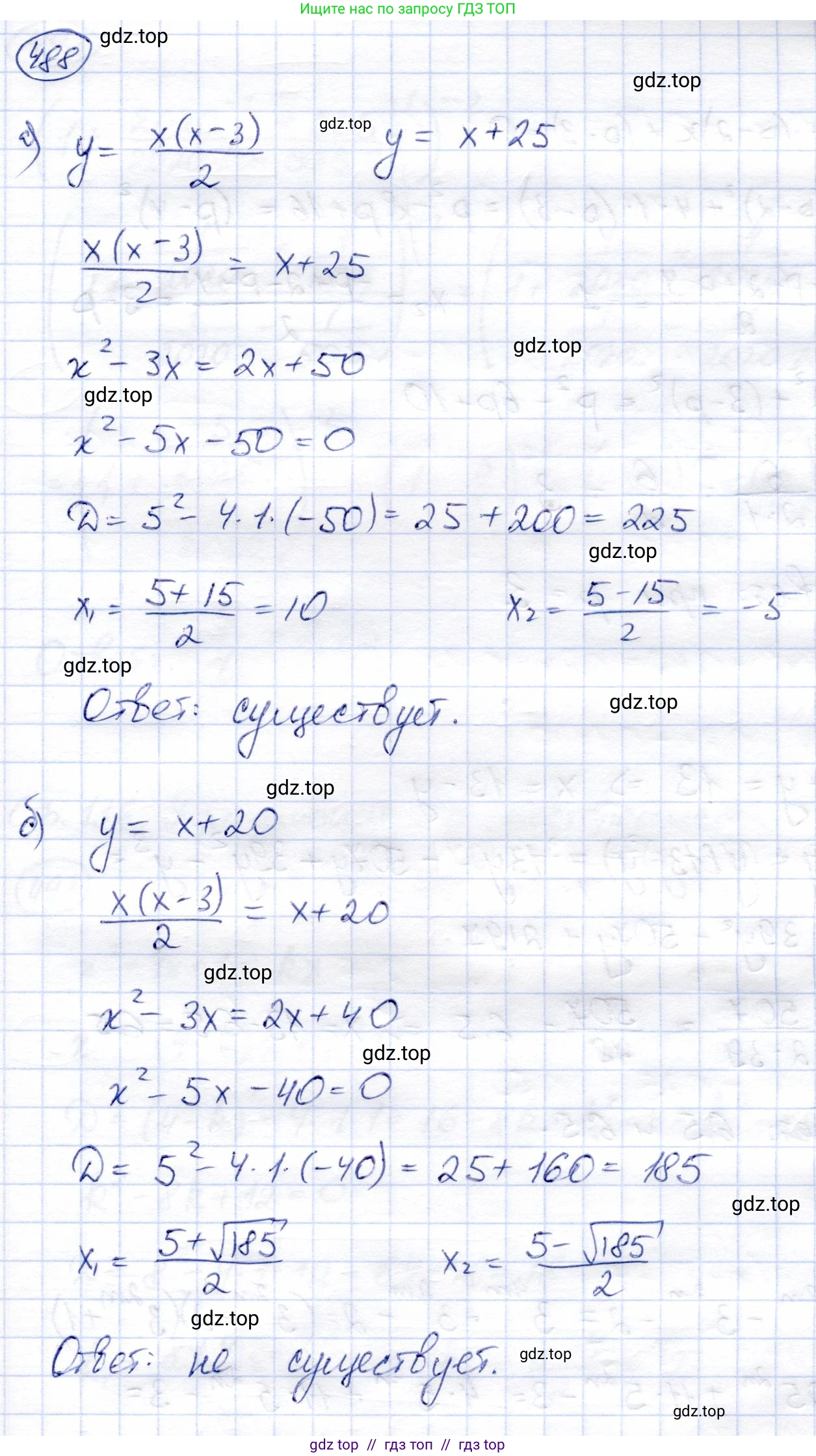
Номер 488, страница 135 - гдз по алгебре 8 класс учебник Солтан, Солтан

Алгебра, 8 класс Учебник, авторы: Солтан Генадий Николаевич, Солтан Алла Евгеньевна, Жумадилова Аманбала Жумадиловна, издательство Кокшетау, Алматы, 2018 Алгебра, 8 класс Учебник, авторы: Солтан Генадий Николаевич, Солтан Алла Евгеньевна, Жумадилова Аманбала Жумадиловна, издательство Кокшетау, Алматы, 2018

Авторы: Солтан Г. Н., Солтан А. Е., Жумадилова А. Ж.

Тип: Учебник

Издательство: Кокшетау

Год издания: 2018 - 2026

ISBN: 978-601-317-332-0

Утверждено Министерством образования и науки Республики Казахстан

III. Квадратичная функция. 21. Решение текстовых задач с использованием свойств квадратичной функции - номер 488, страница 135.

App\Models\Task {#1003 // resources/views/models/task/default.blade.php
  #connection: "mysql"
  #table: "tasks"
  #primaryKey: "id"
  #keyType: "int"
  +incrementing: true
  #with: []
  #withCount: []
  +preventsLazyLoading: false
  #perPage: 15
  +exists: true
  +wasRecentlyCreated: false
  #escapeWhenCastingToString: false
  #attributes: array:24 [
    "id" => 1103689
    "created_at" => "2026-04-10 13:58:26"
    "updated_at" => null
    "field_page_start" => "135"
    "field_page_end" => null
    "field_url" => "/8-klass/algebra/kokshetau-soltan-uchebnik/1-488"
    "field_display_title" => "488"
    "field_outside_task" => null
    "field_task_type" => Illuminate\Database\Eloquent\Collection {#1009
      #items: array:1 [
        0 => App\Models\Term {#1008
          #connection: "mysql"
          #table: "terms"
          #primaryKey: "id"
          #keyType: "int"
          +incrementing: false
          #with: []
          #withCount: []
          +preventsLazyLoading: false
          #perPage: 15
          +exists: true
          +wasRecentlyCreated: false
          #escapeWhenCastingToString: false
          #attributes: array:6 [
            "id" => 26
            "created_at" => "2026-04-10 13:58:26"
            "updated_at" => null
            "name" => "номер"
            "field_cases" => array:6 [
              "field_accusative_case" => "номер"
              "field_creative_case" => "номером"
              "field_dative_case" => "номеру"
              "field_genitive_case" => "номера"
              "field_nominative_case" => "номер"
              "field_prepositional_case" => "номере"
            ]
            "field_short_name" => ""
          ]
          #original: array:6 [
            "id" => 26
            "created_at" => "2026-04-10 13:58:26"
            "updated_at" => null
            "name" => "номер"
            "field_cases" => array:6 [
              "field_accusative_case" => "номер"
              "field_creative_case" => "номером"
              "field_dative_case" => "номеру"
              "field_genitive_case" => "номера"
              "field_nominative_case" => "номер"
              "field_prepositional_case" => "номере"
            ]
            "field_short_name" => ""
          ]
          #changes: []
          #casts: []
          #classCastCache: []
          #attributeCastCache: []
          #dateFormat: null
          #appends: []
          #dispatchesEvents: []
          #observables: []
          #relations: []
          #touches: []
          +timestamps: true
          +usesUniqueIds: false
          #hidden: []
          #visible: []
          #fillable: []
          #guarded: array:1 [
            0 => "*"
          ]
        }
      ]
      #escapeWhenCastingToString: false
    }
    "field_metatags_title" => null
    "field_metatags_description" => null
    "field_h1" => null
    "field_description_top" => null
    "field_description_bottom" => null
    "field_match" => null
    "breadcrumbs" => []
    "edition_groups" => Illuminate\Database\Eloquent\Collection {#1007
      #items: []
      #escapeWhenCastingToString: false
    }
    "top_parent_branch" => Illuminate\Database\Eloquent\Collection {#1018
      #items: array:1 [
        0 => App\Models\Branch {#1017
          #connection: "mysql"
          #table: "branches"
          #primaryKey: "id"
          #keyType: "int"
          +incrementing: true
          #with: []
          #withCount: []
          +preventsLazyLoading: false
          #perPage: 15
          +exists: true
          +wasRecentlyCreated: false
          #escapeWhenCastingToString: false
          #attributes: array:24 [
            "id" => 1103165
            "created_at" => "2026-04-10 13:58:26"
            "updated_at" => null
            "field_display_title" => "III. Квадратичная функция"
            "field_branch_order" => null
            "field_url" => null
            "field_branch_type" => Illuminate\Database\Eloquent\Collection {#1019
              #items: []
              #escapeWhenCastingToString: false
            }
            "field_page_start" => "105"
            "field_branch_display" => "0"
            "field_branch_expanded" => "0"
            "field_display_branch_in_title" => "0"
            "field_display_task_interval" => "0"
            "field_display_branch_page" => "1"
            "field_branch_title_in_content" => "0"
            "field_navigation_title" => null
            "field_metatags_title" => null
            "field_metatags_description" => null
            "field_h1" => null
            "field_description_top" => null
            "field_description_bottom" => null
            "field_branch_cover" => []
            "field_branch_covers" => []
            "book" => Illuminate\Database\Eloquent\Collection {#1050
              #items: array:1 [
                0 => App\Models\Book {#1020
                  #connection: "mysql"
                  #table: "books"
                  #primaryKey: "id"
                  #keyType: "int"
                  +incrementing: false
                  #with: []
                  #withCount: []
                  +preventsLazyLoading: false
                  #perPage: 15
                  +exists: true
                  +wasRecentlyCreated: false
                  #escapeWhenCastingToString: false
                  #attributes: array:50 [
                    "id" => 4291
                    "created_at" => "2026-04-10 13:58:26"
                    "updated_at" => null
                    "field_tree_default_status" => "tasks"
                    "field_pages_status" => null
                    "field_subject" => Illuminate\Database\Eloquent\Collection {#1022
                      #items: array:1 [
                        0 => App\Models\Term {#1021
                          #connection: "mysql"
                          #table: "terms"
                          #primaryKey: "id"
                          #keyType: "int"
                          +incrementing: false
                          #with: []
                          #withCount: []
                          +preventsLazyLoading: false
                          #perPage: 15
                          +exists: true
                          +wasRecentlyCreated: false
                          #escapeWhenCastingToString: false
                          #attributes: array:10 [
                            "id" => 6471
                            "created_at" => "2026-04-10 13:58:26"
                            "updated_at" => null
                            "name" => "Алгебра"
                            "field_abbreviated_name" => null
                            "field_cases" => array:6 [
                              "field_accusative_case" => "алгебру"
                              "field_creative_case" => "алгеброй"
                              "field_dative_case" => "алгебре"
                              "field_genitive_case" => "алгебры"
                              "field_nominative_case" => "алгебра"
                              "field_prepositional_case" => "алгебре"
                            ]
                            "field_foreign_lang_name" => null
                            "field_short_name" => null
                            "field_subject_type" => "technical_subject"
                            "field_translit" => "algebra"
                          ]
                          #original: array:10 [
                            "id" => 6471
                            "created_at" => "2026-04-10 13:58:26"
                            "updated_at" => null
                            "name" => "Алгебра"
                            "field_abbreviated_name" => null
                            "field_cases" => array:6 [
                              "field_accusative_case" => "алгебру"
                              "field_creative_case" => "алгеброй"
                              "field_dative_case" => "алгебре"
                              "field_genitive_case" => "алгебры"
                              "field_nominative_case" => "алгебра"
                              "field_prepositional_case" => "алгебре"
                            ]
                            "field_foreign_lang_name" => null
                            "field_short_name" => null
                            "field_subject_type" => "technical_subject"
                            "field_translit" => "algebra"
                          ]
                          #changes: []
                          #casts: []
                          #classCastCache: []
                          #attributeCastCache: []
                          #dateFormat: null
                          #appends: []
                          #dispatchesEvents: []
                          #observables: []
                          #relations: []
                          #touches: []
                          +timestamps: true
                          +usesUniqueIds: false
                          #hidden: []
                          #visible: []
                          #fillable: []
                          #guarded: array:1 [
                            0 => "*"
                          ]
                        }
                      ]
                      #escapeWhenCastingToString: false
                    }
                    "field_class" => Illuminate\Database\Eloquent\Collection {#1023
                      #items: array:1 [
                        0 => App\Models\Term {#1024
                          #connection: "mysql"
                          #table: "terms"
                          #primaryKey: "id"
                          #keyType: "int"
                          +incrementing: false
                          #with: []
                          #withCount: []
                          +preventsLazyLoading: false
                          #perPage: 15
                          +exists: true
                          +wasRecentlyCreated: false
                          #escapeWhenCastingToString: false
                          #attributes: array:6 [
                            "id" => 5457
                            "created_at" => "2026-04-10 13:58:26"
                            "updated_at" => null
                            "name" => "8"
                            "field_cases" => array:6 [
                              "field_accusative_case" => "восьмой"
                              "field_creative_case" => "восьмым"
                              "field_dative_case" => "восьмому"
                              "field_genitive_case" => "восьмого"
                              "field_nominative_case" => "восьмой"
                              "field_prepositional_case" => "восьмом"
                            ]
                            "field_translit" => "vosmoj"
                          ]
                          #original: array:6 [
                            "id" => 5457
                            "created_at" => "2026-04-10 13:58:26"
                            "updated_at" => null
                            "name" => "8"
                            "field_cases" => array:6 [
                              "field_accusative_case" => "восьмой"
                              "field_creative_case" => "восьмым"
                              "field_dative_case" => "восьмому"
                              "field_genitive_case" => "восьмого"
                              "field_nominative_case" => "восьмой"
                              "field_prepositional_case" => "восьмом"
                            ]
                            "field_translit" => "vosmoj"
                          ]
                          #changes: []
                          #casts: []
                          #classCastCache: []
                          #attributeCastCache: []
                          #dateFormat: null
                          #appends: []
                          #dispatchesEvents: []
                          #observables: []
                          #relations: []
                          #touches: []
                          +timestamps: true
                          +usesUniqueIds: false
                          #hidden: []
                          #visible: []
                          #fillable: []
                          #guarded: array:1 [
                            0 => "*"
                          ]
                        }
                      ]
                      #escapeWhenCastingToString: false
                    }
                    "field_publisher" => Illuminate\Database\Eloquent\Collection {#1025
                      #items: array:1 [
                        0 => App\Models\Term {#1026
                          #connection: "mysql"
                          #table: "terms"
                          #primaryKey: "id"
                          #keyType: "int"
                          +incrementing: false
                          #with: []
                          #withCount: []
                          +preventsLazyLoading: false
                          #perPage: 15
                          +exists: true
                          +wasRecentlyCreated: false
                          #escapeWhenCastingToString: false
                          #attributes: array:6 [
                            "id" => 7002
                            "created_at" => "2026-04-10 13:58:26"
                            "updated_at" => null
                            "name" => "Кокшетау"
                            "field_cases" => array:6 [
                              "field_accusative_case" => null
                              "field_creative_case" => null
                              "field_dative_case" => null
                              "field_genitive_case" => null
                              "field_nominative_case" => null
                              "field_prepositional_case" => null
                            ]
                            "field_translit" => "Kokshetau"
                          ]
                          #original: array:6 [
                            "id" => 7002
                            "created_at" => "2026-04-10 13:58:26"
                            "updated_at" => null
                            "name" => "Кокшетау"
                            "field_cases" => array:6 [
                              "field_accusative_case" => null
                              "field_creative_case" => null
                              "field_dative_case" => null
                              "field_genitive_case" => null
                              "field_nominative_case" => null
                              "field_prepositional_case" => null
                            ]
                            "field_translit" => "Kokshetau"
                          ]
                          #changes: []
                          #casts: []
                          #classCastCache: []
                          #attributeCastCache: []
                          #dateFormat: null
                          #appends: []
                          #dispatchesEvents: []
                          #observables: []
                          #relations: []
                          #touches: []
                          +timestamps: true
                          +usesUniqueIds: false
                          #hidden: []
                          #visible: []
                          #fillable: []
                          #guarded: array:1 [
                            0 => "*"
                          ]
                        }
                      ]
                      #escapeWhenCastingToString: false
                    }
                    "field_author" => Illuminate\Database\Eloquent\Collection {#1027
                      #items: array:3 [
                        0 => App\Models\Term {#1028
                          #connection: "mysql"
                          #table: "terms"
                          #primaryKey: "id"
                          #keyType: "int"
                          +incrementing: false
                          #with: []
                          #withCount: []
                          +preventsLazyLoading: false
                          #perPage: 15
                          +exists: true
                          +wasRecentlyCreated: false
                          #escapeWhenCastingToString: false
                          #attributes: array:12 [
                            "id" => 7003
                            "created_at" => "2026-04-10 13:58:26"
                            "updated_at" => null
                            "name" => "Солтан"
                            "field_bio" => null
                            "field_degree_rp" => null
                            "field_foreign_lang_name" => null
                            "field_foreign_lang_patronymic" => null
                            "field_foreign_lang_surname" => null
                            "field_name" => "Генадий"
                            "field_patronymic" => "Николаевич"
                            "field_surname_rp" => null
                          ]
                          #original: array:12 [
                            "id" => 7003
                            "created_at" => "2026-04-10 13:58:26"
                            "updated_at" => null
                            "name" => "Солтан"
                            "field_bio" => null
                            "field_degree_rp" => null
                            "field_foreign_lang_name" => null
                            "field_foreign_lang_patronymic" => null
                            "field_foreign_lang_surname" => null
                            "field_name" => "Генадий"
                            "field_patronymic" => "Николаевич"
                            "field_surname_rp" => null
                          ]
                          #changes: []
                          #casts: []
                          #classCastCache: []
                          #attributeCastCache: []
                          #dateFormat: null
                          #appends: []
                          #dispatchesEvents: []
                          #observables: []
                          #relations: []
                          #touches: []
                          +timestamps: true
                          +usesUniqueIds: false
                          #hidden: []
                          #visible: []
                          #fillable: []
                          #guarded: array:1 [
                            0 => "*"
                          ]
                        }
                        1 => App\Models\Term {#1029
                          #connection: "mysql"
                          #table: "terms"
                          #primaryKey: "id"
                          #keyType: "int"
                          +incrementing: false
                          #with: []
                          #withCount: []
                          +preventsLazyLoading: false
                          #perPage: 15
                          +exists: true
                          +wasRecentlyCreated: false
                          #escapeWhenCastingToString: false
                          #attributes: array:12 [
                            "id" => 7004
                            "created_at" => "2026-04-10 13:58:26"
                            "updated_at" => null
                            "name" => "Солтан"
                            "field_bio" => null
                            "field_degree_rp" => null
                            "field_foreign_lang_name" => null
                            "field_foreign_lang_patronymic" => null
                            "field_foreign_lang_surname" => null
                            "field_name" => "Алла"
                            "field_patronymic" => "Евгеньевна"
                            "field_surname_rp" => null
                          ]
                          #original: array:12 [
                            "id" => 7004
                            "created_at" => "2026-04-10 13:58:26"
                            "updated_at" => null
                            "name" => "Солтан"
                            "field_bio" => null
                            "field_degree_rp" => null
                            "field_foreign_lang_name" => null
                            "field_foreign_lang_patronymic" => null
                            "field_foreign_lang_surname" => null
                            "field_name" => "Алла"
                            "field_patronymic" => "Евгеньевна"
                            "field_surname_rp" => null
                          ]
                          #changes: []
                          #casts: []
                          #classCastCache: []
                          #attributeCastCache: []
                          #dateFormat: null
                          #appends: []
                          #dispatchesEvents: []
                          #observables: []
                          #relations: []
                          #touches: []
                          +timestamps: true
                          +usesUniqueIds: false
                          #hidden: []
                          #visible: []
                          #fillable: []
                          #guarded: array:1 [
                            0 => "*"
                          ]
                        }
                        2 => App\Models\Term {#1030
                          #connection: "mysql"
                          #table: "terms"
                          #primaryKey: "id"
                          #keyType: "int"
                          +incrementing: false
                          #with: []
                          #withCount: []
                          +preventsLazyLoading: false
                          #perPage: 15
                          +exists: true
                          +wasRecentlyCreated: false
                          #escapeWhenCastingToString: false
                          #attributes: array:12 [
                            "id" => 7005
                            "created_at" => "2026-04-10 13:58:26"
                            "updated_at" => null
                            "name" => "Жумадилова"
                            "field_bio" => null
                            "field_degree_rp" => null
                            "field_foreign_lang_name" => null
                            "field_foreign_lang_patronymic" => null
                            "field_foreign_lang_surname" => null
                            "field_name" => "Аманбала"
                            "field_patronymic" => "Жумадиловна"
                            "field_surname_rp" => null
                          ]
                          #original: array:12 [
                            "id" => 7005
                            "created_at" => "2026-04-10 13:58:26"
                            "updated_at" => null
                            "name" => "Жумадилова"
                            "field_bio" => null
                            "field_degree_rp" => null
                            "field_foreign_lang_name" => null
                            "field_foreign_lang_patronymic" => null
                            "field_foreign_lang_surname" => null
                            "field_name" => "Аманбала"
                            "field_patronymic" => "Жумадиловна"
                            "field_surname_rp" => null
                          ]
                          #changes: []
                          #casts: []
                          #classCastCache: []
                          #attributeCastCache: []
                          #dateFormat: null
                          #appends: []
                          #dispatchesEvents: []
                          #observables: []
                          #relations: []
                          #touches: []
                          +timestamps: true
                          +usesUniqueIds: false
                          #hidden: []
                          #visible: []
                          #fillable: []
                          #guarded: array:1 [
                            0 => "*"
                          ]
                        }
                      ]
                      #escapeWhenCastingToString: false
                    }
                    "field_author_foreign" => Illuminate\Database\Eloquent\Collection {#1031
                      #items: []
                      #escapeWhenCastingToString: false
                    }
                    "field_book_type" => Illuminate\Database\Eloquent\Collection {#1032
                      #items: array:1 [
                        0 => App\Models\Term {#1033
                          #connection: "mysql"
                          #table: "terms"
                          #primaryKey: "id"
                          #keyType: "int"
                          +incrementing: false
                          #with: []
                          #withCount: []
                          +preventsLazyLoading: false
                          #perPage: 15
                          +exists: true
                          +wasRecentlyCreated: false
                          #escapeWhenCastingToString: false
                          #attributes: array:10 [
                            "id" => 6671
                            "created_at" => "2026-04-10 13:58:26"
                            "updated_at" => null
                            "name" => "Учебник"
                            "field_book_type_foreign" => null
                            "field_cases" => array:6 [
                              "field_accusative_case" => "учебник"
                              "field_creative_case" => "учебником"
                              "field_dative_case" => "учебнику"
                              "field_genitive_case" => "учебника"
                              "field_nominative_case" => "учебник"
                              "field_prepositional_case" => "учебнике"
                            ]
                            "field_plural_form" => null
                            "field_short_name" => null
                            "field_short_name_foreign" => null
                            "field_translit" => "uchebnik"
                          ]
                          #original: array:10 [
                            "id" => 6671
                            "created_at" => "2026-04-10 13:58:26"
                            "updated_at" => null
                            "name" => "Учебник"
                            "field_book_type_foreign" => null
                            "field_cases" => array:6 [
                              "field_accusative_case" => "учебник"
                              "field_creative_case" => "учебником"
                              "field_dative_case" => "учебнику"
                              "field_genitive_case" => "учебника"
                              "field_nominative_case" => "учебник"
                              "field_prepositional_case" => "учебнике"
                            ]
                            "field_plural_form" => null
                            "field_short_name" => null
                            "field_short_name_foreign" => null
                            "field_translit" => "uchebnik"
                          ]
                          #changes: []
                          #casts: []
                          #classCastCache: []
                          #attributeCastCache: []
                          #dateFormat: null
                          #appends: []
                          #dispatchesEvents: []
                          #observables: []
                          #relations: []
                          #touches: []
                          +timestamps: true
                          +usesUniqueIds: false
                          #hidden: []
                          #visible: []
                          #fillable: []
                          #guarded: array:1 [
                            0 => "*"
                          ]
                        }
                      ]
                      #escapeWhenCastingToString: false
                    }
                    "field_country" => Illuminate\Database\Eloquent\Collection {#1034
                      #items: array:1 [
                        0 => App\Models\Term {#1035
                          #connection: "mysql"
                          #table: "terms"
                          #primaryKey: "id"
                          #keyType: "int"
                          +incrementing: false
                          #with: []
                          #withCount: []
                          +preventsLazyLoading: false
                          #perPage: 15
                          +exists: true
                          +wasRecentlyCreated: false
                          #escapeWhenCastingToString: false
                          #attributes: array:6 [
                            "id" => 6994
                            "created_at" => "2026-04-10 13:58:26"
                            "updated_at" => null
                            "name" => "Казахстан"
                            "field_cases" => array:6 [
                              "field_accusative_case" => null
                              "field_creative_case" => null
                              "field_dative_case" => null
                              "field_genitive_case" => null
                              "field_nominative_case" => null
                              "field_prepositional_case" => null
                            ]
                            "field_translit" => "kazakhstan"
                          ]
                          #original: array:6 [
                            "id" => 6994
                            "created_at" => "2026-04-10 13:58:26"
                            "updated_at" => null
                            "name" => "Казахстан"
                            "field_cases" => array:6 [
                              "field_accusative_case" => null
                              "field_creative_case" => null
                              "field_dative_case" => null
                              "field_genitive_case" => null
                              "field_nominative_case" => null
                              "field_prepositional_case" => null
                            ]
                            "field_translit" => "kazakhstan"
                          ]
                          #changes: []
                          #casts: []
                          #classCastCache: []
                          #attributeCastCache: []
                          #dateFormat: null
                          #appends: []
                          #dispatchesEvents: []
                          #observables: []
                          #relations: []
                          #touches: []
                          +timestamps: true
                          +usesUniqueIds: false
                          #hidden: []
                          #visible: []
                          #fillable: []
                          #guarded: array:1 [
                            0 => "*"
                          ]
                        }
                      ]
                      #escapeWhenCastingToString: false
                    }
                    "field_city" => Illuminate\Database\Eloquent\Collection {#1036
                      #items: array:1 [
                        0 => App\Models\Term {#1037
                          #connection: "mysql"
                          #table: "terms"
                          #primaryKey: "id"
                          #keyType: "int"
                          +incrementing: false
                          #with: []
                          #withCount: []
                          +preventsLazyLoading: false
                          #perPage: 15
                          +exists: true
                          +wasRecentlyCreated: false
                          #escapeWhenCastingToString: false
                          #attributes: array:6 [
                            "id" => 6995
                            "created_at" => "2026-04-10 13:58:26"
                            "updated_at" => null
                            "name" => "Алматы"
                            "field_cases" => array:6 [
                              "field_accusative_case" => null
                              "field_creative_case" => null
                              "field_dative_case" => null
                              "field_genitive_case" => null
                              "field_nominative_case" => null
                              "field_prepositional_case" => null
                            ]
                            "field_translit" => "almaty"
                          ]
                          #original: array:6 [
                            "id" => 6995
                            "created_at" => "2026-04-10 13:58:26"
                            "updated_at" => null
                            "name" => "Алматы"
                            "field_cases" => array:6 [
                              "field_accusative_case" => null
                              "field_creative_case" => null
                              "field_dative_case" => null
                              "field_genitive_case" => null
                              "field_nominative_case" => null
                              "field_prepositional_case" => null
                            ]
                            "field_translit" => "almaty"
                          ]
                          #changes: []
                          #casts: []
                          #classCastCache: []
                          #attributeCastCache: []
                          #dateFormat: null
                          #appends: []
                          #dispatchesEvents: []
                          #observables: []
                          #relations: []
                          #touches: []
                          +timestamps: true
                          +usesUniqueIds: false
                          #hidden: []
                          #visible: []
                          #fillable: []
                          #guarded: array:1 [
                            0 => "*"
                          ]
                        }
                      ]
                      #escapeWhenCastingToString: false
                    }
                    "field_series" => Illuminate\Database\Eloquent\Collection {#1038
                      #items: []
                      #escapeWhenCastingToString: false
                    }
                    "field_umk" => Illuminate\Database\Eloquent\Collection {#1039
                      #items: []
                      #escapeWhenCastingToString: false
                    }
                    "field_level_of_education" => Illuminate\Database\Eloquent\Collection {#1040
                      #items: []
                      #escapeWhenCastingToString: false
                    }
                    "field_standart_of_education" => Illuminate\Database\Eloquent\Collection {#1041
                      #items: []
                      #escapeWhenCastingToString: false
                    }
                    "field_publication_number" => null
                    "field_publication_type" => Illuminate\Database\Eloquent\Collection {#1042
                      #items: []
                      #escapeWhenCastingToString: false
                    }
                    "field_under_the_edition" => Illuminate\Database\Eloquent\Collection {#1043
                      #items: []
                      #escapeWhenCastingToString: false
                    }
                    "field_under_the_edition_degree" => null
                    "field_cover_description" => null
                    "field_publication_year" => "2018"
                    "field_publication_year_until" => null
                    "field_part" => ""
                    "field_part_writing" => ""
                    "field_second_foreign_language" => null
                    "field_for_whom" => "Учебник для учащихся общеобразовательной "
                    "field_allowed" => "Утверждено Министерством образования и науки Республики Казахстан"
                    "field_reserve_field" => null
                    "field_link_to_source" => null
                    "field_tasks_count" => "722"
                    "field_priority" => "4"
                    "field_default_folder" => "/algebra_08/Abylkasymova/"
                    "field_isbn" => "978-601-317-332-0"
                    "field_cover" => array:2 [
                      0 => "/media/algebra_08/Abylkasymova/covers/cover1.webp?ts=1752132516"
                      1 => "/media/algebra_08/Abylkasymova/covers/cover2.webp?ts=1752132516"
                    ]
                    "field_cover_alts" => array:2 [
                      0 => ""
                      1 => ""
                    ]
                    "field_covers" => array:2 [
                      0 => array:4 [
                        "path" => "/media/algebra_08/Abylkasymova/covers/cover1.webp?ts=1752132516"
                        "alt" => ""
                        "width" => "556"
                        "height" => "842"
                      ]
                      1 => array:4 [
                        "path" => "/media/algebra_08/Abylkasymova/covers/cover2.webp?ts=1752132516"
                        "alt" => ""
                        "width" => "442"
                        "height" => "673"
                      ]
                    ]
                    "field_popular_book" => null
                    "field_recommended_books" => Illuminate\Database\Eloquent\Collection {#1044
                      #items: []
                      #escapeWhenCastingToString: false
                    }
                    "field_new_book" => Illuminate\Database\Eloquent\Collection {#1045
                      #items: []
                      #escapeWhenCastingToString: false
                    }
                    "field_old_book" => Illuminate\Database\Eloquent\Collection {#1046
                      #items: []
                      #escapeWhenCastingToString: false
                    }
                    "field_url" => "/8-klass/algebra/kokshetau-soltan-uchebnik"
                    "field_cover_color" => Illuminate\Database\Eloquent\Collection {#1047
                      #items: []
                      #escapeWhenCastingToString: false
                    }
                    "field_metatags_title" => null
                    "field_metatags_description" => null
                    "field_h1" => null
                    "field_description_top" => null
                    "field_description_bottom" => null
                    "breadcrumbs" => array:3 [
                      "class" => 379
                      "subject" => 542
                      "class_subject" => 385
                    ]
                  ]
                  #original: array:50 [
                    "id" => 4291
                    "created_at" => "2026-04-10 13:58:26"
                    "updated_at" => null
                    "field_tree_default_status" => "tasks"
                    "field_pages_status" => null
                    "field_subject" => Illuminate\Database\Eloquent\Collection {#1022}
                    "field_class" => Illuminate\Database\Eloquent\Collection {#1023}
                    "field_publisher" => Illuminate\Database\Eloquent\Collection {#1025}
                    "field_author" => Illuminate\Database\Eloquent\Collection {#1027}
                    "field_author_foreign" => Illuminate\Database\Eloquent\Collection {#1031}
                    "field_book_type" => Illuminate\Database\Eloquent\Collection {#1032}
                    "field_country" => Illuminate\Database\Eloquent\Collection {#1034}
                    "field_city" => Illuminate\Database\Eloquent\Collection {#1036}
                    "field_series" => Illuminate\Database\Eloquent\Collection {#1038}
                    "field_umk" => Illuminate\Database\Eloquent\Collection {#1039}
                    "field_level_of_education" => Illuminate\Database\Eloquent\Collection {#1040}
                    "field_standart_of_education" => Illuminate\Database\Eloquent\Collection {#1041}
                    "field_publication_number" => null
                    "field_publication_type" => Illuminate\Database\Eloquent\Collection {#1042}
                    "field_under_the_edition" => Illuminate\Database\Eloquent\Collection {#1043}
                    "field_under_the_edition_degree" => null
                    "field_cover_description" => null
                    "field_publication_year" => "2018"
                    "field_publication_year_until" => null
                    "field_part" => ""
                    "field_part_writing" => ""
                    "field_second_foreign_language" => null
                    "field_for_whom" => "Учебник для учащихся общеобразовательной "
                    "field_allowed" => "Утверждено Министерством образования и науки Республики Казахстан"
                    "field_reserve_field" => null
                    "field_link_to_source" => null
                    "field_tasks_count" => "722"
                    "field_priority" => "4"
                    "field_default_folder" => "/algebra_08/Abylkasymova/"
                    "field_isbn" => "978-601-317-332-0"
                    "field_cover" => array:2 [
                      0 => "/media/algebra_08/Abylkasymova/covers/cover1.webp?ts=1752132516"
                      1 => "/media/algebra_08/Abylkasymova/covers/cover2.webp?ts=1752132516"
                    ]
                    "field_cover_alts" => array:2 [
                      0 => ""
                      1 => ""
                    ]
                    "field_covers" => array:2 [
                      0 => array:4 [
                        "path" => "/media/algebra_08/Abylkasymova/covers/cover1.webp?ts=1752132516"
                        "alt" => ""
                        "width" => "556"
                        "height" => "842"
                      ]
                      1 => array:4 [
                        "path" => "/media/algebra_08/Abylkasymova/covers/cover2.webp?ts=1752132516"
                        "alt" => ""
                        "width" => "442"
                        "height" => "673"
                      ]
                    ]
                    "field_popular_book" => null
                    "field_recommended_books" => Illuminate\Database\Eloquent\Collection {#1044}
                    "field_new_book" => Illuminate\Database\Eloquent\Collection {#1045}
                    "field_old_book" => Illuminate\Database\Eloquent\Collection {#1046}
                    "field_url" => "/8-klass/algebra/kokshetau-soltan-uchebnik"
                    "field_cover_color" => Illuminate\Database\Eloquent\Collection {#1047}
                    "field_metatags_title" => null
                    "field_metatags_description" => null
                    "field_h1" => null
                    "field_description_top" => null
                    "field_description_bottom" => null
                    "breadcrumbs" => array:3 [
                      "class" => 379
                      "subject" => 542
                      "class_subject" => 385
                    ]
                  ]
                  #changes: []
                  #casts: []
                  #classCastCache: []
                  #attributeCastCache: []
                  #dateFormat: null
                  #appends: []
                  #dispatchesEvents: []
                  #observables: []
                  #relations: []
                  #touches: []
                  +timestamps: true
                  +usesUniqueIds: false
                  #hidden: []
                  #visible: []
                  #fillable: []
                  #guarded: array:1 [
                    0 => "*"
                  ]
                }
              ]
              #escapeWhenCastingToString: false
            }
            "branch_parent" => Illuminate\Database\Eloquent\Collection {#1048
              #items: []
              #escapeWhenCastingToString: false
            }
          ]
          #original: array:24 [
            "id" => 1103165
            "created_at" => "2026-04-10 13:58:26"
            "updated_at" => null
            "field_display_title" => "III. Квадратичная функция"
            "field_branch_order" => null
            "field_url" => null
            "field_branch_type" => Illuminate\Database\Eloquent\Collection {#1019}
            "field_page_start" => "105"
            "field_branch_display" => "0"
            "field_branch_expanded" => "0"
            "field_display_branch_in_title" => "0"
            "field_display_task_interval" => "0"
            "field_display_branch_page" => "1"
            "field_branch_title_in_content" => "0"
            "field_navigation_title" => null
            "field_metatags_title" => null
            "field_metatags_description" => null
            "field_h1" => null
            "field_description_top" => null
            "field_description_bottom" => null
            "field_branch_cover" => []
            "field_branch_covers" => []
            "book" => Illuminate\Database\Eloquent\Collection {#1050}
            "branch_parent" => Illuminate\Database\Eloquent\Collection {#1048}
          ]
          #changes: []
          #casts: []
          #classCastCache: []
          #attributeCastCache: []
          #dateFormat: null
          #appends: []
          #dispatchesEvents: []
          #observables: []
          #relations: []
          #touches: []
          +timestamps: true
          +usesUniqueIds: false
          #hidden: []
          #visible: []
          #fillable: []
          #guarded: array:1 [
            0 => "*"
          ]
        }
      ]
      #escapeWhenCastingToString: false
    }
    "parent_branches" => Illuminate\Database\Eloquent\Collection {#1077
      #items: array:2 [
        0 => App\Models\Branch {#1085
          #connection: "mysql"
          #table: "branches"
          #primaryKey: "id"
          #keyType: "int"
          +incrementing: true
          #with: []
          #withCount: []
          +preventsLazyLoading: false
          #perPage: 15
          +exists: true
          +wasRecentlyCreated: false
          #escapeWhenCastingToString: false
          #attributes: array:24 [
            "id" => 1103165
            "created_at" => "2026-04-10 13:58:26"
            "updated_at" => null
            "field_display_title" => "III. Квадратичная функция"
            "field_branch_order" => null
            "field_url" => null
            "field_branch_type" => Illuminate\Database\Eloquent\Collection {#1086
              #items: []
              #escapeWhenCastingToString: false
            }
            "field_page_start" => "105"
            "field_branch_display" => "0"
            "field_branch_expanded" => "0"
            "field_display_branch_in_title" => "0"
            "field_display_task_interval" => "0"
            "field_display_branch_page" => "1"
            "field_branch_title_in_content" => "0"
            "field_navigation_title" => null
            "field_metatags_title" => null
            "field_metatags_description" => null
            "field_h1" => null
            "field_description_top" => null
            "field_description_bottom" => null
            "field_branch_cover" => []
            "field_branch_covers" => []
            "book" => Illuminate\Database\Eloquent\Collection {#1087
              #items: array:1 [
                0 => App\Models\Book {#1020}
              ]
              #escapeWhenCastingToString: false
            }
            "branch_parent" => Illuminate\Database\Eloquent\Collection {#1088
              #items: []
              #escapeWhenCastingToString: false
            }
          ]
          #original: array:24 [
            "id" => 1103165
            "created_at" => "2026-04-10 13:58:26"
            "updated_at" => null
            "field_display_title" => "III. Квадратичная функция"
            "field_branch_order" => null
            "field_url" => null
            "field_branch_type" => Illuminate\Database\Eloquent\Collection {#1086}
            "field_page_start" => "105"
            "field_branch_display" => "0"
            "field_branch_expanded" => "0"
            "field_display_branch_in_title" => "0"
            "field_display_task_interval" => "0"
            "field_display_branch_page" => "1"
            "field_branch_title_in_content" => "0"
            "field_navigation_title" => null
            "field_metatags_title" => null
            "field_metatags_description" => null
            "field_h1" => null
            "field_description_top" => null
            "field_description_bottom" => null
            "field_branch_cover" => []
            "field_branch_covers" => []
            "book" => Illuminate\Database\Eloquent\Collection {#1087}
            "branch_parent" => Illuminate\Database\Eloquent\Collection {#1088}
          ]
          #changes: []
          #casts: []
          #classCastCache: []
          #attributeCastCache: []
          #dateFormat: null
          #appends: []
          #dispatchesEvents: []
          #observables: []
          #relations: []
          #touches: []
          +timestamps: true
          +usesUniqueIds: false
          #hidden: []
          #visible: []
          #fillable: []
          #guarded: array:1 [
            0 => "*"
          ]
        }
        1 => App\Models\Branch {#1089
          #connection: "mysql"
          #table: "branches"
          #primaryKey: "id"
          #keyType: "int"
          +incrementing: true
          #with: []
          #withCount: []
          +preventsLazyLoading: false
          #perPage: 15
          +exists: true
          +wasRecentlyCreated: false
          #escapeWhenCastingToString: false
          #attributes: array:24 [
            "id" => 1103170
            "created_at" => "2026-04-10 13:58:26"
            "updated_at" => null
            "field_display_title" => "21. Решение текстовых задач с использованием свойств квадратичной функции"
            "field_branch_order" => null
            "field_url" => null
            "field_branch_type" => Illuminate\Database\Eloquent\Collection {#1090
              #items: []
              #escapeWhenCastingToString: false
            }
            "field_page_start" => "132"
            "field_branch_display" => "0"
            "field_branch_expanded" => "0"
            "field_display_branch_in_title" => "1"
            "field_display_task_interval" => "0"
            "field_display_branch_page" => "1"
            "field_branch_title_in_content" => "0"
            "field_navigation_title" => null
            "field_metatags_title" => null
            "field_metatags_description" => null
            "field_h1" => null
            "field_description_top" => null
            "field_description_bottom" => null
            "field_branch_cover" => []
            "field_branch_covers" => []
            "book" => Illuminate\Database\Eloquent\Collection {#1091
              #items: array:1 [
                0 => App\Models\Book {#1020}
              ]
              #escapeWhenCastingToString: false
            }
            "branch_parent" => Illuminate\Database\Eloquent\Collection {#1092
              #items: array:1 [
                0 => App\Models\Branch {#1017}
              ]
              #escapeWhenCastingToString: false
            }
          ]
          #original: array:24 [
            "id" => 1103170
            "created_at" => "2026-04-10 13:58:26"
            "updated_at" => null
            "field_display_title" => "21. Решение текстовых задач с использованием свойств квадратичной функции"
            "field_branch_order" => null
            "field_url" => null
            "field_branch_type" => Illuminate\Database\Eloquent\Collection {#1090}
            "field_page_start" => "132"
            "field_branch_display" => "0"
            "field_branch_expanded" => "0"
            "field_display_branch_in_title" => "1"
            "field_display_task_interval" => "0"
            "field_display_branch_page" => "1"
            "field_branch_title_in_content" => "0"
            "field_navigation_title" => null
            "field_metatags_title" => null
            "field_metatags_description" => null
            "field_h1" => null
            "field_description_top" => null
            "field_description_bottom" => null
            "field_branch_cover" => []
            "field_branch_covers" => []
            "book" => Illuminate\Database\Eloquent\Collection {#1091}
            "branch_parent" => Illuminate\Database\Eloquent\Collection {#1092}
          ]
          #changes: []
          #casts: []
          #classCastCache: []
          #attributeCastCache: []
          #dateFormat: null
          #appends: []
          #dispatchesEvents: []
          #observables: []
          #relations: []
          #touches: []
          +timestamps: true
          +usesUniqueIds: false
          #hidden: []
          #visible: []
          #fillable: []
          #guarded: array:1 [
            0 => "*"
          ]
        }
      ]
      #escapeWhenCastingToString: false
    }
    "content" => Illuminate\Database\Eloquent\Collection {#1074
      #items: array:3 [
        0 => App\Models\Element {#1067
          #connection: "mysql"
          #table: "elements"
          #primaryKey: "id"
          #keyType: "int"
          +incrementing: true
          #with: []
          #withCount: []
          +preventsLazyLoading: false
          #perPage: 15
          +exists: true
          +wasRecentlyCreated: false
          #escapeWhenCastingToString: false
          #attributes: array:6 [
            "id" => 1268865
            "created_at" => "2026-04-10 13:58:26"
            "updated_at" => null
            "edition" => Illuminate\Database\Eloquent\Collection {#1059
              #items: array:1 [
                0 => App\Models\Edition {#1066
                  #connection: "mysql"
                  #table: "editions"
                  #primaryKey: "id"
                  #keyType: "int"
                  +incrementing: false
                  #with: []
                  #withCount: []
                  +preventsLazyLoading: false
                  #perPage: 15
                  +exists: true
                  +wasRecentlyCreated: false
                  #escapeWhenCastingToString: false
                  #attributes: array:21 [
                    "id" => 4939
                    "created_at" => "2026-04-10 13:58:26"
                    "updated_at" => null
                    "title" => "Условие РУС"
                    "field_order" => "1"
                    "field_publisher" => Illuminate\Database\Eloquent\Collection {#1064
                      #items: array:1 [
                        0 => App\Models\Term {#1065
                          #connection: "mysql"
                          #table: "terms"
                          #primaryKey: "id"
                          #keyType: "int"
                          +incrementing: false
                          #with: []
                          #withCount: []
                          +preventsLazyLoading: false
                          #perPage: 15
                          +exists: true
                          +wasRecentlyCreated: false
                          #escapeWhenCastingToString: false
                          #attributes: array:6 [ …6]
                          #original: array:6 [ …6]
                          #changes: []
                          #casts: []
                          #classCastCache: []
                          #attributeCastCache: []
                          #dateFormat: null
                          #appends: []
                          #dispatchesEvents: []
                          #observables: []
                          #relations: []
                          #touches: []
                          +timestamps: true
                          +usesUniqueIds: false
                          #hidden: []
                          #visible: []
                          #fillable: []
                          #guarded: array:1 [ …1]
                        }
                      ]
                      #escapeWhenCastingToString: false
                    }
                    "field_content_type" => "free"
                    "field_content_mode" => "image"
                    "field_page_content_mode" => "image"
                    "field_content_text_checked" => "0"
                    "field_page_content_text_checked" => "0"
                    "field_solution_author" => "Автор"
                    "field_moderator" => "filin"
                    "field_edition_type" => "statement"
                    "field_root_dir" => "rus0-"
                    "field_responsible" => Illuminate\Database\Eloquent\Collection {#1062
                      #items: []
                      #escapeWhenCastingToString: false
                    }
                    "field_comment" => null
                    "field_similar_book" => Illuminate\Database\Eloquent\Collection {#1063
                      #items: []
                      #escapeWhenCastingToString: false
                    }
                    "field_process_formula" => "katex"
                    "field_edition_group" => Illuminate\Database\Eloquent\Collection {#1060
                      #items: []
                      #escapeWhenCastingToString: false
                    }
                    "field_content_source" => null
                  ]
                  #original: array:21 [
                    "id" => 4939
                    "created_at" => "2026-04-10 13:58:26"
                    "updated_at" => null
                    "title" => "Условие РУС"
                    "field_order" => "1"
                    "field_publisher" => Illuminate\Database\Eloquent\Collection {#1064}
                    "field_content_type" => "free"
                    "field_content_mode" => "image"
                    "field_page_content_mode" => "image"
                    "field_content_text_checked" => "0"
                    "field_page_content_text_checked" => "0"
                    "field_solution_author" => "Автор"
                    "field_moderator" => "filin"
                    "field_edition_type" => "statement"
                    "field_root_dir" => "rus0-"
                    "field_responsible" => Illuminate\Database\Eloquent\Collection {#1062}
                    "field_comment" => null
                    "field_similar_book" => Illuminate\Database\Eloquent\Collection {#1063}
                    "field_process_formula" => "katex"
                    "field_edition_group" => Illuminate\Database\Eloquent\Collection {#1060}
                    "field_content_source" => null
                  ]
                  #changes: []
                  #casts: []
                  #classCastCache: []
                  #attributeCastCache: []
                  #dateFormat: null
                  #appends: []
                  #dispatchesEvents: []
                  #observables: []
                  #relations: []
                  #touches: []
                  +timestamps: true
                  +usesUniqueIds: false
                  #hidden: []
                  #visible: []
                  #fillable: []
                  #guarded: array:1 [
                    0 => "*"
                  ]
                }
              ]
              #escapeWhenCastingToString: false
            }
            "task" => array:2 [
              "refs" => "1103689"
              "type" => "task"
            ]
            "img" => array:1 [
              0 => array:5 [
                "name" => "488-1.jpg"
                "alt" => null
                "width" => "1498"
                "height" => 213
                "path" => "/media/algebra_08/Abylkasymova/rus0-1/488-1.webp?ts=1752495199"
              ]
            ]
          ]
          #original: array:6 [
            "id" => 1268865
            "created_at" => "2026-04-10 13:58:26"
            "updated_at" => null
            "edition" => Illuminate\Database\Eloquent\Collection {#1059}
            "task" => array:2 [
              "refs" => "1103689"
              "type" => "task"
            ]
            "img" => array:1 [
              0 => array:5 [
                "name" => "488-1.jpg"
                "alt" => null
                "width" => "1498"
                "height" => 213
                "path" => "/media/algebra_08/Abylkasymova/rus0-1/488-1.webp?ts=1752495199"
              ]
            ]
          ]
          #changes: []
          #casts: []
          #classCastCache: []
          #attributeCastCache: []
          #dateFormat: null
          #appends: []
          #dispatchesEvents: []
          #observables: []
          #relations: []
          #touches: []
          +timestamps: true
          +usesUniqueIds: false
          #hidden: []
          #visible: []
          #fillable: []
          #guarded: array:1 [
            0 => "*"
          ]
        }
        1 => App\Models\Element {#1061
          #connection: "mysql"
          #table: "elements"
          #primaryKey: "id"
          #keyType: "int"
          +incrementing: true
          #with: []
          #withCount: []
          +preventsLazyLoading: false
          #perPage: 15
          +exists: true
          +wasRecentlyCreated: false
          #escapeWhenCastingToString: false
          #attributes: array:6 [
            "id" => 1269111
            "created_at" => "2026-04-10 13:58:26"
            "updated_at" => null
            "edition" => Illuminate\Database\Eloquent\Collection {#1013
              #items: array:1 [
                0 => App\Models\Edition {#1058
                  #connection: "mysql"
                  #table: "editions"
                  #primaryKey: "id"
                  #keyType: "int"
                  +incrementing: false
                  #with: []
                  #withCount: []
                  +preventsLazyLoading: false
                  #perPage: 15
                  +exists: true
                  +wasRecentlyCreated: false
                  #escapeWhenCastingToString: false
                  #attributes: array:21 [
                    "id" => 4940
                    "created_at" => "2026-04-10 13:58:26"
                    "updated_at" => null
                    "title" => "Условия КЗ"
                    "field_order" => "2"
                    "field_publisher" => Illuminate\Database\Eloquent\Collection {#1053
                      #items: array:1 [
                        0 => App\Models\Term {#1057
                          #connection: "mysql"
                          #table: "terms"
                          #primaryKey: "id"
                          #keyType: "int"
                          +incrementing: false
                          #with: []
                          #withCount: []
                          +preventsLazyLoading: false
                          #perPage: 15
                          +exists: true
                          +wasRecentlyCreated: false
                          #escapeWhenCastingToString: false
                          #attributes: array:6 [ …6]
                          #original: array:6 [ …6]
                          #changes: []
                          #casts: []
                          #classCastCache: []
                          #attributeCastCache: []
                          #dateFormat: null
                          #appends: []
                          #dispatchesEvents: []
                          #observables: []
                          #relations: []
                          #touches: []
                          +timestamps: true
                          +usesUniqueIds: false
                          #hidden: []
                          #visible: []
                          #fillable: []
                          #guarded: array:1 [ …1]
                        }
                      ]
                      #escapeWhenCastingToString: false
                    }
                    "field_content_type" => "free"
                    "field_content_mode" => "image"
                    "field_page_content_mode" => "image"
                    "field_content_text_checked" => "0"
                    "field_page_content_text_checked" => "0"
                    "field_solution_author" => "Автор"
                    "field_moderator" => "filin"
                    "field_edition_type" => "statement"
                    "field_root_dir" => "kz0-"
                    "field_responsible" => Illuminate\Database\Eloquent\Collection {#1056
                      #items: []
                      #escapeWhenCastingToString: false
                    }
                    "field_comment" => null
                    "field_similar_book" => Illuminate\Database\Eloquent\Collection {#1055
                      #items: []
                      #escapeWhenCastingToString: false
                    }
                    "field_process_formula" => ""
                    "field_edition_group" => Illuminate\Database\Eloquent\Collection {#1054
                      #items: []
                      #escapeWhenCastingToString: false
                    }
                    "field_content_source" => null
                  ]
                  #original: array:21 [
                    "id" => 4940
                    "created_at" => "2026-04-10 13:58:26"
                    "updated_at" => null
                    "title" => "Условия КЗ"
                    "field_order" => "2"
                    "field_publisher" => Illuminate\Database\Eloquent\Collection {#1053}
                    "field_content_type" => "free"
                    "field_content_mode" => "image"
                    "field_page_content_mode" => "image"
                    "field_content_text_checked" => "0"
                    "field_page_content_text_checked" => "0"
                    "field_solution_author" => "Автор"
                    "field_moderator" => "filin"
                    "field_edition_type" => "statement"
                    "field_root_dir" => "kz0-"
                    "field_responsible" => Illuminate\Database\Eloquent\Collection {#1056}
                    "field_comment" => null
                    "field_similar_book" => Illuminate\Database\Eloquent\Collection {#1055}
                    "field_process_formula" => ""
                    "field_edition_group" => Illuminate\Database\Eloquent\Collection {#1054}
                    "field_content_source" => null
                  ]
                  #changes: []
                  #casts: []
                  #classCastCache: []
                  #attributeCastCache: []
                  #dateFormat: null
                  #appends: []
                  #dispatchesEvents: []
                  #observables: []
                  #relations: []
                  #touches: []
                  +timestamps: true
                  +usesUniqueIds: false
                  #hidden: []
                  #visible: []
                  #fillable: []
                  #guarded: array:1 [
                    0 => "*"
                  ]
                }
              ]
              #escapeWhenCastingToString: false
            }
            "task" => array:2 [
              "refs" => "1103689"
              "type" => "task"
            ]
            "img" => array:1 [
              0 => array:5 [
                "name" => "488-1.jpg"
                "alt" => null
                "width" => "1481"
                "height" => 210
                "path" => "/media/algebra_08/Abylkasymova/kz0-1/488-1.webp?ts=1752495227"
              ]
            ]
          ]
          #original: array:6 [
            "id" => 1269111
            "created_at" => "2026-04-10 13:58:26"
            "updated_at" => null
            "edition" => Illuminate\Database\Eloquent\Collection {#1013}
            "task" => array:2 [
              "refs" => "1103689"
              "type" => "task"
            ]
            "img" => array:1 [
              0 => array:5 [
                "name" => "488-1.jpg"
                "alt" => null
                "width" => "1481"
                "height" => 210
                "path" => "/media/algebra_08/Abylkasymova/kz0-1/488-1.webp?ts=1752495227"
              ]
            ]
          ]
          #changes: []
          #casts: []
          #classCastCache: []
          #attributeCastCache: []
          #dateFormat: null
          #appends: []
          #dispatchesEvents: []
          #observables: []
          #relations: []
          #touches: []
          +timestamps: true
          +usesUniqueIds: false
          #hidden: []
          #visible: []
          #fillable: []
          #guarded: array:1 [
            0 => "*"
          ]
        }
        2 => App\Models\Element {#1051
          #connection: "mysql"
          #table: "elements"
          #primaryKey: "id"
          #keyType: "int"
          +incrementing: true
          #with: []
          #withCount: []
          +preventsLazyLoading: false
          #perPage: 15
          +exists: true
          +wasRecentlyCreated: false
          #escapeWhenCastingToString: false
          #attributes: array:6 [
            "id" => 1269948
            "created_at" => "2026-04-10 13:58:26"
            "updated_at" => null
            "edition" => Illuminate\Database\Eloquent\Collection {#1080
              #items: array:1 [
                0 => App\Models\Edition {#1052
                  #connection: "mysql"
                  #table: "editions"
                  #primaryKey: "id"
                  #keyType: "int"
                  +incrementing: false
                  #with: []
                  #withCount: []
                  +preventsLazyLoading: false
                  #perPage: 15
                  +exists: true
                  +wasRecentlyCreated: false
                  #escapeWhenCastingToString: false
                  #attributes: array:21 [
                    "id" => 4941
                    "created_at" => "2026-04-10 13:58:26"
                    "updated_at" => null
                    "title" => "Решение"
                    "field_order" => "3"
                    "field_publisher" => Illuminate\Database\Eloquent\Collection {#1012
                      #items: array:1 [
                        0 => App\Models\Term {#1049
                          #connection: "mysql"
                           …29
                        }
                      ]
                      #escapeWhenCastingToString: false
                    }
                    "field_content_type" => "free"
                    "field_content_mode" => "image"
                    "field_page_content_mode" => ""
                    "field_content_text_checked" => "0"
                    "field_page_content_text_checked" => "0"
                    "field_solution_author" => "Неизвестный"
                    "field_moderator" => "filin"
                    "field_edition_type" => "solution"
                    "field_root_dir" => "1-"
                    "field_responsible" => Illuminate\Database\Eloquent\Collection {#1015
                      #items: []
                      #escapeWhenCastingToString: false
                    }
                    "field_comment" => null
                    "field_similar_book" => Illuminate\Database\Eloquent\Collection {#1006
                      #items: []
                      #escapeWhenCastingToString: false
                    }
                    "field_process_formula" => ""
                    "field_edition_group" => Illuminate\Database\Eloquent\Collection {#1076
                      #items: []
                      #escapeWhenCastingToString: false
                    }
                    "field_content_source" => null
                  ]
                  #original: array:21 [
                    "id" => 4941
                    "created_at" => "2026-04-10 13:58:26"
                    "updated_at" => null
                    "title" => "Решение"
                    "field_order" => "3"
                    "field_publisher" => Illuminate\Database\Eloquent\Collection {#1012}
                    "field_content_type" => "free"
                    "field_content_mode" => "image"
                    "field_page_content_mode" => ""
                    "field_content_text_checked" => "0"
                    "field_page_content_text_checked" => "0"
                    "field_solution_author" => "Неизвестный"
                    "field_moderator" => "filin"
                    "field_edition_type" => "solution"
                    "field_root_dir" => "1-"
                    "field_responsible" => Illuminate\Database\Eloquent\Collection {#1015}
                    "field_comment" => null
                    "field_similar_book" => Illuminate\Database\Eloquent\Collection {#1006}
                    "field_process_formula" => ""
                    "field_edition_group" => Illuminate\Database\Eloquent\Collection {#1076}
                    "field_content_source" => null
                  ]
                  #changes: []
                  #casts: []
                  #classCastCache: []
                  #attributeCastCache: []
                  #dateFormat: null
                  #appends: []
                  #dispatchesEvents: []
                  #observables: []
                  #relations: []
                  #touches: []
                  +timestamps: true
                  +usesUniqueIds: false
                  #hidden: []
                  #visible: []
                  #fillable: []
                  #guarded: array:1 [
                    0 => "*"
                  ]
                }
              ]
              #escapeWhenCastingToString: false
            }
            "task" => array:2 [
              "refs" => "1103689"
              "type" => "task"
            ]
            "img" => array:1 [
              0 => array:5 [
                "name" => "488-1.jpg"
                "alt" => null
                "width" => "1255"
                "height" => 2228
                "path" => "/media/algebra_08/Abylkasymova/1-1/488-1.webp?ts=1752496977"
              ]
            ]
          ]
          #original: array:6 [
            "id" => 1269948
            "created_at" => "2026-04-10 13:58:26"
            "updated_at" => null
            "edition" => Illuminate\Database\Eloquent\Collection {#1080}
            "task" => array:2 [
              "refs" => "1103689"
              "type" => "task"
            ]
            "img" => array:1 [
              0 => array:5 [
                "name" => "488-1.jpg"
                "alt" => null
                "width" => "1255"
                "height" => 2228
                "path" => "/media/algebra_08/Abylkasymova/1-1/488-1.webp?ts=1752496977"
              ]
            ]
          ]
          #changes: []
          #casts: []
          #classCastCache: []
          #attributeCastCache: []
          #dateFormat: null
          #appends: []
          #dispatchesEvents: []
          #observables: []
          #relations: []
          #touches: []
          +timestamps: true
          +usesUniqueIds: false
          #hidden: []
          #visible: []
          #fillable: []
          #guarded: array:1 [
            0 => "*"
          ]
        }
      ]
      #escapeWhenCastingToString: false
    }
    "next" => array:2 [
      "refs" => "1103690"
      "type" => "task"
    ]
    "previous" => array:2 [
      "refs" => "1103688"
      "type" => "task"
    ]
    "book" => Illuminate\Database\Eloquent\Collection {#1070
      #items: array:1 [
        0 => App\Models\Book {#1020}
      ]
      #escapeWhenCastingToString: false
    }
    "page" => Illuminate\Database\Eloquent\Collection {#1072
      #items: array:1 [
        0 => App\Models\BookPage {#1011
          #connection: "mysql"
          #table: "book_pages"
          #primaryKey: "id"
          #keyType: "int"
          +incrementing: true
          #with: []
          #withCount: []
          +preventsLazyLoading: false
          #perPage: 15
          +exists: true
          +wasRecentlyCreated: false
          #escapeWhenCastingToString: false
          #attributes: array:21 [
            "id" => 1096036
            "created_at" => "2026-04-10 13:58:26"
            "updated_at" => null
            "field_page_start" => "135"
            "field_url" => "/8-klass/algebra/kokshetau-soltan-uchebnik/page-135"
            "field_display_title" => "135"
            "field_folder" => "1"
            "field_image_name" => "135"
            "field_branch_parent" => Illuminate\Database\Eloquent\Collection {#1014
              #items: []
              #escapeWhenCastingToString: false
            }
            "field_weight" => "0"
            "field_book_parent" => Illuminate\Database\Eloquent\Collection {#1075
              #items: array:1 [
                0 => App\Models\Book {#1020}
              ]
              #escapeWhenCastingToString: false
            }
            "field_metatags_title" => null
            "field_metatags_description" => null
            "field_h1" => null
            "field_description_top" => null
            "field_description_bottom" => null
            "edition_groups" => Illuminate\Database\Eloquent\Collection {#1084
              #items: []
              #escapeWhenCastingToString: false
            }
            "content" => Illuminate\Database\Eloquent\Collection {#1081
              #items: array:2 [
                0 => App\Models\Element {#1100
                  #connection: "mysql"
                  #table: "elements"
                  #primaryKey: "id"
                  #keyType: "int"
                  +incrementing: true
                  #with: []
                  #withCount: []
                  +preventsLazyLoading: false
                  #perPage: 15
                  +exists: true
                  +wasRecentlyCreated: false
                  #escapeWhenCastingToString: false
                  #attributes: array:6 [
                    "id" => 1259628
                    "created_at" => "2026-04-10 13:58:26"
                    "updated_at" => null
                    "edition" => Illuminate\Database\Eloquent\Collection {#1101
                      #items: array:1 [
                        0 => App\Models\Edition {#1066}
                      ]
                      #escapeWhenCastingToString: false
                    }
                    "book_page" => array:2 [
                      "refs" => "1096036"
                      "type" => "book_page"
                    ]
                    "img" => array:1 [
                      0 => array:5 [
                        "name" => "135-1.jpg"
                        "alt" => null
                        "width" => "2066"
                        "height" => 3032
                        "path" => "/media/algebra_08/Abylkasymova/rus0-1/135-1.webp?ts=1752133344"
                      ]
                    ]
                  ]
                  #original: array:6 [
                    "id" => 1259628
                    "created_at" => "2026-04-10 13:58:26"
                    "updated_at" => null
                    "edition" => Illuminate\Database\Eloquent\Collection {#1101}
                    "book_page" => array:2 [
                      "refs" => "1096036"
                      "type" => "book_page"
                    ]
                    "img" => array:1 [
                      0 => array:5 [
                        "name" => "135-1.jpg"
                        "alt" => null
                        "width" => "2066"
                        "height" => 3032
                        "path" => "/media/algebra_08/Abylkasymova/rus0-1/135-1.webp?ts=1752133344"
                      ]
                    ]
                  ]
                  #changes: []
                  #casts: []
                  #classCastCache: []
                  #attributeCastCache: []
                  #dateFormat: null
                  #appends: []
                  #dispatchesEvents: []
                  #observables: []
                  #relations: []
                  #touches: []
                  +timestamps: true
                  +usesUniqueIds: false
                  #hidden: []
                  #visible: []
                  #fillable: []
                  #guarded: array:1 [
                    0 => "*"
                  ]
                }
                1 => App\Models\Element {#1102
                  #connection: "mysql"
                  #table: "elements"
                  #primaryKey: "id"
                  #keyType: "int"
                  +incrementing: true
                  #with: []
                  #withCount: []
                  +preventsLazyLoading: false
                  #perPage: 15
                  +exists: true
                  +wasRecentlyCreated: false
                  #escapeWhenCastingToString: false
                  #attributes: array:6 [
                    "id" => 1259659
                    "created_at" => "2026-04-10 13:58:26"
                    "updated_at" => null
                    "edition" => Illuminate\Database\Eloquent\Collection {#1103
                      #items: array:1 [
                        0 => App\Models\Edition {#1058}
                      ]
                      #escapeWhenCastingToString: false
                    }
                    "book_page" => array:2 [
                      "refs" => "1096036"
                      "type" => "book_page"
                    ]
                    "img" => array:1 [
                      0 => array:5 [
                        "name" => "135-1.jpg"
                        "alt" => null
                        "width" => "2009"
                        "height" => 2972
                        "path" => "/media/algebra_08/Abylkasymova/kz0-1/135-1.webp?ts=1752133347"
                      ]
                    ]
                  ]
                  #original: array:6 [
                    "id" => 1259659
                    "created_at" => "2026-04-10 13:58:26"
                    "updated_at" => null
                    "edition" => Illuminate\Database\Eloquent\Collection {#1103}
                    "book_page" => array:2 [
                      "refs" => "1096036"
                      "type" => "book_page"
                    ]
                    "img" => array:1 [
                      0 => array:5 [
                        "name" => "135-1.jpg"
                        "alt" => null
                        "width" => "2009"
                        "height" => 2972
                        "path" => "/media/algebra_08/Abylkasymova/kz0-1/135-1.webp?ts=1752133347"
                      ]
                    ]
                  ]
                  #changes: []
                  #casts: []
                  #classCastCache: []
                  #attributeCastCache: []
                  #dateFormat: null
                  #appends: []
                  #dispatchesEvents: []
                  #observables: []
                  #relations: []
                  #touches: []
                  +timestamps: true
                  +usesUniqueIds: false
                  #hidden: []
                  #visible: []
                  #fillable: []
                  #guarded: array:1 [
                    0 => "*"
                  ]
                }
              ]
              #escapeWhenCastingToString: false
            }
            "next" => array:2 [
              "refs" => "1096037"
              "type" => "book_page"
            ]
            "previous" => array:2 [
              "refs" => "1096035"
              "type" => "book_page"
            ]
            "tasks" => Illuminate\Database\Eloquent\Collection {#1170
              #items: array:6 [
                0 => App\Models\Task {#1182
                  #connection: "mysql"
                  #table: "tasks"
                  #primaryKey: "id"
                  #keyType: "int"
                  +incrementing: true
                  #with: []
                  #withCount: []
                  +preventsLazyLoading: false
                  #perPage: 15
                  +exists: true
                  +wasRecentlyCreated: false
                  #escapeWhenCastingToString: false
                  #attributes: array:24 [
                    "id" => 1103688
                    "created_at" => "2026-04-10 13:58:26"
                    "updated_at" => null
                    "field_page_start" => "135"
                    "field_page_end" => null
                    "field_url" => "/8-klass/algebra/kokshetau-soltan-uchebnik/1-487"
                    "field_display_title" => "487"
                    "field_outside_task" => null
                    "field_task_type" => Illuminate\Database\Eloquent\Collection {#1183
                      #items: array:1 [
                        0 => App\Models\Term {#1008}
                      ]
                      #escapeWhenCastingToString: false
                    }
                    "field_metatags_title" => null
                    "field_metatags_description" => null
                    "field_h1" => null
                    "field_description_top" => null
                    "field_description_bottom" => null
                    "field_match" => null
                    "breadcrumbs" => []
                    "edition_groups" => Illuminate\Database\Eloquent\Collection {#1184
                      #items: []
                      #escapeWhenCastingToString: false
                    }
                    "top_parent_branch" => Illuminate\Database\Eloquent\Collection {#1185
                      #items: array:1 [
                        0 => App\Models\Branch {#1085}
                      ]
                      #escapeWhenCastingToString: false
                    }
                    "parent_branches" => Illuminate\Database\Eloquent\Collection {#1186
                      #items: array:2 [
                        0 => App\Models\Branch {#1085}
                        1 => App\Models\Branch {#1089}
                      ]
                      #escapeWhenCastingToString: false
                    }
                    "content" => Illuminate\Database\Eloquent\Collection {#1189
                      #items: array:3 [
                        0 => App\Models\Element {#1198 …30}
                        1 => App\Models\Element {#1200 …30}
                        2 => App\Models\Element {#1202 …30}
                      ]
                      #escapeWhenCastingToString: false
                    }
                    "next" => array:2 [
                      "refs" => "1103689"
                      "type" => "task"
                    ]
                    "previous" => array:2 [
                      "refs" => "1103687"
                      "type" => "task"
                    ]
                    "book" => Illuminate\Database\Eloquent\Collection {#1195
                      #items: array:1 [
                        0 => App\Models\Book {#1020}
                      ]
                      #escapeWhenCastingToString: false
                    }
                    "page" => array:2 [
                      "refs" => "1096036"
                      "type" => "book_page"
                    ]
                  ]
                  #original: array:24 [
                    "id" => 1103688
                    "created_at" => "2026-04-10 13:58:26"
                    "updated_at" => null
                    "field_page_start" => "135"
                    "field_page_end" => null
                    "field_url" => "/8-klass/algebra/kokshetau-soltan-uchebnik/1-487"
                    "field_display_title" => "487"
                    "field_outside_task" => null
                    "field_task_type" => Illuminate\Database\Eloquent\Collection {#1183}
                    "field_metatags_title" => null
                    "field_metatags_description" => null
                    "field_h1" => null
                    "field_description_top" => null
                    "field_description_bottom" => null
                    "field_match" => null
                    "breadcrumbs" => []
                    "edition_groups" => Illuminate\Database\Eloquent\Collection {#1184}
                    "top_parent_branch" => Illuminate\Database\Eloquent\Collection {#1185}
                    "parent_branches" => Illuminate\Database\Eloquent\Collection {#1186}
                    "content" => Illuminate\Database\Eloquent\Collection {#1189}
                    "next" => array:2 [
                      "refs" => "1103689"
                      "type" => "task"
                    ]
                    "previous" => array:2 [
                      "refs" => "1103687"
                      "type" => "task"
                    ]
                    "book" => Illuminate\Database\Eloquent\Collection {#1195}
                    "page" => array:2 [
                      "refs" => "1096036"
                      "type" => "book_page"
                    ]
                  ]
                  #changes: []
                  #casts: []
                  #classCastCache: []
                  #attributeCastCache: []
                  #dateFormat: null
                  #appends: []
                  #dispatchesEvents: []
                  #observables: []
                  #relations: []
                  #touches: []
                  +timestamps: true
                  +usesUniqueIds: false
                  #hidden: []
                  #visible: []
                  #fillable: []
                  #guarded: array:1 [
                    0 => "*"
                  ]
                }
                1 => App\Models\Task {#1188
                  #connection: "mysql"
                  #table: "tasks"
                  #primaryKey: "id"
                  #keyType: "int"
                  +incrementing: true
                  #with: []
                  #withCount: []
                  +preventsLazyLoading: false
                  #perPage: 15
                  +exists: true
                  +wasRecentlyCreated: false
                  #escapeWhenCastingToString: false
                  #attributes: array:24 [
                    "id" => 1103689
                    "created_at" => "2026-04-10 13:58:26"
                    "updated_at" => null
                    "field_page_start" => "135"
                    "field_page_end" => null
                    "field_url" => "/8-klass/algebra/kokshetau-soltan-uchebnik/1-488"
                    "field_display_title" => "488"
                    "field_outside_task" => null
                    "field_task_type" => Illuminate\Database\Eloquent\Collection {#1187
                      #items: array:1 [
                        0 => App\Models\Term {#1008}
                      ]
                      #escapeWhenCastingToString: false
                    }
                    "field_metatags_title" => null
                    "field_metatags_description" => null
                    "field_h1" => null
                    "field_description_top" => null
                    "field_description_bottom" => null
                    "field_match" => null
                    "breadcrumbs" => []
                    "edition_groups" => Illuminate\Database\Eloquent\Collection {#1194
                      #items: []
                      #escapeWhenCastingToString: false
                    }
                    "top_parent_branch" => Illuminate\Database\Eloquent\Collection {#1196
                      #items: array:1 [
                        0 => App\Models\Branch {#1085}
                      ]
                      #escapeWhenCastingToString: false
                    }
                    "parent_branches" => Illuminate\Database\Eloquent\Collection {#1192
                      #items: array:2 [
                        0 => App\Models\Branch {#1085}
                        1 => App\Models\Branch {#1089}
                      ]
                      #escapeWhenCastingToString: false
                    }
                    "content" => Illuminate\Database\Eloquent\Collection {#1190
                      #items: array:3 [
                        0 => App\Models\Element {#1067}
                        1 => App\Models\Element {#1061}
                        2 => App\Models\Element {#1051}
                      ]
                      #escapeWhenCastingToString: false
                    }
                    "next" => array:2 [
                      "refs" => "1103690"
                      "type" => "task"
                    ]
                    "previous" => array:2 [
                      "refs" => "1103688"
                      "type" => "task"
                    ]
                    "book" => Illuminate\Database\Eloquent\Collection {#1193
                      #items: array:1 [
                        0 => App\Models\Book {#1020}
                      ]
                      #escapeWhenCastingToString: false
                    }
                    "page" => array:2 [
                      "refs" => "1096036"
                      "type" => "book_page"
                    ]
                  ]
                  #original: array:24 [
                    "id" => 1103689
                    "created_at" => "2026-04-10 13:58:26"
                    "updated_at" => null
                    "field_page_start" => "135"
                    "field_page_end" => null
                    "field_url" => "/8-klass/algebra/kokshetau-soltan-uchebnik/1-488"
                    "field_display_title" => "488"
                    "field_outside_task" => null
                    "field_task_type" => Illuminate\Database\Eloquent\Collection {#1187}
                    "field_metatags_title" => null
                    "field_metatags_description" => null
                    "field_h1" => null
                    "field_description_top" => null
                    "field_description_bottom" => null
                    "field_match" => null
                    "breadcrumbs" => []
                    "edition_groups" => Illuminate\Database\Eloquent\Collection {#1194}
                    "top_parent_branch" => Illuminate\Database\Eloquent\Collection {#1196}
                    "parent_branches" => Illuminate\Database\Eloquent\Collection {#1192}
                    "content" => Illuminate\Database\Eloquent\Collection {#1190}
                    "next" => array:2 [
                      "refs" => "1103690"
                      "type" => "task"
                    ]
                    "previous" => array:2 [
                      "refs" => "1103688"
                      "type" => "task"
                    ]
                    "book" => Illuminate\Database\Eloquent\Collection {#1193}
                    "page" => array:2 [
                      "refs" => "1096036"
                      "type" => "book_page"
                    ]
                  ]
                  #changes: []
                  #casts: []
                  #classCastCache: []
                  #attributeCastCache: []
                  #dateFormat: null
                  #appends: []
                  #dispatchesEvents: []
                  #observables: []
                  #relations: []
                  #touches: []
                  +timestamps: true
                  +usesUniqueIds: false
                  #hidden: []
                  #visible: []
                  #fillable: []
                  #guarded: array:1 [
                    0 => "*"
                  ]
                }
                2 => App\Models\Task {#1191
                  #connection: "mysql"
                  #table: "tasks"
                  #primaryKey: "id"
                  #keyType: "int"
                  +incrementing: true
                  #with: []
                  #withCount: []
                  +preventsLazyLoading: false
                  #perPage: 15
                  +exists: true
                  +wasRecentlyCreated: false
                  #escapeWhenCastingToString: false
                  #attributes: array:24 [
                    "id" => 1103690
                    "created_at" => "2026-04-10 13:58:26"
                    "updated_at" => null
                    "field_page_start" => "135"
                    "field_page_end" => null
                    "field_url" => "/8-klass/algebra/kokshetau-soltan-uchebnik/1-489"
                    "field_display_title" => "489"
                    "field_outside_task" => null
                    "field_task_type" => Illuminate\Database\Eloquent\Collection {#1204
                      #items: array:1 [
                        0 => App\Models\Term {#1008}
                      ]
                      #escapeWhenCastingToString: false
                    }
                    "field_metatags_title" => null
                    "field_metatags_description" => null
                    "field_h1" => null
                    "field_description_top" => null
                    "field_description_bottom" => null
                    "field_match" => null
                    "breadcrumbs" => []
                    "edition_groups" => Illuminate\Database\Eloquent\Collection {#1205
                      #items: []
                      #escapeWhenCastingToString: false
                    }
                    "top_parent_branch" => Illuminate\Database\Eloquent\Collection {#1206
                      #items: array:1 [
                        0 => App\Models\Branch {#1085}
                      ]
                      #escapeWhenCastingToString: false
                    }
                    "parent_branches" => Illuminate\Database\Eloquent\Collection {#1207
                      #items: array:2 [
                        0 => App\Models\Branch {#1085}
                        1 => App\Models\Branch {#1089}
                      ]
                      #escapeWhenCastingToString: false
                    }
                    "content" => Illuminate\Database\Eloquent\Collection {#1210
                      #items: array:3 [
                        0 => App\Models\Element {#1219 …30}
                        1 => App\Models\Element {#1221 …30}
                        2 => App\Models\Element {#1223 …30}
                      ]
                      #escapeWhenCastingToString: false
                    }
                    "next" => array:2 [
                      "refs" => "1103691"
                      "type" => "task"
                    ]
                    "previous" => array:2 [
                      "refs" => "1103689"
                      "type" => "task"
                    ]
                    "book" => Illuminate\Database\Eloquent\Collection {#1216
                      #items: array:1 [
                        0 => App\Models\Book {#1020}
                      ]
                      #escapeWhenCastingToString: false
                    }
                    "page" => array:2 [
                      "refs" => "1096036"
                      "type" => "book_page"
                    ]
                  ]
                  #original: array:24 [
                    "id" => 1103690
                    "created_at" => "2026-04-10 13:58:26"
                    "updated_at" => null
                    "field_page_start" => "135"
                    "field_page_end" => null
                    "field_url" => "/8-klass/algebra/kokshetau-soltan-uchebnik/1-489"
                    "field_display_title" => "489"
                    "field_outside_task" => null
                    "field_task_type" => Illuminate\Database\Eloquent\Collection {#1204}
                    "field_metatags_title" => null
                    "field_metatags_description" => null
                    "field_h1" => null
                    "field_description_top" => null
                    "field_description_bottom" => null
                    "field_match" => null
                    "breadcrumbs" => []
                    "edition_groups" => Illuminate\Database\Eloquent\Collection {#1205}
                    "top_parent_branch" => Illuminate\Database\Eloquent\Collection {#1206}
                    "parent_branches" => Illuminate\Database\Eloquent\Collection {#1207}
                    "content" => Illuminate\Database\Eloquent\Collection {#1210}
                    "next" => array:2 [
                      "refs" => "1103691"
                      "type" => "task"
                    ]
                    "previous" => array:2 [
                      "refs" => "1103689"
                      "type" => "task"
                    ]
                    "book" => Illuminate\Database\Eloquent\Collection {#1216}
                    "page" => array:2 [
                      "refs" => "1096036"
                      "type" => "book_page"
                    ]
                  ]
                  #changes: []
                  #casts: []
                  #classCastCache: []
                  #attributeCastCache: []
                  #dateFormat: null
                  #appends: []
                  #dispatchesEvents: []
                  #observables: []
                  #relations: []
                  #touches: []
                  +timestamps: true
                  +usesUniqueIds: false
                  #hidden: []
                  #visible: []
                  #fillable: []
                  #guarded: array:1 [
                    0 => "*"
                  ]
                }
                3 => App\Models\Task {#1209
                  #connection: "mysql"
                  #table: "tasks"
                  #primaryKey: "id"
                  #keyType: "int"
                  +incrementing: true
                  #with: []
                  #withCount: []
                  +preventsLazyLoading: false
                  #perPage: 15
                  +exists: true
                  +wasRecentlyCreated: false
                  #escapeWhenCastingToString: false
                  #attributes: array:24 [
                    "id" => 1103691
                    "created_at" => "2026-04-10 13:58:26"
                    "updated_at" => null
                    "field_page_start" => "135"
                    "field_page_end" => null
                    "field_url" => "/8-klass/algebra/kokshetau-soltan-uchebnik/1-490"
                    "field_display_title" => "490"
                    "field_outside_task" => null
                    "field_task_type" => Illuminate\Database\Eloquent\Collection {#1208
                      #items: array:1 [
                        0 => App\Models\Term {#1008}
                      ]
                      #escapeWhenCastingToString: false
                    }
                    "field_metatags_title" => null
                    "field_metatags_description" => null
                    "field_h1" => null
                    "field_description_top" => null
                    "field_description_bottom" => null
                    "field_match" => null
                    "breadcrumbs" => []
                    "edition_groups" => Illuminate\Database\Eloquent\Collection {#1215
                      #items: []
                      #escapeWhenCastingToString: false
                    }
                    "top_parent_branch" => Illuminate\Database\Eloquent\Collection {#1217
                      #items: array:1 [
                        0 => App\Models\Branch {#1085}
                      ]
                      #escapeWhenCastingToString: false
                    }
                    "parent_branches" => Illuminate\Database\Eloquent\Collection {#1213
                      #items: array:2 [
                        0 => App\Models\Branch {#1085}
                        1 => App\Models\Branch {#1089}
                      ]
                      #escapeWhenCastingToString: false
                    }
                    "content" => Illuminate\Database\Eloquent\Collection {#1212
                      #items: array:3 [
                        0 => App\Models\Element {#1233 …30}
                        1 => App\Models\Element {#1235 …30}
                        2 => App\Models\Element {#1237 …30}
                      ]
                      #escapeWhenCastingToString: false
                    }
                    "next" => array:2 [
                      "refs" => "1103692"
                      "type" => "task"
                    ]
                    "previous" => array:2 [
                      "refs" => "1103690"
                      "type" => "task"
                    ]
                    "book" => Illuminate\Database\Eloquent\Collection {#1230
                      #items: array:1 [
                        0 => App\Models\Book {#1020}
                      ]
                      #escapeWhenCastingToString: false
                    }
                    "page" => array:2 [
                      "refs" => "1096036"
                      "type" => "book_page"
                    ]
                  ]
                  #original: array:24 [
                    "id" => 1103691
                    "created_at" => "2026-04-10 13:58:26"
                    "updated_at" => null
                    "field_page_start" => "135"
                    "field_page_end" => null
                    "field_url" => "/8-klass/algebra/kokshetau-soltan-uchebnik/1-490"
                    "field_display_title" => "490"
                    "field_outside_task" => null
                    "field_task_type" => Illuminate\Database\Eloquent\Collection {#1208}
                    "field_metatags_title" => null
                    "field_metatags_description" => null
                    "field_h1" => null
                    "field_description_top" => null
                    "field_description_bottom" => null
                    "field_match" => null
                    "breadcrumbs" => []
                    "edition_groups" => Illuminate\Database\Eloquent\Collection {#1215}
                    "top_parent_branch" => Illuminate\Database\Eloquent\Collection {#1217}
                    "parent_branches" => Illuminate\Database\Eloquent\Collection {#1213}
                    "content" => Illuminate\Database\Eloquent\Collection {#1212}
                    "next" => array:2 [
                      "refs" => "1103692"
                      "type" => "task"
                    ]
                    "previous" => array:2 [
                      "refs" => "1103690"
                      "type" => "task"
                    ]
                    "book" => Illuminate\Database\Eloquent\Collection {#1230}
                    "page" => array:2 [
                      "refs" => "1096036"
                      "type" => "book_page"
                    ]
                  ]
                  #changes: []
                  #casts: []
                  #classCastCache: []
                  #attributeCastCache: []
                  #dateFormat: null
                  #appends: []
                  #dispatchesEvents: []
                  #observables: []
                  #relations: []
                  #touches: []
                  +timestamps: true
                  +usesUniqueIds: false
                  #hidden: []
                  #visible: []
                  #fillable: []
                  #guarded: array:1 [
                    0 => "*"
                  ]
                }
                4 => App\Models\Task {#1214
                  #connection: "mysql"
                  #table: "tasks"
                  #primaryKey: "id"
                  #keyType: "int"
                  +incrementing: true
                  #with: []
                  #withCount: []
                  +preventsLazyLoading: false
                  #perPage: 15
                  +exists: true
                  +wasRecentlyCreated: false
                  #escapeWhenCastingToString: false
                  #attributes: array:24 [
                    "id" => 1103692
                    "created_at" => "2026-04-10 13:58:26"
                    "updated_at" => null
                    "field_page_start" => "135"
                    "field_page_end" => null
                    "field_url" => "/8-klass/algebra/kokshetau-soltan-uchebnik/1-491"
                    "field_display_title" => "491"
                    "field_outside_task" => null
                    "field_task_type" => Illuminate\Database\Eloquent\Collection {#1211
                      #items: array:1 [
                        0 => App\Models\Term {#1008}
                      ]
                      #escapeWhenCastingToString: false
                    }
                    "field_metatags_title" => null
                    "field_metatags_description" => null
                    "field_h1" => null
                    "field_description_top" => null
                    "field_description_bottom" => null
                    "field_match" => null
                    "breadcrumbs" => []
                    "edition_groups" => Illuminate\Database\Eloquent\Collection {#1229
                      #items: []
                      #escapeWhenCastingToString: false
                    }
                    "top_parent_branch" => Illuminate\Database\Eloquent\Collection {#1231
                      #items: array:1 [
                        0 => App\Models\Branch {#1085}
                      ]
                      #escapeWhenCastingToString: false
                    }
                    "parent_branches" => Illuminate\Database\Eloquent\Collection {#1227
                      #items: array:2 [
                        0 => App\Models\Branch {#1085}
                        1 => App\Models\Branch {#1089}
                      ]
                      #escapeWhenCastingToString: false
                    }
                    "content" => Illuminate\Database\Eloquent\Collection {#1226
                      #items: array:3 [
                        0 => App\Models\Element {#1247 …30}
                        1 => App\Models\Element {#1249 …30}
                        2 => App\Models\Element {#1251 …30}
                      ]
                      #escapeWhenCastingToString: false
                    }
                    "next" => array:2 [
                      "refs" => "1103693"
                      "type" => "task"
                    ]
                    "previous" => array:2 [
                      "refs" => "1103691"
                      "type" => "task"
                    ]
                    "book" => Illuminate\Database\Eloquent\Collection {#1244
                      #items: array:1 [
                        0 => App\Models\Book {#1020}
                      ]
                      #escapeWhenCastingToString: false
                    }
                    "page" => array:2 [
                      "refs" => "1096036"
                      "type" => "book_page"
                    ]
                  ]
                  #original: array:24 [
                    "id" => 1103692
                    "created_at" => "2026-04-10 13:58:26"
                    "updated_at" => null
                    "field_page_start" => "135"
                    "field_page_end" => null
                    "field_url" => "/8-klass/algebra/kokshetau-soltan-uchebnik/1-491"
                    "field_display_title" => "491"
                    "field_outside_task" => null
                    "field_task_type" => Illuminate\Database\Eloquent\Collection {#1211}
                    "field_metatags_title" => null
                    "field_metatags_description" => null
                    "field_h1" => null
                    "field_description_top" => null
                    "field_description_bottom" => null
                    "field_match" => null
                    "breadcrumbs" => []
                    "edition_groups" => Illuminate\Database\Eloquent\Collection {#1229}
                    "top_parent_branch" => Illuminate\Database\Eloquent\Collection {#1231}
                    "parent_branches" => Illuminate\Database\Eloquent\Collection {#1227}
                    "content" => Illuminate\Database\Eloquent\Collection {#1226}
                    "next" => array:2 [
                      "refs" => "1103693"
                      "type" => "task"
                    ]
                    "previous" => array:2 [
                      "refs" => "1103691"
                      "type" => "task"
                    ]
                    "book" => Illuminate\Database\Eloquent\Collection {#1244}
                    "page" => array:2 [
                      "refs" => "1096036"
                      "type" => "book_page"
                    ]
                  ]
                  #changes: []
                  #casts: []
                  #classCastCache: []
                  #attributeCastCache: []
                  #dateFormat: null
                  #appends: []
                  #dispatchesEvents: []
                  #observables: []
                  #relations: []
                  #touches: []
                  +timestamps: true
                  +usesUniqueIds: false
                  #hidden: []
                  #visible: []
                  #fillable: []
                  #guarded: array:1 [
                    0 => "*"
                  ]
                }
                5 => App\Models\Task {#1228
                  #connection: "mysql"
                  #table: "tasks"
                  #primaryKey: "id"
                  #keyType: "int"
                  +incrementing: true
                  #with: []
                  #withCount: []
                  +preventsLazyLoading: false
                  #perPage: 15
                  +exists: true
                  +wasRecentlyCreated: false
                  #escapeWhenCastingToString: false
                  #attributes: array:24 [
                    "id" => 1103693
                    "created_at" => "2026-04-10 13:58:26"
                    "updated_at" => null
                    "field_page_start" => "135"
                    "field_page_end" => null
                    "field_url" => "/8-klass/algebra/kokshetau-soltan-uchebnik/1-492"
                    "field_display_title" => "492"
                    "field_outside_task" => null
                    "field_task_type" => Illuminate\Database\Eloquent\Collection {#1225
                      #items: array:1 [
                        0 => App\Models\Term {#1008}
                      ]
                      #escapeWhenCastingToString: false
                    }
                    "field_metatags_title" => null
                    "field_metatags_description" => null
                    "field_h1" => null
                    "field_description_top" => null
                    "field_description_bottom" => null
                    "field_match" => null
                    "breadcrumbs" => []
                    "edition_groups" => Illuminate\Database\Eloquent\Collection {#1243
                      #items: []
                      #escapeWhenCastingToString: false
                    }
                    "top_parent_branch" => Illuminate\Database\Eloquent\Collection {#1245
                      #items: array:1 [
                        0 => App\Models\Branch {#1085}
                      ]
                      #escapeWhenCastingToString: false
                    }
                    "parent_branches" => Illuminate\Database\Eloquent\Collection {#1241
                      #items: array:2 [
                        0 => App\Models\Branch {#1085}
                        1 => App\Models\Branch {#1089}
                      ]
                      #escapeWhenCastingToString: false
                    }
                    "content" => Illuminate\Database\Eloquent\Collection {#1240
                      #items: array:3 [
                        0 => App\Models\Element {#1261 …30}
                        1 => App\Models\Element {#1263 …30}
                        2 => App\Models\Element {#1265 …30}
                      ]
                      #escapeWhenCastingToString: false
                    }
                    "next" => array:2 [
                      "refs" => "1103694"
                      "type" => "task"
                    ]
                    "previous" => array:2 [
                      "refs" => "1103692"
                      "type" => "task"
                    ]
                    "book" => Illuminate\Database\Eloquent\Collection {#1258
                      #items: array:1 [
                        0 => App\Models\Book {#1020}
                      ]
                      #escapeWhenCastingToString: false
                    }
                    "page" => array:2 [
                      "refs" => "1096036"
                      "type" => "book_page"
                    ]
                  ]
                  #original: array:24 [
                    "id" => 1103693
                    "created_at" => "2026-04-10 13:58:26"
                    "updated_at" => null
                    "field_page_start" => "135"
                    "field_page_end" => null
                    "field_url" => "/8-klass/algebra/kokshetau-soltan-uchebnik/1-492"
                    "field_display_title" => "492"
                    "field_outside_task" => null
                    "field_task_type" => Illuminate\Database\Eloquent\Collection {#1225}
                    "field_metatags_title" => null
                    "field_metatags_description" => null
                    "field_h1" => null
                    "field_description_top" => null
                    "field_description_bottom" => null
                    "field_match" => null
                    "breadcrumbs" => []
                    "edition_groups" => Illuminate\Database\Eloquent\Collection {#1243}
                    "top_parent_branch" => Illuminate\Database\Eloquent\Collection {#1245}
                    "parent_branches" => Illuminate\Database\Eloquent\Collection {#1241}
                    "content" => Illuminate\Database\Eloquent\Collection {#1240}
                    "next" => array:2 [
                      "refs" => "1103694"
                      "type" => "task"
                    ]
                    "previous" => array:2 [
                      "refs" => "1103692"
                      "type" => "task"
                    ]
                    "book" => Illuminate\Database\Eloquent\Collection {#1258}
                    "page" => array:2 [
                      "refs" => "1096036"
                      "type" => "book_page"
                    ]
                  ]
                  #changes: []
                  #casts: []
                  #classCastCache: []
                  #attributeCastCache: []
                  #dateFormat: null
                  #appends: []
                  #dispatchesEvents: []
                  #observables: []
                  #relations: []
                  #touches: []
                  +timestamps: true
                  +usesUniqueIds: false
                  #hidden: []
                  #visible: []
                  #fillable: []
                  #guarded: array:1 [
                    0 => "*"
                  ]
                }
              ]
              #escapeWhenCastingToString: false
            }
          ]
          #original: array:21 [
            "id" => 1096036
            "created_at" => "2026-04-10 13:58:26"
            "updated_at" => null
            "field_page_start" => "135"
            "field_url" => "/8-klass/algebra/kokshetau-soltan-uchebnik/page-135"
            "field_display_title" => "135"
            "field_folder" => "1"
            "field_image_name" => "135"
            "field_branch_parent" => Illuminate\Database\Eloquent\Collection {#1014}
            "field_weight" => "0"
            "field_book_parent" => Illuminate\Database\Eloquent\Collection {#1075}
            "field_metatags_title" => null
            "field_metatags_description" => null
            "field_h1" => null
            "field_description_top" => null
            "field_description_bottom" => null
            "edition_groups" => Illuminate\Database\Eloquent\Collection {#1084}
            "content" => Illuminate\Database\Eloquent\Collection {#1081}
            "next" => array:2 [
              "refs" => "1096037"
              "type" => "book_page"
            ]
            "previous" => array:2 [
              "refs" => "1096035"
              "type" => "book_page"
            ]
            "tasks" => Illuminate\Database\Eloquent\Collection {#1170}
          ]
          #changes: []
          #casts: []
          #classCastCache: []
          #attributeCastCache: []
          #dateFormat: null
          #appends: []
          #dispatchesEvents: []
          #observables: []
          #relations: []
          #touches: []
          +timestamps: true
          +usesUniqueIds: false
          #hidden: []
          #visible: []
          #fillable: []
          #guarded: array:1 [
            0 => "*"
          ]
        }
      ]
      #escapeWhenCastingToString: false
    }
  ]
  #original: array:24 [
    "id" => 1103689
    "created_at" => "2026-04-10 13:58:26"
    "updated_at" => null
    "field_page_start" => "135"
    "field_page_end" => null
    "field_url" => "/8-klass/algebra/kokshetau-soltan-uchebnik/1-488"
    "field_display_title" => "488"
    "field_outside_task" => null
    "field_task_type" => Illuminate\Database\Eloquent\Collection {#1009}
    "field_metatags_title" => null
    "field_metatags_description" => null
    "field_h1" => null
    "field_description_top" => null
    "field_description_bottom" => null
    "field_match" => null
    "breadcrumbs" => []
    "edition_groups" => Illuminate\Database\Eloquent\Collection {#1007}
    "top_parent_branch" => Illuminate\Database\Eloquent\Collection {#1018}
    "parent_branches" => Illuminate\Database\Eloquent\Collection {#1077}
    "content" => Illuminate\Database\Eloquent\Collection {#1074}
    "next" => array:2 [
      "refs" => "1103690"
      "type" => "task"
    ]
    "previous" => array:2 [
      "refs" => "1103688"
      "type" => "task"
    ]
    "book" => Illuminate\Database\Eloquent\Collection {#1070}
    "page" => array:2 [
      "refs" => "1096036"
      "type" => "book_page"
    ]
  ]
  #changes: []
  #casts: []
  #classCastCache: []
  #attributeCastCache: []
  #dateFormat: null
  #appends: []
  #dispatchesEvents: []
  #observables: []
  #relations: []
  #touches: []
  +timestamps: true
  +usesUniqueIds: false
  #hidden: []
  #visible: []
  #fillable: []
  #guarded: array:1 [
    0 => "*"
  ]
}
№488 (с. 135)
Условие РУС. №488 (с. 135)
Алгебра, 8 класс Учебник, авторы: Солтан Генадий Николаевич, Солтан Алла Евгеньевна, Жумадилова Аманбала Жумадиловна, издательство Кокшетау, Алматы, 2018, страница 135, номер 488, Условие РУС
Условия КЗ. №488 (с. 135)
Алгебра, 8 класс Учебник, авторы: Солтан Генадий Николаевич, Солтан Алла Евгеньевна, Жумадилова Аманбала Жумадиловна, издательство Кокшетау, Алматы, 2018, страница 135, номер 488, Условия КЗ
Решение. №488 (с. 135)
Алгебра, 8 класс Учебник, авторы: Солтан Генадий Николаевич, Солтан Алла Евгеньевна, Жумадилова Аманбала Жумадиловна, издательство Кокшетау, Алматы, 2018, страница 135, номер 488, Решение

Помогло решение? Оставьте отзыв в комментариях ниже.

Присоединяйтесь к Телеграм-группе @top_gdz

Присоединиться

Мы подготовили для вас ответ c подробным объяснением домашего задания по алгебре за 8 класс, для упражнения номер 488 расположенного на странице 135 к учебнику 2018 года издания для учащихся школ и гимназий.

Теперь на нашем сайте ГДЗ.ТОП вы всегда легко и бесплатно найдёте условие с правильным ответом на вопрос «Как решить ДЗ» и «Как сделать» задание по алгебре к упражнению №488 (с. 135), авторов: Солтан (Генадий Николаевич), Солтан (Алла Евгеньевна), Жумадилова (Аманбала Жумадиловна), учебного пособия издательства Кокшетау.