  #perPage: 15
                  +exists: true
                  +wasRecentlyCreated: false
                  #escapeWhenCastingToString: false
                  #attributes: array:24 [
                    "id" => 1103581
                    "created_at" => "2026-04-10 13:58:26"
                    "updated_at" => null
                    "field_page_start" => "109"
                    "field_page_end" => null
                    "field_url" => "/8-klass/algebra/kokshetau-soltan-uchebnik/1-383"
                    "field_display_title" => "383"
                    "field_outside_task" => null
                    "field_task_type" => Illuminate\Database\Eloquent\Collection {#1245 …2}
                    "field_metatags_title" => null
                    "field_metatags_description" => null
                    "field_h1" => null
                    "field_description_top" => null
                    "field_description_bottom" => null
                    "field_match" => null
                    "breadcrumbs" => []
                    "edition_groups" => Illuminate\Database\Eloquent\Collection {#1246 …2}
                    "top_parent_branch" => Illuminate\Database\Eloquent\Collection {#1247 …2}
                    "parent_branches" => Illuminate\Database\Eloquent\Collection {#1248 …2}
                    "content" => Illuminate\Database\Eloquent\Collection {#1251 …2}
                    "next" => array:2 [ …2]
                    "previous" => array:2 [ …2]
                    "book" => Illuminate\Database\Eloquent\Collection {#1257 …2}
                    "page" => array:2 [ …2]
                  ]
                  #original: array:24 [
                    "id" => 1103581
                    "created_at" => "2026-04-10 13:58:26"
                    "updated_at" => null
                    "field_page_start" => "109"
                    "field_page_end" => null
                    "field_url" => "/8-klass/algebra/kokshetau-soltan-uchebnik/1-383"
                    "field_display_title" => "383"
                    "field_outside_task" => null
                    "field_task_type" => Illuminate\Database\Eloquent\Collection {#1245 …2}
                    "field_metatags_title" => null
                    "field_metatags_description" => null
                    "field_h1" => null
                    "field_description_top" => null
                    "field_description_bottom" => null
                    "field_match" => null
                    "breadcrumbs" => []
                    "edition_groups" => Illuminate\Database\Eloquent\Collection {#1246 …2}
                    "top_parent_branch" => Illuminate\Database\Eloquent\Collection {#1247 …2}
                    "parent_branches" => Illuminate\Database\Eloquent\Collection {#1248 …2}
                    "content" => Illuminate\Database\Eloquent\Collection {#1251 …2}
                    "next" => array:2 [ …2]
                    "previous" => array:2 [ …2]
                    "book" => Illuminate\Database\Eloquent\Collection {#1257 …2}
                    "page" => array:2 [ …2]
                  ]
                  #changes: []
                  #casts: []
                  #classCastCache: []
                  #attributeCastCache: []
                  #dateFormat: null
                  #appends: []
                  #dispatchesEvents: []
                  #observables: []
                  #relations: []
                  #touches: []
                  +timestamps: true
                  +usesUniqueIds: false
                  #hidden: []
                  #visible: []
                  #fillable: []
                  #guarded: array:1 [
                    0 => "*"
                  ]
                }
                1 => App\Models\Task {#1250
                  #connection: "mysql"
                  #table: "tasks"
                  #primaryKey: "id"
                  #keyType: "int"
                  +incrementing: true
                  #with: []
                  #withCount: []
                  +preventsLazyLoading: false
                  #perPage: 15
                  +exists: true
                  +wasRecentlyCreated: false
                  #escapeWhenCastingToString: false
                  #attributes: array:24 [
                    "id" => 1103582
                    "created_at" => "2026-04-10 13:58:26"
                    "updated_at" => null
                    "field_page_start" => "109"
                    "field_page_end" => null
                    "field_url" => "/8-klass/algebra/kokshetau-soltan-uchebnik/1-384"
                    "field_display_title" => "384"
                    "field_outside_task" => null
                    "field_task_type" => Illuminate\Database\Eloquent\Collection {#1249 …2}
                    "field_metatags_title" => null
                    "field_metatags_description" => null
                    "field_h1" => null
                    "field_description_top" => null
                    "field_description_bottom" => null
                    "field_match" => null
                    "breadcrumbs" => []
                    "edition_groups" => Illuminate\Database\Eloquent\Collection {#1256 …2}
                    "top_parent_branch" => Illuminate\Database\Eloquent\Collection {#1258 …2}
                    "parent_branches" => Illuminate\Database\Eloquent\Collection {#1254 …2}
                    "content" => Illuminate\Database\Eloquent\Collection {#1253 …2}
                    "next" => array:2 [ …2]
                    "previous" => array:2 [ …2]
                    "book" => Illuminate\Database\Eloquent\Collection {#1271 …2}
                    "page" => array:2 [ …2]
                  ]
                  #original: array:24 [
                    "id" => 1103582
                    "created_at" => "2026-04-10 13:58:26"
                    "updated_at" => null
                    "field_page_start" => "109"
                    "field_page_end" => null
                    "field_url" => "/8-klass/algebra/kokshetau-soltan-uchebnik/1-384"
                    "field_display_title" => "384"
                    "field_outside_task" => null
                    "field_task_type" => Illuminate\Database\Eloquent\Collection {#1249 …2}
                    "field_metatags_title" => null
                    "field_metatags_description" => null
                    "field_h1" => null
                    "field_description_top" => null
                    "field_description_bottom" => null
                    "field_match" => null
                    "breadcrumbs" => []
                    "edition_groups" => Illuminate\Database\Eloquent\Collection {#1256 …2}
                    "top_parent_branch" => Illuminate\Database\Eloquent\Collection {#1258 …2}
                    "parent_branches" => Illuminate\Database\Eloquent\Collection {#1254 …2}
                    "content" => Illuminate\Database\Eloquent\Collection {#1253 …2}
                    "next" => array:2 [ …2]
                    "previous" => array:2 [ …2]
                    "book" => Illuminate\Database\Eloquent\Collection {#1271 …2}
                    "page" => array:2 [ …2]
                  ]
                  #changes: []
                  #casts: []
                  #classCastCache: []
                  #attributeCastCache: []
                  #dateFormat: null
                  #appends: []
                  #dispatchesEvents: []
                  #observables: []
                  #relations: []
                  #touches: []
                  +timestamps: true
                  +usesUniqueIds: false
                  #hidden: []
                  #visible: []
                  #fillable: []
                  #guarded: array:1 [
                    0 => "*"
                  ]
                }
                2 => App\Models\Task {#1255
                  #connection: "mysql"
                  #table: "tasks"
                  #primaryKey: "id"
                  #keyType: "int"
                  +incrementing: true
                  #with: []
                  #withCount: []
                  +preventsLazyLoading: false
                  #perPage: 15
                  +exists: true
                  +wasRecentlyCreated: false
                  #escapeWhenCastingToString: false
                  #attributes: array:24 [
                    "id" => 1103583
                    "created_at" => "2026-04-10 13:58:26"
                    "updated_at" => null
                    "field_page_start" => "109"
                    "field_page_end" => null
                    "field_url" => "/8-klass/algebra/kokshetau-soltan-uchebnik/1-385"
                    "field_display_title" => "385"
                    "field_outside_task" => null
                    "field_task_type" => Illuminate\Database\Eloquent\Collection {#1252 …2}
                    "field_metatags_title" => null
                    "field_metatags_description" => null
                    "field_h1" => null
                    "field_description_top" => null
                    "field_description_bottom" => null
                    "field_match" => null
                    "breadcrumbs" => []
                    "edition_groups" => Illuminate\Database\Eloquent\Collection {#1270 …2}
                    "top_parent_branch" => Illuminate\Database\Eloquent\Collection {#1272 …2}
                    "parent_branches" => Illuminate\Database\Eloquent\Collection {#1268 …2}
                    "content" => Illuminate\Database\Eloquent\Collection {#1267 …2}
                    "next" => array:2 [ …2]
                    "previous" => array:2 [ …2]
                    "book" => Illuminate\Database\Eloquent\Collection {#1285 …2}
                    "page" => array:2 [ …2]
                  ]
                  #original: array:24 [
                    "id" => 1103583
                    "created_at" => "2026-04-10 13:58:26"
                    "updated_at" => null
                    "field_page_start" => "109"
                    "field_page_end" => null
                    "field_url" => "/8-klass/algebra/kokshetau-soltan-uchebnik/1-385"
                    "field_display_title" => "385"
                    "field_outside_task" => null
                    "field_task_type" => Illuminate\Database\Eloquent\Collection {#1252 …2}
                    "field_metatags_title" => null
                    "field_metatags_description" => null
                    "field_h1" => null
                    "field_description_top" => null
                    "field_description_bottom" => null
                    "field_match" => null
                    "breadcrumbs" => []
                    "edition_groups" => Illuminate\Database\Eloquent\Collection {#1270 …2}
                    "top_parent_branch" => Illuminate\Database\Eloquent\Collection {#1272 …2}
                    "parent_branches" => Illuminate\Database\Eloquent\Collection {#1268 …2}
                    "content" => Illuminate\Database\Eloquent\Collection {#1267 …2}
                    "next" => array:2 [ …2]
                    "previous" => array:2 [ …2]
                    "book" => Illuminate\Database\Eloquent\Collection {#1285 …2}
                    "page" => array:2 [ …2]
                  ]
                  #changes: []
                  #casts: []
                  #classCastCache: []
                  #attributeCastCache: []
                  #dateFormat: null
                  #appends: []
                  #dispatchesEvents: []
                  #observables: []
                  #relations: []
                  #touches: []
                  +timestamps: true
                  +usesUniqueIds: false
                  #hidden: []
                  #visible: []
                  #fillable: []
                  #guarded: array:1 [
                    0 => "*"
                  ]
                }
                3 => App\Models\Task {#1269
                  #connection: "mysql"
                  #table: "tasks"
                  #primaryKey: "id"
                  #keyType: "int"
                  +incrementing: true
                  #with: []
                  #withCount: []
                  +preventsLazyLoading: false
                  #perPage: 15
                  +exists: true
                  +wasRecentlyCreated: false
                  #escapeWhenCastingToString: false
                  #attributes: array:24 [
                    "id" => 1103584
                    "created_at" => "2026-04-10 13:58:26"
                    "updated_at" => null
                    "field_page_start" => "109"
                    "field_page_end" => null
                    "field_url" => "/8-klass/algebra/kokshetau-soltan-uchebnik/1-386"
                    "field_display_title" => "386"
                    "field_outside_task" => null
                    "field_task_type" => Illuminate\Database\Eloquent\Collection {#1266 …2}
                    "field_metatags_title" => null
                    "field_metatags_description" => null
                    "field_h1" => null
                    "field_description_top" => null
                    "field_description_bottom" => null
                    "field_match" => null
                    "breadcrumbs" => []
                    "edition_groups" => Illuminate\Database\Eloquent\Collection {#1284 …2}
                    "top_parent_branch" => Illuminate\Database\Eloquent\Collection {#1286 …2}
                    "parent_branches" => Illuminate\Database\Eloquent\Collection {#1282 …2}
                    "content" => Illuminate\Database\Eloquent\Collection {#1281 …2}
                    "next" => array:2 [ …2]
                    "previous" => array:2 [ …2]
                    "book" => Illuminate\Database\Eloquent\Collection {#1299 …2}
                    "page" => array:2 [ …2]
                  ]
                  #original: array:24 [
                    "id" => 1103584
                    "created_at" => "2026-04-10 13:58:26"
                    "updated_at" => null
                    "field_page_start" => "109"
                    "field_page_end" => null
                    "field_url" => "/8-klass/algebra/kokshetau-soltan-uchebnik/1-386"
                    "field_display_title" => "386"
                    "field_outside_task" => null
                    "field_task_type" => Illuminate\Database\Eloquent\Collection {#1266 …2}
                    "field_metatags_title" => null
                    "field_metatags_description" => null
                    "field_h1" => null
                    "field_description_top" => null
                    "field_description_bottom" => null
                    "field_match" => null
                    "breadcrumbs" => []
                    "edition_groups" => Illuminate\Database\Eloquent\Collection {#1284 …2}
                    "top_parent_branch" => Illuminate\Database\Eloquent\Collection {#1286 …2}
                    "parent_branches" => Illuminate\Database\Eloquent\Collection {#1282 …2}
                    "content" => Illuminate\Database\Eloquent\Collection {#1281 …2}
                    "next" => array:2 [ …2]
                    "previous" => array:2 [ …2]
                    "book" => Illuminate\Database\Eloquent\Collection {#1299 …2}
                    "page" => array:2 [ …2]
                  ]
                  #changes: []
                  #casts: []
                  #classCastCache: []
                  #attributeCastCache: []
                  #dateFormat: null
                  #appends: []
                  #dispatchesEvents: []
                  #observables: []
                  #relations: []
                  #touches: []
                  +timestamps: true
                  +usesUniqueIds: false
                  #hidden: []
                  #visible: []
                  #fillable: []
                  #guarded: array:1 [
                    0 => "*"
                  ]
                }
                4 => App\Models\Task {#1283
                  #connection: "mysql"
                  #table: "tasks"
                  #primaryKey: "id"
                  #keyType: "int"
                  +incrementing: true
                  #with: []
                  #withCount: []
                  +preventsLazyLoading: false
                  #perPage: 15
                  +exists: true
                  +wasRecentlyCreated: false
                  #escapeWhenCastingToString: false
                  #attributes: array:24 [
                    "id" => 1103585
                    "created_at" => "2026-04-10 13:58:26"
                    "updated_at" => null
                    "field_page_start" => "109"
                    "field_page_end" => null
                    "field_url" => "/8-klass/algebra/kokshetau-soltan-uchebnik/1-387"
                    "field_display_title" => "387"
                    "field_outside_task" => null
                    "field_task_type" => Illuminate\Database\Eloquent\Collection {#1280 …2}
                    "field_metatags_title" => null
                    "field_metatags_description" => null
                    "field_h1" => null
                    "field_description_top" => null
                    "field_description_bottom" => null
                    "field_match" => null
                    "breadcrumbs" => []
                    "edition_groups" => Illuminate\Database\Eloquent\Collection {#1298 …2}
                    "top_parent_branch" => Illuminate\Database\Eloquent\Collection {#1300 …2}
                    "parent_branches" => Illuminate\Database\Eloquent\Collection {#1296 …2}
                    "content" => Illuminate\Database\Eloquent\Collection {#1295 …2}
                    "next" => array:2 [ …2]
                    "previous" => array:2 [ …2]
                    "book" => Illuminate\Database\Eloquent\Collection {#1313 …2}
                    "page" => array:2 [ …2]
                  ]
                  #original: array:24 [
                    "id" => 1103585
                    "created_at" => "2026-04-10 13:58:26"
                    "updated_at" => null
                    "field_page_start" => "109"
                    "field_page_end" => null
                    "field_url" => "/8-klass/algebra/kokshetau-soltan-uchebnik/1-387"
                    "field_display_title" => "387"
                    "field_outside_task" => null
                    "field_task_type" => Illuminate\Database\Eloquent\Collection {#1280 …2}
                    "field_metatags_title" => null
                    "field_metatags_description" => null
                    "field_h1" => null
                    "field_description_top" => null
                    "field_description_bottom" => null
                    "field_match" => null
                    "breadcrumbs" => []
                    "edition_groups" => Illuminate\Database\Eloquent\Collection {#1298 …2}
                    "top_parent_branch" => Illuminate\Database\Eloquent\Collection {#1300 …2}
                    "parent_branches" => Illuminate\Database\Eloquent\Collection {#1296 …2}
                    "content" => Illuminate\Database\Eloquent\Collection {#1295 …2}
                    "next" => array:2 [ …2]
                    "previous" => array:2 [ …2]
                    "book" => Illuminate\Database\Eloquent\Collection {#1313 …2}
                    "page" => array:2 [ …2]
                  ]
                  #changes: []
                  #casts: []
                  #classCastCache: []
                  #attributeCastCache: []
                  #dateFormat: null
                  #appends: []
                  #dispatchesEvents: []
                  #observables: []
                  #relations: []
                  #touches: []
                  +timestamps: true
                  +usesUniqueIds: false
                  #hidden: []
                  #visible: []
                  #fillable: []
                  #guarded: array:1 [
                    0 => "*"
                  ]
                }
                5 => App\Models\Task {#1297
                  #connection: "mysql"
                  #table: "tasks"
                  #primaryKey: "id"
                  #keyType: "int"
                  +incrementing: true
                  #with: []
                  #withCount: []
                  +preventsLazyLoading: false
                  #perPage: 15
                  +exists: true
                  +wasRecentlyCreated: false
                  #escapeWhenCastingToString: false
                  #attributes: array:24 [
                    "id" => 1103586
                    "created_at" => "2026-04-10 13:58:26"
                    "updated_at" => null
                    "field_page_start" => "109"
                    "field_page_end" => null
                    "field_url" => "/8-klass/algebra/kokshetau-soltan-uchebnik/1-388"
                    "field_display_title" => "388"
                    "field_outside_task" => null
                    "field_task_type" => Illuminate\Database\Eloquent\Collection {#1294 …2}
                    "field_metatags_title" => null
                    "field_metatags_description" => null
                    "field_h1" => null
                    "field_description_top" => null
                    "field_description_bottom" => null
                    "field_match" => null
                    "breadcrumbs" => []
                    "edition_groups" => Illuminate\Database\Eloquent\Collection {#1312 …2}
                    "top_parent_branch" => Illuminate\Database\Eloquent\Collection {#1314 …2}
                    "parent_branches" => Illuminate\Database\Eloquent\Collection {#1310 …2}
                    "content" => Illuminate\Database\Eloquent\Collection {#1309 …2}
                    "next" => array:2 [ …2]
                    "previous" => array:2 [ …2]
                    "book" => Illuminate\Database\Eloquent\Collection {#1327 …2}
                    "page" => array:2 [ …2]
                  ]
                  #original: array:24 [
                    "id" => 1103586
                    "created_at" => "2026-04-10 13:58:26"
                    "updated_at" => null
                    "field_page_start" => "109"
                    "field_page_end" => null
                    "field_url" => "/8-klass/algebra/kokshetau-soltan-uchebnik/1-388"
                    "field_display_title" => "388"
                    "field_outside_task" => null
                    "field_task_type" => Illuminate\Database\Eloquent\Collection {#1294 …2}
                    "field_metatags_title" => null
                    "field_metatags_description" => null
                    "field_h1" => null
                    "field_description_top" => null
                    "field_description_bottom" => null
                    "field_match" => null
                    "breadcrumbs" => []
                    "edition_groups" => Illuminate\Database\Eloquent\Collection {#1312 …2}
                    "top_parent_branch" => Illuminate\Database\Eloquent\Collection {#1314 …2}
                    "parent_branches" => Illuminate\Database\Eloquent\Collection {#1310 …2}
                    "content" => Illuminate\Database\Eloquent\Collection {#1309 …2}
                    "next" => array:2 [ …2]
                    "previous" => array:2 [ …2]
                    "book" => Illuminate\Database\Eloquent\Collection {#1327 …2}
                    "page" => array:2 [ …2]
                  ]
                  #changes: []
                  #casts: []
                  #classCastCache: []
                  #attributeCastCache: []
                  #dateFormat: null
                  #appends: []
                  #dispatchesEvents: []
                  #observables: []
                  #relations: []
                  #touches: []
                  +timestamps: true
                  +usesUniqueIds: false
                  #hidden: []
                  #visible: []
                  #fillable: []
                  #guarded: array:1 [
                    0 => "*"
                  ]
                }
                6 => App\Models\Task {#1311
                  #connection: "mysql"
                  #table: "tasks"
                  #primaryKey: "id"
                  #keyType: "int"
                  +incrementing: true
                  #with: []
                  #withCount: []
                  +preventsLazyLoading: false
                  #perPage: 15
                  +exists: true
                  +wasRecentlyCreated: false
                  #escapeWhenCastingToString: false
                  #attributes: array:24 [
                    "id" => 1103587
                    "created_at" => "2026-04-10 13:58:26"
                    "updated_at" => null
                    "field_page_start" => "109"
                    "field_page_end" => null
                    "field_url" => "/8-klass/algebra/kokshetau-soltan-uchebnik/1-389"
                    "field_display_title" => "389"
                    "field_outside_task" => null
                    "field_task_type" => Illuminate\Database\Eloquent\Collection {#1308 …2}
                    "field_metatags_title" => null
                    "field_metatags_description" => null
                    "field_h1" => null
                    "field_description_top" => null
                    "field_description_bottom" => null
                    "field_match" => null
                    "breadcrumbs" => []
                    "edition_groups" => Illuminate\Database\Eloquent\Collection {#1326 …2}
                    "top_parent_branch" => Illuminate\Database\Eloquent\Collection {#1328 …2}
                    "parent_branches" => Illuminate\Database\Eloquent\Collection {#1324 …2}
                    "content" => Illuminate\Database\Eloquent\Collection {#1323 …2}
                    "next" => array:2 [ …2]
                    "previous" => array:2 [ …2]
                    "book" => Illuminate\Database\Eloquent\Collection {#1341 …2}
                    "page" => array:2 [ …2]
                  ]
                  #original: array:24 [
                    "id" => 1103587
                    "created_at" => "2026-04-10 13:58:26"
                    "updated_at" => null
                    "field_page_start" => "109"
                    "field_page_end" => null
                    "field_url" => "/8-klass/algebra/kokshetau-soltan-uchebnik/1-389"
                    "field_display_title" => "389"
                    "field_outside_task" => null
                    "field_task_type" => Illuminate\Database\Eloquent\Collection {#1308 …2}
                    "field_metatags_title" => null
                    "field_metatags_description" => null
                    "field_h1" => null
                    "field_description_top" => null
                    "field_description_bottom" => null
                    "field_match" => null
                    "breadcrumbs" => []
                    "edition_groups" => Illuminate\Database\Eloquent\Collection {#1326 …2}
                    "top_parent_branch" => Illuminate\Database\Eloquent\Collection {#1328 …2}
                    "parent_branches" => Illuminate\Database\Eloquent\Collection {#1324 …2}
                    "content" => Illuminate\Database\Eloquent\Collection {#1323 …2}
                    "next" => array:2 [ …2]
                    "previous" => array:2 [ …2]
                    "book" => Illuminate\Database\Eloquent\Collection {#1341 …2}
                    "page" => array:2 [ …2]
                  ]
                  #changes: []
                  #casts: []
                  #classCastCache: []
                  #attributeCastCache: []
                  #dateFormat: null
                  #appends: []
                  #dispatchesEvents: []
                  #observables: []
                  #relations: []
                  #touches: []
                  +timestamps: true
                  +usesUniqueIds: false
                  #hidden: []
                  #visible: []
                  #fillable: []
                  #guarded: array:1 [
                    0 => "*"
                  ]
                }
                7 => App\Models\Task {#1325
                  #connection: "mysql"
                  #table: "tasks"
                  #primaryKey: "id"
                  #keyType: "int"
                  +incrementing: true
                  #with: []
                  #withCount: []
                  +preventsLazyLoading: false
                  #perPage: 15
                  +exists: true
                  +wasRecentlyCreated: false
                  #escapeWhenCastingToString: false
                  #attributes: array:24 [
                    "id" => 1103588
                    "created_at" => "2026-04-10 13:58:26"
                    "updated_at" => null
                    "field_page_start" => "109"
                    "field_page_end" => null
                    "field_url" => "/8-klass/algebra/kokshetau-soltan-uchebnik/1-390"
                    "field_display_title" => "390"
                    "field_outside_task" => null
                    "field_task_type" => Illuminate\Database\Eloquent\Collection {#1322 …2}
                    "field_metatags_title" => null
                    "field_metatags_description" => null
                    "field_h1" => null
                    "field_description_top" => null
                    "field_description_bottom" => null
                    "field_match" => null
                    "breadcrumbs" => []
                    "edition_groups" => Illuminate\Database\Eloquent\Collection {#1340 …2}
                    "top_parent_branch" => Illuminate\Database\Eloquent\Collection {#1342 …2}
                    "parent_branches" => Illuminate\Database\Eloquent\Collection {#1338 …2}
                    "content" => Illuminate\Database\Eloquent\Collection {#1337 …2}
                    "next" => array:2 [ …2]
                    "previous" => array:2 [ …2]
                    "book" => Illuminate\Database\Eloquent\Collection {#1355 …2}
                    "page" => array:2 [ …2]
                  ]
                  #original: array:24 [
                    "id" => 1103588
                    "created_at" => "2026-04-10 13:58:26"
                    "updated_at" => null
                    "field_page_start" => "109"
                    "field_page_end" => null
                    "field_url" => "/8-klass/algebra/kokshetau-soltan-uchebnik/1-390"
                    "field_display_title" => "390"
                    "field_outside_task" => null
                    "field_task_type" => Illuminate\Database\Eloquent\Collection {#1322 …2}
                    "field_metatags_title" => null
                    "field_metatags_description" => null
                    "field_h1" => null
                    "field_description_top" => null
                    "field_description_bottom" => null
                    "field_match" => null
                    "breadcrumbs" => []
                    "edition_groups" => Illuminate\Database\Eloquent\Collection {#1340 …2}
                    "top_parent_branch" => Illuminate\Database\Eloquent\Collection {#1342 …2}
                    "parent_branches" => Illuminate\Database\Eloquent\Collection {#1338 …2}
                     …5
                  ]
                  #changes: []
                  #casts: []
                  #classCastCache: []
                  #attributeCastCache: []
                  #dateFormat: null
                  #appends: []
                  #dispatchesEvents: []
                  #observables: []
                  #relations: []
                  #touches: []
                  +timestamps: true
                  +usesUniqueIds: false
                  #hidden: []
                  #visible: []
                  #fillable: []
                  #guarded: array:1 [ …1]
                }
                8 => App\Models\Task {#1339
                  #connection: "mysql"
                  #table: "tasks"
                  #primaryKey: "id"
                  #keyType: "int"
                  +incrementing: true
                  #with: []
                  #withCount: []
                  +preventsLazyLoading: false
                  #perPage: 15
                  +exists: true
                  +wasRecentlyCreated: false
                  #escapeWhenCastingToString: false
                  #attributes: array:24 [ …24]
                  #original: array:24 [ …24]
                  #changes: []
                  #casts: []
                  #classCastCache: []
                  #attributeCastCache: []
                  #dateFormat: null
                  #appends: []
                  #dispatchesEvents: []
                  #observables: []
                  #relations: []
                  #touches: []
                  +timestamps: true
                  +usesUniqueIds: false
                  #hidden: []
                  #visible: []
                  #fillable: []
                  #guarded: array:1 [ …1]
                }
                9 => App\Models\Task {#1353
                  #connection: "mysql"
                  #table: "tasks"
                  #primaryKey: "id"
                  #keyType: "int"
                  +incrementing: true
                  #with: []
                  #withCount: []
                  +preventsLazyLoading: false
                  #perPage: 15
                  +exists: true
                  +wasRecentlyCreated: false
                  #escapeWhenCastingToString: false
                  #attributes: array:24 [ …24]
                  #original: array:24 [ …24]
                  #changes: []
                  #casts: []
                  #classCastCache: []
                  #attributeCastCache: []
                  #dateFormat: null
                  #appends: []
                  #dispatchesEvents: []
                  #observables: []
                  #relations: []
                  #touches: []
                  +timestamps: true
                  +usesUniqueIds: false
                  #hidden: []
                  #visible: []
                  #fillable: []
                  #guarded: array:1 [ …1]
                }
                10 => App\Models\Task {#1367
                  #connection: "mysql"
                  #table: "tasks"
                  #primaryKey: "id"
                  #keyType: "int"
                  +incrementing: true
                  #with: []
                  #withCount: []
                  +preventsLazyLoading: false
                  #perPage: 15
                  +exists: true
                  +wasRecentlyCreated: false
                  #escapeWhenCastingToString: false
                  #attributes: array:24 [ …24]
                  #original: array:24 [ …24]
                  #changes: []
                  #casts: []
                  #classCastCache: []
                  #attributeCastCache: []
                  #dateFormat: null
                  #appends: []
                  #dispatchesEvents: []
                  #observables: []
                  #relations: []
                  #touches: []
                  +timestamps: true
                  +usesUniqueIds: false
                  #hidden: []
                  #visible: []
                  #fillable: []
                  #guarded: array:1 [ …1]
                }
              ]
              #escapeWhenCastingToString: false
            }
          ]
          #original: array:21 [
            "id" => 1096010
            "created_at" => "2026-04-10 13:58:26"
            "updated_at" => null
            "field_page_start" => "109"
            "field_url" => "/8-klass/algebra/kokshetau-soltan-uchebnik/page-109"
            "field_display_title" => "109"
            "field_folder" => "1"
            "field_image_name" => "109"
            "field_branch_parent" => Illuminate\Database\Eloquent\Collection {#1045}
            "field_weight" => "0"
            "field_book_parent" => Illuminate\Database\Eloquent\Collection {#1083}
            "field_metatags_title" => null
            "field_metatags_description" => null
            "field_h1" => null
            "field_description_top" => null
            "field_description_bottom" => null
            "edition_groups" => Illuminate\Database\Eloquent\Collection {#1079}
            "content" => Illuminate\Database\Eloquent\Collection {#1078}
            "next" => array:2 [
              "refs" => "1096011"
              "type" => "book_page"
            ]
            "previous" => array:2 [
              "refs" => "1096009"
              "type" => "book_page"
            ]
            "tasks" => Illuminate\Database\Eloquent\Collection {#1226}
          ]
          #changes: []
          #casts: []
          #classCastCache: []
          #attributeCastCache: []
          #dateFormat: null
          #appends: []
          #dispatchesEvents: []
          #observables: []
          #relations: []
          #touches: []
          +timestamps: true
          +usesUniqueIds: false
          #hidden: []
          #visible: []
          #fillable: []
          #guarded: array:1 [
            0 => "*"
          ]
        }
      ]
      #escapeWhenCastingToString: false
    }
  ]
  #original: array:24 [
    "id" => 1103591
    "created_at" => "2026-04-10 13:58:26"
    "updated_at" => null
    "field_page_start" => "109"
    "field_page_end" => null
    "field_url" => "/8-klass/algebra/kokshetau-soltan-uchebnik/1-393"
    "field_display_title" => "393"
    "field_outside_task" => null
    "field_task_type" => Illuminate\Database\Eloquent\Collection {#1009}
    "field_metatags_title" => null
    "field_metatags_description" => null
    "field_h1" => null
    "field_description_top" => null
    "field_description_bottom" => null
    "field_match" => null
    "breadcrumbs" => []
    "edition_groups" => Illuminate\Database\Eloquent\Collection {#1007}
    "top_parent_branch" => Illuminate\Database\Eloquent\Collection {#1043}
    "parent_branches" => Illuminate\Database\Eloquent\Collection {#1076}
    "content" => Illuminate\Database\Eloquent\Collection {#1073}
    "next" => array:2 [
      "refs" => "1103592"
      "type" => "task"
    ]
    "previous" => array:2 [
      "refs" => "1103590"
      "type" => "task"
    ]
    "book" => Illuminate\Database\Eloquent\Collection {#1069}
    "page" => array:2 [
      "refs" => "1096010"
      "type" => "book_page"
    ]
  ]
  #changes: []
  #casts: []
  #classCastCache: []
  #attributeCastCache: []
  #dateFormat: null
  #appends: []
  #dispatchesEvents: []
  #observables: []
  #relations: []
  #touches: []
  +timestamps: true
  +usesUniqueIds: false
  #hidden: []
  #visible: []
  #fillable: []
  #guarded: array:1 [
    0 => "*"
  ]
}
№393 (с. 109)
Условие РУС. №393 (с. 109)
Алгебра, 8 класс Учебник, авторы: Солтан Генадий Николаевич, Солтан Алла Евгеньевна, Жумадилова Аманбала Жумадиловна, издательство Кокшетау, Алматы, 2018, страница 109, номер 393, Условие РУС
Условия КЗ. №393 (с. 109)
Алгебра, 8 класс Учебник, авторы: Солтан Генадий Николаевич, Солтан Алла Евгеньевна, Жумадилова Аманбала Жумадиловна, издательство Кокшетау, Алматы, 2018, страница 109, номер 393, Условия КЗ
Решение. №393 (с. 109)
Алгебра, 8 класс Учебник, авторы: Солтан Генадий Николаевич, Солтан Алла Евгеньевна, Жумадилова Аманбала Жумадиловна, издательство Кокшетау, Алматы, 2018, страница 109, номер 393, Решение
Алгебра, 8 класс Учебник, авторы: Солтан Генадий Николаевич, Солтан Алла Евгеньевна, Жумадилова Аманбала Жумадиловна, издательство Кокшетау, Алматы, 2018, страница 109, номер 393, Решение (продолжение 2)

Помогло решение? Оставьте отзыв в комментариях ниже.

Присоединяйтесь к Телеграм-группе @top_gdz

Присоединиться

Мы подготовили для вас ответ c подробным объяснением домашего задания по алгебре за 8 класс, для упражнения номер 393 расположенного на странице 109 к учебнику 2018 года издания для учащихся школ и гимназий.

Теперь на нашем сайте ГДЗ.ТОП вы всегда легко и бесплатно найдёте условие с правильным ответом на вопрос «Как решить ДЗ» и «Как сделать» задание по алгебре к упражнению №393 (с. 109), авторов: Солтан (Генадий Николаевич), Солтан (Алла Евгеньевна), Жумадилова (Аманбала Жумадиловна), учебного пособия издательства Кокшетау.