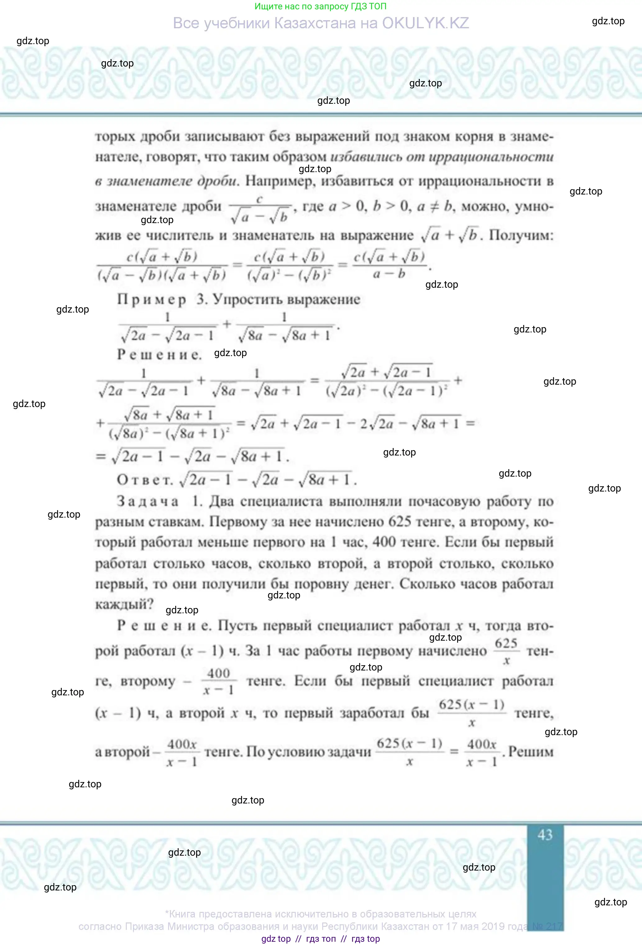
Страница 43 - гдз по алгебре 8 класс учебник Солтан, Солтан

Алгебра, 8 класс Учебник, авторы: Солтан Генадий Николаевич, Солтан Алла Евгеньевна, Жумадилова Аманбала Жумадиловна, издательство Кокшетау, Алматы, 2018 Алгебра, 8 класс Учебник, авторы: Солтан Генадий Николаевич, Солтан Алла Евгеньевна, Жумадилова Аманбала Жумадиловна, издательство Кокшетау, Алматы, 2018

Авторы: Солтан Г. Н., Солтан А. Е., Жумадилова А. Ж.

Тип: Учебник

Издательство: Кокшетау

Год издания: 2018 - 2026

ISBN: 978-601-317-332-0

Утверждено Министерством образования и науки Республики Казахстан

Cтраница 43

App\Models\BookPage {#1003 // resources/views/models/book_page/default.blade.php
  #connection: "mysql"
  #table: "book_pages"
  #primaryKey: "id"
  #keyType: "int"
  +incrementing: true
  #with: []
  #withCount: []
  +preventsLazyLoading: false
  #perPage: 15
  +exists: true
  +wasRecentlyCreated: false
  #escapeWhenCastingToString: false
  #attributes: array:21 [
    "id" => 1095944
    "created_at" => "2026-04-10 13:58:26"
    "updated_at" => null
    "field_page_start" => "43"
    "field_url" => "/8-klass/algebra/kokshetau-soltan-uchebnik/page-43"
    "field_display_title" => "43"
    "field_folder" => "1"
    "field_image_name" => "43"
    "field_branch_parent" => Illuminate\Database\Eloquent\Collection {#1008
      #items: []
      #escapeWhenCastingToString: false
    }
    "field_weight" => "0"
    "field_book_parent" => Illuminate\Database\Eloquent\Collection {#1037
      #items: array:1 [
        0 => App\Models\Book {#1006
          #connection: "mysql"
          #table: "books"
          #primaryKey: "id"
          #keyType: "int"
          +incrementing: false
          #with: []
          #withCount: []
          +preventsLazyLoading: false
          #perPage: 15
          +exists: true
          +wasRecentlyCreated: false
          #escapeWhenCastingToString: false
          #attributes: array:50 [
            "id" => 4291
            "created_at" => "2026-04-10 13:58:26"
            "updated_at" => null
            "field_tree_default_status" => "tasks"
            "field_pages_status" => null
            "field_subject" => Illuminate\Database\Eloquent\Collection {#1009
              #items: array:1 [
                0 => App\Models\Term {#1007
                  #connection: "mysql"
                  #table: "terms"
                  #primaryKey: "id"
                  #keyType: "int"
                  +incrementing: false
                  #with: []
                  #withCount: []
                  +preventsLazyLoading: false
                  #perPage: 15
                  +exists: true
                  +wasRecentlyCreated: false
                  #escapeWhenCastingToString: false
                  #attributes: array:10 [
                    "id" => 6471
                    "created_at" => "2026-04-10 13:58:26"
                    "updated_at" => null
                    "name" => "Алгебра"
                    "field_abbreviated_name" => null
                    "field_cases" => array:6 [
                      "field_accusative_case" => "алгебру"
                      "field_creative_case" => "алгеброй"
                      "field_dative_case" => "алгебре"
                      "field_genitive_case" => "алгебры"
                      "field_nominative_case" => "алгебра"
                      "field_prepositional_case" => "алгебре"
                    ]
                    "field_foreign_lang_name" => null
                    "field_short_name" => null
                    "field_subject_type" => "technical_subject"
                    "field_translit" => "algebra"
                  ]
                  #original: array:10 [
                    "id" => 6471
                    "created_at" => "2026-04-10 13:58:26"
                    "updated_at" => null
                    "name" => "Алгебра"
                    "field_abbreviated_name" => null
                    "field_cases" => array:6 [
                      "field_accusative_case" => "алгебру"
                      "field_creative_case" => "алгеброй"
                      "field_dative_case" => "алгебре"
                      "field_genitive_case" => "алгебры"
                      "field_nominative_case" => "алгебра"
                      "field_prepositional_case" => "алгебре"
                    ]
                    "field_foreign_lang_name" => null
                    "field_short_name" => null
                    "field_subject_type" => "technical_subject"
                    "field_translit" => "algebra"
                  ]
                  #changes: []
                  #casts: []
                  #classCastCache: []
                  #attributeCastCache: []
                  #dateFormat: null
                  #appends: []
                  #dispatchesEvents: []
                  #observables: []
                  #relations: []
                  #touches: []
                  +timestamps: true
                  +usesUniqueIds: false
                  #hidden: []
                  #visible: []
                  #fillable: []
                  #guarded: array:1 [
                    0 => "*"
                  ]
                }
              ]
              #escapeWhenCastingToString: false
            }
            "field_class" => Illuminate\Database\Eloquent\Collection {#1010
              #items: array:1 [
                0 => App\Models\Term {#1011
                  #connection: "mysql"
                  #table: "terms"
                  #primaryKey: "id"
                  #keyType: "int"
                  +incrementing: false
                  #with: []
                  #withCount: []
                  +preventsLazyLoading: false
                  #perPage: 15
                  +exists: true
                  +wasRecentlyCreated: false
                  #escapeWhenCastingToString: false
                  #attributes: array:6 [
                    "id" => 5457
                    "created_at" => "2026-04-10 13:58:26"
                    "updated_at" => null
                    "name" => "8"
                    "field_cases" => array:6 [
                      "field_accusative_case" => "восьмой"
                      "field_creative_case" => "восьмым"
                      "field_dative_case" => "восьмому"
                      "field_genitive_case" => "восьмого"
                      "field_nominative_case" => "восьмой"
                      "field_prepositional_case" => "восьмом"
                    ]
                    "field_translit" => "vosmoj"
                  ]
                  #original: array:6 [
                    "id" => 5457
                    "created_at" => "2026-04-10 13:58:26"
                    "updated_at" => null
                    "name" => "8"
                    "field_cases" => array:6 [
                      "field_accusative_case" => "восьмой"
                      "field_creative_case" => "восьмым"
                      "field_dative_case" => "восьмому"
                      "field_genitive_case" => "восьмого"
                      "field_nominative_case" => "восьмой"
                      "field_prepositional_case" => "восьмом"
                    ]
                    "field_translit" => "vosmoj"
                  ]
                  #changes: []
                  #casts: []
                  #classCastCache: []
                  #attributeCastCache: []
                  #dateFormat: null
                  #appends: []
                  #dispatchesEvents: []
                  #observables: []
                  #relations: []
                  #touches: []
                  +timestamps: true
                  +usesUniqueIds: false
                  #hidden: []
                  #visible: []
                  #fillable: []
                  #guarded: array:1 [
                    0 => "*"
                  ]
                }
              ]
              #escapeWhenCastingToString: false
            }
            "field_publisher" => Illuminate\Database\Eloquent\Collection {#1012
              #items: array:1 [
                0 => App\Models\Term {#1013
                  #connection: "mysql"
                  #table: "terms"
                  #primaryKey: "id"
                  #keyType: "int"
                  +incrementing: false
                  #with: []
                  #withCount: []
                  +preventsLazyLoading: false
                  #perPage: 15
                  +exists: true
                  +wasRecentlyCreated: false
                  #escapeWhenCastingToString: false
                  #attributes: array:6 [
                    "id" => 7002
                    "created_at" => "2026-04-10 13:58:26"
                    "updated_at" => null
                    "name" => "Кокшетау"
                    "field_cases" => array:6 [
                      "field_accusative_case" => null
                      "field_creative_case" => null
                      "field_dative_case" => null
                      "field_genitive_case" => null
                      "field_nominative_case" => null
                      "field_prepositional_case" => null
                    ]
                    "field_translit" => "Kokshetau"
                  ]
                  #original: array:6 [
                    "id" => 7002
                    "created_at" => "2026-04-10 13:58:26"
                    "updated_at" => null
                    "name" => "Кокшетау"
                    "field_cases" => array:6 [
                      "field_accusative_case" => null
                      "field_creative_case" => null
                      "field_dative_case" => null
                      "field_genitive_case" => null
                      "field_nominative_case" => null
                      "field_prepositional_case" => null
                    ]
                    "field_translit" => "Kokshetau"
                  ]
                  #changes: []
                  #casts: []
                  #classCastCache: []
                  #attributeCastCache: []
                  #dateFormat: null
                  #appends: []
                  #dispatchesEvents: []
                  #observables: []
                  #relations: []
                  #touches: []
                  +timestamps: true
                  +usesUniqueIds: false
                  #hidden: []
                  #visible: []
                  #fillable: []
                  #guarded: array:1 [
                    0 => "*"
                  ]
                }
              ]
              #escapeWhenCastingToString: false
            }
            "field_author" => Illuminate\Database\Eloquent\Collection {#1014
              #items: array:3 [
                0 => App\Models\Term {#1015
                  #connection: "mysql"
                  #table: "terms"
                  #primaryKey: "id"
                  #keyType: "int"
                  +incrementing: false
                  #with: []
                  #withCount: []
                  +preventsLazyLoading: false
                  #perPage: 15
                  +exists: true
                  +wasRecentlyCreated: false
                  #escapeWhenCastingToString: false
                  #attributes: array:12 [
                    "id" => 7003
                    "created_at" => "2026-04-10 13:58:26"
                    "updated_at" => null
                    "name" => "Солтан"
                    "field_bio" => null
                    "field_degree_rp" => null
                    "field_foreign_lang_name" => null
                    "field_foreign_lang_patronymic" => null
                    "field_foreign_lang_surname" => null
                    "field_name" => "Генадий"
                    "field_patronymic" => "Николаевич"
                    "field_surname_rp" => null
                  ]
                  #original: array:12 [
                    "id" => 7003
                    "created_at" => "2026-04-10 13:58:26"
                    "updated_at" => null
                    "name" => "Солтан"
                    "field_bio" => null
                    "field_degree_rp" => null
                    "field_foreign_lang_name" => null
                    "field_foreign_lang_patronymic" => null
                    "field_foreign_lang_surname" => null
                    "field_name" => "Генадий"
                    "field_patronymic" => "Николаевич"
                    "field_surname_rp" => null
                  ]
                  #changes: []
                  #casts: []
                  #classCastCache: []
                  #attributeCastCache: []
                  #dateFormat: null
                  #appends: []
                  #dispatchesEvents: []
                  #observables: []
                  #relations: []
                  #touches: []
                  +timestamps: true
                  +usesUniqueIds: false
                  #hidden: []
                  #visible: []
                  #fillable: []
                  #guarded: array:1 [
                    0 => "*"
                  ]
                }
                1 => App\Models\Term {#1016
                  #connection: "mysql"
                  #table: "terms"
                  #primaryKey: "id"
                  #keyType: "int"
                  +incrementing: false
                  #with: []
                  #withCount: []
                  +preventsLazyLoading: false
                  #perPage: 15
                  +exists: true
                  +wasRecentlyCreated: false
                  #escapeWhenCastingToString: false
                  #attributes: array:12 [
                    "id" => 7004
                    "created_at" => "2026-04-10 13:58:26"
                    "updated_at" => null
                    "name" => "Солтан"
                    "field_bio" => null
                    "field_degree_rp" => null
                    "field_foreign_lang_name" => null
                    "field_foreign_lang_patronymic" => null
                    "field_foreign_lang_surname" => null
                    "field_name" => "Алла"
                    "field_patronymic" => "Евгеньевна"
                    "field_surname_rp" => null
                  ]
                  #original: array:12 [
                    "id" => 7004
                    "created_at" => "2026-04-10 13:58:26"
                    "updated_at" => null
                    "name" => "Солтан"
                    "field_bio" => null
                    "field_degree_rp" => null
                    "field_foreign_lang_name" => null
                    "field_foreign_lang_patronymic" => null
                    "field_foreign_lang_surname" => null
                    "field_name" => "Алла"
                    "field_patronymic" => "Евгеньевна"
                    "field_surname_rp" => null
                  ]
                  #changes: []
                  #casts: []
                  #classCastCache: []
                  #attributeCastCache: []
                  #dateFormat: null
                  #appends: []
                  #dispatchesEvents: []
                  #observables: []
                  #relations: []
                  #touches: []
                  +timestamps: true
                  +usesUniqueIds: false
                  #hidden: []
                  #visible: []
                  #fillable: []
                  #guarded: array:1 [
                    0 => "*"
                  ]
                }
                2 => App\Models\Term {#1017
                  #connection: "mysql"
                  #table: "terms"
                  #primaryKey: "id"
                  #keyType: "int"
                  +incrementing: false
                  #with: []
                  #withCount: []
                  +preventsLazyLoading: false
                  #perPage: 15
                  +exists: true
                  +wasRecentlyCreated: false
                  #escapeWhenCastingToString: false
                  #attributes: array:12 [
                    "id" => 7005
                    "created_at" => "2026-04-10 13:58:26"
                    "updated_at" => null
                    "name" => "Жумадилова"
                    "field_bio" => null
                    "field_degree_rp" => null
                    "field_foreign_lang_name" => null
                    "field_foreign_lang_patronymic" => null
                    "field_foreign_lang_surname" => null
                    "field_name" => "Аманбала"
                    "field_patronymic" => "Жумадиловна"
                    "field_surname_rp" => null
                  ]
                  #original: array:12 [
                    "id" => 7005
                    "created_at" => "2026-04-10 13:58:26"
                    "updated_at" => null
                    "name" => "Жумадилова"
                    "field_bio" => null
                    "field_degree_rp" => null
                    "field_foreign_lang_name" => null
                    "field_foreign_lang_patronymic" => null
                    "field_foreign_lang_surname" => null
                    "field_name" => "Аманбала"
                    "field_patronymic" => "Жумадиловна"
                    "field_surname_rp" => null
                  ]
                  #changes: []
                  #casts: []
                  #classCastCache: []
                  #attributeCastCache: []
                  #dateFormat: null
                  #appends: []
                  #dispatchesEvents: []
                  #observables: []
                  #relations: []
                  #touches: []
                  +timestamps: true
                  +usesUniqueIds: false
                  #hidden: []
                  #visible: []
                  #fillable: []
                  #guarded: array:1 [
                    0 => "*"
                  ]
                }
              ]
              #escapeWhenCastingToString: false
            }
            "field_author_foreign" => Illuminate\Database\Eloquent\Collection {#1018
              #items: []
              #escapeWhenCastingToString: false
            }
            "field_book_type" => Illuminate\Database\Eloquent\Collection {#1019
              #items: array:1 [
                0 => App\Models\Term {#1020
                  #connection: "mysql"
                  #table: "terms"
                  #primaryKey: "id"
                  #keyType: "int"
                  +incrementing: false
                  #with: []
                  #withCount: []
                  +preventsLazyLoading: false
                  #perPage: 15
                  +exists: true
                  +wasRecentlyCreated: false
                  #escapeWhenCastingToString: false
                  #attributes: array:10 [
                    "id" => 6671
                    "created_at" => "2026-04-10 13:58:26"
                    "updated_at" => null
                    "name" => "Учебник"
                    "field_book_type_foreign" => null
                    "field_cases" => array:6 [
                      "field_accusative_case" => "учебник"
                      "field_creative_case" => "учебником"
                      "field_dative_case" => "учебнику"
                      "field_genitive_case" => "учебника"
                      "field_nominative_case" => "учебник"
                      "field_prepositional_case" => "учебнике"
                    ]
                    "field_plural_form" => null
                    "field_short_name" => null
                    "field_short_name_foreign" => null
                    "field_translit" => "uchebnik"
                  ]
                  #original: array:10 [
                    "id" => 6671
                    "created_at" => "2026-04-10 13:58:26"
                    "updated_at" => null
                    "name" => "Учебник"
                    "field_book_type_foreign" => null
                    "field_cases" => array:6 [
                      "field_accusative_case" => "учебник"
                      "field_creative_case" => "учебником"
                      "field_dative_case" => "учебнику"
                      "field_genitive_case" => "учебника"
                      "field_nominative_case" => "учебник"
                      "field_prepositional_case" => "учебнике"
                    ]
                    "field_plural_form" => null
                    "field_short_name" => null
                    "field_short_name_foreign" => null
                    "field_translit" => "uchebnik"
                  ]
                  #changes: []
                  #casts: []
                  #classCastCache: []
                  #attributeCastCache: []
                  #dateFormat: null
                  #appends: []
                  #dispatchesEvents: []
                  #observables: []
                  #relations: []
                  #touches: []
                  +timestamps: true
                  +usesUniqueIds: false
                  #hidden: []
                  #visible: []
                  #fillable: []
                  #guarded: array:1 [
                    0 => "*"
                  ]
                }
              ]
              #escapeWhenCastingToString: false
            }
            "field_country" => Illuminate\Database\Eloquent\Collection {#1021
              #items: array:1 [
                0 => App\Models\Term {#1022
                  #connection: "mysql"
                  #table: "terms"
                  #primaryKey: "id"
                  #keyType: "int"
                  +incrementing: false
                  #with: []
                  #withCount: []
                  +preventsLazyLoading: false
                  #perPage: 15
                  +exists: true
                  +wasRecentlyCreated: false
                  #escapeWhenCastingToString: false
                  #attributes: array:6 [
                    "id" => 6994
                    "created_at" => "2026-04-10 13:58:26"
                    "updated_at" => null
                    "name" => "Казахстан"
                    "field_cases" => array:6 [
                      "field_accusative_case" => null
                      "field_creative_case" => null
                      "field_dative_case" => null
                      "field_genitive_case" => null
                      "field_nominative_case" => null
                      "field_prepositional_case" => null
                    ]
                    "field_translit" => "kazakhstan"
                  ]
                  #original: array:6 [
                    "id" => 6994
                    "created_at" => "2026-04-10 13:58:26"
                    "updated_at" => null
                    "name" => "Казахстан"
                    "field_cases" => array:6 [
                      "field_accusative_case" => null
                      "field_creative_case" => null
                      "field_dative_case" => null
                      "field_genitive_case" => null
                      "field_nominative_case" => null
                      "field_prepositional_case" => null
                    ]
                    "field_translit" => "kazakhstan"
                  ]
                  #changes: []
                  #casts: []
                  #classCastCache: []
                  #attributeCastCache: []
                  #dateFormat: null
                  #appends: []
                  #dispatchesEvents: []
                  #observables: []
                  #relations: []
                  #touches: []
                  +timestamps: true
                  +usesUniqueIds: false
                  #hidden: []
                  #visible: []
                  #fillable: []
                  #guarded: array:1 [
                    0 => "*"
                  ]
                }
              ]
              #escapeWhenCastingToString: false
            }
            "field_city" => Illuminate\Database\Eloquent\Collection {#1023
              #items: array:1 [
                0 => App\Models\Term {#1024
                  #connection: "mysql"
                  #table: "terms"
                  #primaryKey: "id"
                  #keyType: "int"
                  +incrementing: false
                  #with: []
                  #withCount: []
                  +preventsLazyLoading: false
                  #perPage: 15
                  +exists: true
                  +wasRecentlyCreated: false
                  #escapeWhenCastingToString: false
                  #attributes: array:6 [
                    "id" => 6995
                    "created_at" => "2026-04-10 13:58:26"
                    "updated_at" => null
                    "name" => "Алматы"
                    "field_cases" => array:6 [
                      "field_accusative_case" => null
                      "field_creative_case" => null
                      "field_dative_case" => null
                      "field_genitive_case" => null
                      "field_nominative_case" => null
                      "field_prepositional_case" => null
                    ]
                    "field_translit" => "almaty"
                  ]
                  #original: array:6 [
                    "id" => 6995
                    "created_at" => "2026-04-10 13:58:26"
                    "updated_at" => null
                    "name" => "Алматы"
                    "field_cases" => array:6 [
                      "field_accusative_case" => null
                      "field_creative_case" => null
                      "field_dative_case" => null
                      "field_genitive_case" => null
                      "field_nominative_case" => null
                      "field_prepositional_case" => null
                    ]
                    "field_translit" => "almaty"
                  ]
                  #changes: []
                  #casts: []
                  #classCastCache: []
                  #attributeCastCache: []
                  #dateFormat: null
                  #appends: []
                  #dispatchesEvents: []
                  #observables: []
                  #relations: []
                  #touches: []
                  +timestamps: true
                  +usesUniqueIds: false
                  #hidden: []
                  #visible: []
                  #fillable: []
                  #guarded: array:1 [
                    0 => "*"
                  ]
                }
              ]
              #escapeWhenCastingToString: false
            }
            "field_series" => Illuminate\Database\Eloquent\Collection {#1025
              #items: []
              #escapeWhenCastingToString: false
            }
            "field_umk" => Illuminate\Database\Eloquent\Collection {#1026
              #items: []
              #escapeWhenCastingToString: false
            }
            "field_level_of_education" => Illuminate\Database\Eloquent\Collection {#1027
              #items: []
              #escapeWhenCastingToString: false
            }
            "field_standart_of_education" => Illuminate\Database\Eloquent\Collection {#1028
              #items: []
              #escapeWhenCastingToString: false
            }
            "field_publication_number" => null
            "field_publication_type" => Illuminate\Database\Eloquent\Collection {#1029
              #items: []
              #escapeWhenCastingToString: false
            }
            "field_under_the_edition" => Illuminate\Database\Eloquent\Collection {#1030
              #items: []
              #escapeWhenCastingToString: false
            }
            "field_under_the_edition_degree" => null
            "field_cover_description" => null
            "field_publication_year" => "2018"
            "field_publication_year_until" => null
            "field_part" => ""
            "field_part_writing" => ""
            "field_second_foreign_language" => null
            "field_for_whom" => "Учебник для учащихся общеобразовательной "
            "field_allowed" => "Утверждено Министерством образования и науки Республики Казахстан"
            "field_reserve_field" => null
            "field_link_to_source" => null
            "field_tasks_count" => "722"
            "field_priority" => "4"
            "field_default_folder" => "/algebra_08/Abylkasymova/"
            "field_isbn" => "978-601-317-332-0"
            "field_cover" => array:2 [
              0 => "/media/algebra_08/Abylkasymova/covers/cover1.webp?ts=1752132516"
              1 => "/media/algebra_08/Abylkasymova/covers/cover2.webp?ts=1752132516"
            ]
            "field_cover_alts" => array:2 [
              0 => ""
              1 => ""
            ]
            "field_covers" => array:2 [
              0 => array:4 [
                "path" => "/media/algebra_08/Abylkasymova/covers/cover1.webp?ts=1752132516"
                "alt" => ""
                "width" => "556"
                "height" => "842"
              ]
              1 => array:4 [
                "path" => "/media/algebra_08/Abylkasymova/covers/cover2.webp?ts=1752132516"
                "alt" => ""
                "width" => "442"
                "height" => "673"
              ]
            ]
            "field_popular_book" => null
            "field_recommended_books" => Illuminate\Database\Eloquent\Collection {#1031
              #items: []
              #escapeWhenCastingToString: false
            }
            "field_new_book" => Illuminate\Database\Eloquent\Collection {#1032
              #items: []
              #escapeWhenCastingToString: false
            }
            "field_old_book" => Illuminate\Database\Eloquent\Collection {#1033
              #items: []
              #escapeWhenCastingToString: false
            }
            "field_url" => "/8-klass/algebra/kokshetau-soltan-uchebnik"
            "field_cover_color" => Illuminate\Database\Eloquent\Collection {#1034
              #items: []
              #escapeWhenCastingToString: false
            }
            "field_metatags_title" => null
            "field_metatags_description" => null
            "field_h1" => null
            "field_description_top" => null
            "field_description_bottom" => null
            "breadcrumbs" => array:3 [
              "class" => 379
              "subject" => 542
              "class_subject" => 385
            ]
          ]
          #original: array:50 [
            "id" => 4291
            "created_at" => "2026-04-10 13:58:26"
            "updated_at" => null
            "field_tree_default_status" => "tasks"
            "field_pages_status" => null
            "field_subject" => Illuminate\Database\Eloquent\Collection {#1009}
            "field_class" => Illuminate\Database\Eloquent\Collection {#1010}
            "field_publisher" => Illuminate\Database\Eloquent\Collection {#1012}
            "field_author" => Illuminate\Database\Eloquent\Collection {#1014}
            "field_author_foreign" => Illuminate\Database\Eloquent\Collection {#1018}
            "field_book_type" => Illuminate\Database\Eloquent\Collection {#1019}
            "field_country" => Illuminate\Database\Eloquent\Collection {#1021}
            "field_city" => Illuminate\Database\Eloquent\Collection {#1023}
            "field_series" => Illuminate\Database\Eloquent\Collection {#1025}
            "field_umk" => Illuminate\Database\Eloquent\Collection {#1026}
            "field_level_of_education" => Illuminate\Database\Eloquent\Collection {#1027}
            "field_standart_of_education" => Illuminate\Database\Eloquent\Collection {#1028}
            "field_publication_number" => null
            "field_publication_type" => Illuminate\Database\Eloquent\Collection {#1029}
            "field_under_the_edition" => Illuminate\Database\Eloquent\Collection {#1030}
            "field_under_the_edition_degree" => null
            "field_cover_description" => null
            "field_publication_year" => "2018"
            "field_publication_year_until" => null
            "field_part" => ""
            "field_part_writing" => ""
            "field_second_foreign_language" => null
            "field_for_whom" => "Учебник для учащихся общеобразовательной "
            "field_allowed" => "Утверждено Министерством образования и науки Республики Казахстан"
            "field_reserve_field" => null
            "field_link_to_source" => null
            "field_tasks_count" => "722"
            "field_priority" => "4"
            "field_default_folder" => "/algebra_08/Abylkasymova/"
            "field_isbn" => "978-601-317-332-0"
            "field_cover" => array:2 [
              0 => "/media/algebra_08/Abylkasymova/covers/cover1.webp?ts=1752132516"
              1 => "/media/algebra_08/Abylkasymova/covers/cover2.webp?ts=1752132516"
            ]
            "field_cover_alts" => array:2 [
              0 => ""
              1 => ""
            ]
            "field_covers" => array:2 [
              0 => array:4 [
                "path" => "/media/algebra_08/Abylkasymova/covers/cover1.webp?ts=1752132516"
                "alt" => ""
                "width" => "556"
                "height" => "842"
              ]
              1 => array:4 [
                "path" => "/media/algebra_08/Abylkasymova/covers/cover2.webp?ts=1752132516"
                "alt" => ""
                "width" => "442"
                "height" => "673"
              ]
            ]
            "field_popular_book" => null
            "field_recommended_books" => Illuminate\Database\Eloquent\Collection {#1031}
            "field_new_book" => Illuminate\Database\Eloquent\Collection {#1032}
            "field_old_book" => Illuminate\Database\Eloquent\Collection {#1033}
            "field_url" => "/8-klass/algebra/kokshetau-soltan-uchebnik"
            "field_cover_color" => Illuminate\Database\Eloquent\Collection {#1034}
            "field_metatags_title" => null
            "field_metatags_description" => null
            "field_h1" => null
            "field_description_top" => null
            "field_description_bottom" => null
            "breadcrumbs" => array:3 [
              "class" => 379
              "subject" => 542
              "class_subject" => 385
            ]
          ]
          #changes: []
          #casts: []
          #classCastCache: []
          #attributeCastCache: []
          #dateFormat: null
          #appends: []
          #dispatchesEvents: []
          #observables: []
          #relations: []
          #touches: []
          +timestamps: true
          +usesUniqueIds: false
          #hidden: []
          #visible: []
          #fillable: []
          #guarded: array:1 [
            0 => "*"
          ]
        }
      ]
      #escapeWhenCastingToString: false
    }
    "field_metatags_title" => null
    "field_metatags_description" => null
    "field_h1" => null
    "field_description_top" => null
    "field_description_bottom" => null
    "edition_groups" => Illuminate\Database\Eloquent\Collection {#1035
      #items: []
      #escapeWhenCastingToString: false
    }
    "content" => Illuminate\Database\Eloquent\Collection {#1038
      #items: array:2 [
        0 => App\Models\Element {#1047
          #connection: "mysql"
          #table: "elements"
          #primaryKey: "id"
          #keyType: "int"
          +incrementing: true
          #with: []
          #withCount: []
          +preventsLazyLoading: false
          #perPage: 15
          +exists: true
          +wasRecentlyCreated: false
          #escapeWhenCastingToString: false
          #attributes: array:6 [
            "id" => 1259443
            "created_at" => "2026-04-10 13:58:26"
            "updated_at" => null
            "edition" => Illuminate\Database\Eloquent\Collection {#1056
              #items: array:1 [
                0 => App\Models\Edition {#1048
                  #connection: "mysql"
                  #table: "editions"
                  #primaryKey: "id"
                  #keyType: "int"
                  +incrementing: false
                  #with: []
                  #withCount: []
                  +preventsLazyLoading: false
                  #perPage: 15
                  +exists: true
                  +wasRecentlyCreated: false
                  #escapeWhenCastingToString: false
                  #attributes: array:21 [
                    "id" => 4939
                    "created_at" => "2026-04-10 13:58:26"
                    "updated_at" => null
                    "title" => "Условие РУС"
                    "field_order" => "1"
                    "field_publisher" => Illuminate\Database\Eloquent\Collection {#1050
                      #items: array:1 [
                        0 => App\Models\Term {#1049
                          #connection: "mysql"
                          #table: "terms"
                          #primaryKey: "id"
                          #keyType: "int"
                          +incrementing: false
                          #with: []
                          #withCount: []
                          +preventsLazyLoading: false
                          #perPage: 15
                          +exists: true
                          +wasRecentlyCreated: false
                          #escapeWhenCastingToString: false
                          #attributes: array:6 [ …6]
                          #original: array:6 [ …6]
                          #changes: []
                          #casts: []
                          #classCastCache: []
                          #attributeCastCache: []
                          #dateFormat: null
                          #appends: []
                          #dispatchesEvents: []
                          #observables: []
                          #relations: []
                          #touches: []
                          +timestamps: true
                          +usesUniqueIds: false
                          #hidden: []
                          #visible: []
                          #fillable: []
                          #guarded: array:1 [ …1]
                        }
                      ]
                      #escapeWhenCastingToString: false
                    }
                    "field_content_type" => "free"
                    "field_content_mode" => "image"
                    "field_page_content_mode" => "image"
                    "field_content_text_checked" => "0"
                    "field_page_content_text_checked" => "0"
                    "field_solution_author" => "Автор"
                    "field_moderator" => "filin"
                    "field_edition_type" => "statement"
                    "field_root_dir" => "rus0-"
                    "field_responsible" => Illuminate\Database\Eloquent\Collection {#1051
                      #items: []
                      #escapeWhenCastingToString: false
                    }
                    "field_comment" => null
                    "field_similar_book" => Illuminate\Database\Eloquent\Collection {#1052
                      #items: []
                      #escapeWhenCastingToString: false
                    }
                    "field_process_formula" => "katex"
                    "field_edition_group" => Illuminate\Database\Eloquent\Collection {#1053
                      #items: []
                      #escapeWhenCastingToString: false
                    }
                    "field_content_source" => null
                  ]
                  #original: array:21 [
                    "id" => 4939
                    "created_at" => "2026-04-10 13:58:26"
                    "updated_at" => null
                    "title" => "Условие РУС"
                    "field_order" => "1"
                    "field_publisher" => Illuminate\Database\Eloquent\Collection {#1050}
                    "field_content_type" => "free"
                    "field_content_mode" => "image"
                    "field_page_content_mode" => "image"
                    "field_content_text_checked" => "0"
                    "field_page_content_text_checked" => "0"
                    "field_solution_author" => "Автор"
                    "field_moderator" => "filin"
                    "field_edition_type" => "statement"
                    "field_root_dir" => "rus0-"
                    "field_responsible" => Illuminate\Database\Eloquent\Collection {#1051}
                    "field_comment" => null
                    "field_similar_book" => Illuminate\Database\Eloquent\Collection {#1052}
                    "field_process_formula" => "katex"
                    "field_edition_group" => Illuminate\Database\Eloquent\Collection {#1053}
                    "field_content_source" => null
                  ]
                  #changes: []
                  #casts: []
                  #classCastCache: []
                  #attributeCastCache: []
                  #dateFormat: null
                  #appends: []
                  #dispatchesEvents: []
                  #observables: []
                  #relations: []
                  #touches: []
                  +timestamps: true
                  +usesUniqueIds: false
                  #hidden: []
                  #visible: []
                  #fillable: []
                  #guarded: array:1 [
                    0 => "*"
                  ]
                }
              ]
              #escapeWhenCastingToString: false
            }
            "book_page" => array:2 [
              "refs" => "1095944"
              "type" => "book_page"
            ]
            "img" => array:1 [
              0 => array:5 [
                "name" => "43-1.jpg"
                "alt" => null
                "width" => "2066"
                "height" => 3032
                "path" => "/media/algebra_08/Abylkasymova/rus0-1/43-1.webp?ts=1752133276"
              ]
            ]
          ]
          #original: array:6 [
            "id" => 1259443
            "created_at" => "2026-04-10 13:58:26"
            "updated_at" => null
            "edition" => Illuminate\Database\Eloquent\Collection {#1056}
            "book_page" => array:2 [
              "refs" => "1095944"
              "type" => "book_page"
            ]
            "img" => array:1 [
              0 => array:5 [
                "name" => "43-1.jpg"
                "alt" => null
                "width" => "2066"
                "height" => 3032
                "path" => "/media/algebra_08/Abylkasymova/rus0-1/43-1.webp?ts=1752133276"
              ]
            ]
          ]
          #changes: []
          #casts: []
          #classCastCache: []
          #attributeCastCache: []
          #dateFormat: null
          #appends: []
          #dispatchesEvents: []
          #observables: []
          #relations: []
          #touches: []
          +timestamps: true
          +usesUniqueIds: false
          #hidden: []
          #visible: []
          #fillable: []
          #guarded: array:1 [
            0 => "*"
          ]
        }
        1 => App\Models\Element {#1054
          #connection: "mysql"
          #table: "elements"
          #primaryKey: "id"
          #keyType: "int"
          +incrementing: true
          #with: []
          #withCount: []
          +preventsLazyLoading: false
          #perPage: 15
          +exists: true
          +wasRecentlyCreated: false
          #escapeWhenCastingToString: false
          #attributes: array:6 [
            "id" => 1259474
            "created_at" => "2026-04-10 13:58:26"
            "updated_at" => null
            "edition" => Illuminate\Database\Eloquent\Collection {#1064
              #items: array:1 [
                0 => App\Models\Edition {#1055
                  #connection: "mysql"
                  #table: "editions"
                  #primaryKey: "id"
                  #keyType: "int"
                  +incrementing: false
                  #with: []
                  #withCount: []
                  +preventsLazyLoading: false
                  #perPage: 15
                  +exists: true
                  +wasRecentlyCreated: false
                  #escapeWhenCastingToString: false
                  #attributes: array:21 [
                    "id" => 4940
                    "created_at" => "2026-04-10 13:58:26"
                    "updated_at" => null
                    "title" => "Условия КЗ"
                    "field_order" => "2"
                    "field_publisher" => Illuminate\Database\Eloquent\Collection {#1058
                      #items: array:1 [
                        0 => App\Models\Term {#1057
                          #connection: "mysql"
                          #table: "terms"
                          #primaryKey: "id"
                          #keyType: "int"
                          +incrementing: false
                          #with: []
                          #withCount: []
                          +preventsLazyLoading: false
                          #perPage: 15
                          +exists: true
                          +wasRecentlyCreated: false
                          #escapeWhenCastingToString: false
                          #attributes: array:6 [ …6]
                          #original: array:6 [ …6]
                          #changes: []
                          #casts: []
                          #classCastCache: []
                          #attributeCastCache: []
                          #dateFormat: null
                          #appends: []
                          #dispatchesEvents: []
                          #observables: []
                          #relations: []
                          #touches: []
                          +timestamps: true
                          +usesUniqueIds: false
                          #hidden: []
                          #visible: []
                          #fillable: []
                          #guarded: array:1 [ …1]
                        }
                      ]
                      #escapeWhenCastingToString: false
                    }
                    "field_content_type" => "free"
                    "field_content_mode" => "image"
                    "field_page_content_mode" => "image"
                    "field_content_text_checked" => "0"
                    "field_page_content_text_checked" => "0"
                    "field_solution_author" => "Автор"
                    "field_moderator" => "filin"
                    "field_edition_type" => "statement"
                    "field_root_dir" => "kz0-"
                    "field_responsible" => Illuminate\Database\Eloquent\Collection {#1059
                      #items: []
                      #escapeWhenCastingToString: false
                    }
                    "field_comment" => null
                    "field_similar_book" => Illuminate\Database\Eloquent\Collection {#1060
                      #items: []
                      #escapeWhenCastingToString: false
                    }
                    "field_process_formula" => ""
                    "field_edition_group" => Illuminate\Database\Eloquent\Collection {#1061
                      #items: []
                      #escapeWhenCastingToString: false
                    }
                    "field_content_source" => null
                  ]
                  #original: array:21 [
                    "id" => 4940
                    "created_at" => "2026-04-10 13:58:26"
                    "updated_at" => null
                    "title" => "Условия КЗ"
                    "field_order" => "2"
                    "field_publisher" => Illuminate\Database\Eloquent\Collection {#1058}
                    "field_content_type" => "free"
                    "field_content_mode" => "image"
                    "field_page_content_mode" => "image"
                    "field_content_text_checked" => "0"
                    "field_page_content_text_checked" => "0"
                    "field_solution_author" => "Автор"
                    "field_moderator" => "filin"
                    "field_edition_type" => "statement"
                    "field_root_dir" => "kz0-"
                    "field_responsible" => Illuminate\Database\Eloquent\Collection {#1059}
                    "field_comment" => null
                    "field_similar_book" => Illuminate\Database\Eloquent\Collection {#1060}
                    "field_process_formula" => ""
                    "field_edition_group" => Illuminate\Database\Eloquent\Collection {#1061}
                    "field_content_source" => null
                  ]
                  #changes: []
                  #casts: []
                  #classCastCache: []
                  #attributeCastCache: []
                  #dateFormat: null
                  #appends: []
                  #dispatchesEvents: []
                  #observables: []
                  #relations: []
                  #touches: []
                  +timestamps: true
                  +usesUniqueIds: false
                  #hidden: []
                  #visible: []
                  #fillable: []
                  #guarded: array:1 [
                    0 => "*"
                  ]
                }
              ]
              #escapeWhenCastingToString: false
            }
            "book_page" => array:2 [
              "refs" => "1095944"
              "type" => "book_page"
            ]
            "img" => array:1 [
              0 => array:5 [
                "name" => "43-1.jpg"
                "alt" => null
                "width" => "2009"
                "height" => 2972
                "path" => "/media/algebra_08/Abylkasymova/kz0-1/43-1.webp?ts=1752133281"
              ]
            ]
          ]
          #original: array:6 [
            "id" => 1259474
            "created_at" => "2026-04-10 13:58:26"
            "updated_at" => null
            "edition" => Illuminate\Database\Eloquent\Collection {#1064}
            "book_page" => array:2 [
              "refs" => "1095944"
              "type" => "book_page"
            ]
            "img" => array:1 [
              0 => array:5 [
                "name" => "43-1.jpg"
                "alt" => null
                "width" => "2009"
                "height" => 2972
                "path" => "/media/algebra_08/Abylkasymova/kz0-1/43-1.webp?ts=1752133281"
              ]
            ]
          ]
          #changes: []
          #casts: []
          #classCastCache: []
          #attributeCastCache: []
          #dateFormat: null
          #appends: []
          #dispatchesEvents: []
          #observables: []
          #relations: []
          #touches: []
          +timestamps: true
          +usesUniqueIds: false
          #hidden: []
          #visible: []
          #fillable: []
          #guarded: array:1 [
            0 => "*"
          ]
        }
      ]
      #escapeWhenCastingToString: false
    }
    "next" => Illuminate\Database\Eloquent\Collection {#5967
      #items: array:1 [
        0 => App\Models\BookPage {#5750
          #connection: "mysql"
          #table: "book_pages"
          #primaryKey: "id"
          #keyType: "int"
          +incrementing: true
          #with: []
          #withCount: []
          +preventsLazyLoading: false
          #perPage: 15
          +exists: true
          +wasRecentlyCreated: false
          #escapeWhenCastingToString: false
          #attributes: array:21 [
            "id" => 1095945
            "created_at" => "2026-04-10 13:58:26"
            "updated_at" => null
            "field_page_start" => "44"
            "field_url" => "/8-klass/algebra/kokshetau-soltan-uchebnik/page-44"
            "field_display_title" => "44"
            "field_folder" => "1"
            "field_image_name" => "44"
            "field_branch_parent" => Illuminate\Database\Eloquent\Collection {#5751
              #items: []
              #escapeWhenCastingToString: false
            }
            "field_weight" => "0"
            "field_book_parent" => Illuminate\Database\Eloquent\Collection {#5747
              #items: array:1 [
                0 => App\Models\Book {#5742
                  #connection: "mysql"
                  #table: "books"
                  #primaryKey: "id"
                  #keyType: "int"
                  +incrementing: false
                  #with: []
                  #withCount: []
                  +preventsLazyLoading: false
                  #perPage: 15
                  +exists: true
                  +wasRecentlyCreated: false
                  #escapeWhenCastingToString: false
                  #attributes: array:50 [
                    "id" => 4291
                    "created_at" => "2026-04-10 13:58:26"
                    "updated_at" => null
                    "field_tree_default_status" => "tasks"
                    "field_pages_status" => null
                    "field_subject" => Illuminate\Database\Eloquent\Collection {#5752
                      #items: array:1 [
                        0 => App\Models\Term {#5745
                          #connection: "mysql"
                          #table: "terms"
                          #primaryKey: "id"
                          #keyType: "int"
                          +incrementing: false
                          #with: []
                          #withCount: []
                          +preventsLazyLoading: false
                          #perPage: 15
                          +exists: true
                          +wasRecentlyCreated: false
                          #escapeWhenCastingToString: false
                          #attributes: array:10 [ …10]
                          #original: array:10 [ …10]
                          #changes: []
                          #casts: []
                          #classCastCache: []
                          #attributeCastCache: []
                          #dateFormat: null
                          #appends: []
                          #dispatchesEvents: []
                          #observables: []
                          #relations: []
                          #touches: []
                          +timestamps: true
                          +usesUniqueIds: false
                          #hidden: []
                          #visible: []
                          #fillable: []
                          #guarded: array:1 [ …1]
                        }
                      ]
                      #escapeWhenCastingToString: false
                    }
                    "field_class" => Illuminate\Database\Eloquent\Collection {#5761
                      #items: array:1 [
                        0 => App\Models\Term {#5759
                          #connection: "mysql"
                          #table: "terms"
                          #primaryKey: "id"
                          #keyType: "int"
                          +incrementing: false
                          #with: []
                          #withCount: []
                          +preventsLazyLoading: false
                          #perPage: 15
                          +exists: true
                          +wasRecentlyCreated: false
                          #escapeWhenCastingToString: false
                          #attributes: array:6 [ …6]
                          #original: array:6 [ …6]
                          #changes: []
                          #casts: []
                          #classCastCache: []
                          #attributeCastCache: []
                          #dateFormat: null
                          #appends: []
                          #dispatchesEvents: []
                          #observables: []
                          #relations: []
                          #touches: []
                          +timestamps: true
                          +usesUniqueIds: false
                          #hidden: []
                          #visible: []
                          #fillable: []
                          #guarded: array:1 [ …1]
                        }
                      ]
                      #escapeWhenCastingToString: false
                    }
                    "field_publisher" => Illuminate\Database\Eloquent\Collection {#5768
                      #items: array:1 [
                        0 => App\Models\Term {#5764
                          #connection: "mysql"
                          #table: "terms"
                          #primaryKey: "id"
                          #keyType: "int"
                          +incrementing: false
                          #with: []
                          #withCount: []
                          +preventsLazyLoading: false
                          #perPage: 15
                          +exists: true
                          +wasRecentlyCreated: false
                          #escapeWhenCastingToString: false
                          #attributes: array:6 [ …6]
                          #original: array:6 [ …6]
                          #changes: []
                          #casts: []
                          #classCastCache: []
                          #attributeCastCache: []
                          #dateFormat: null
                          #appends: []
                          #dispatchesEvents: []
                          #observables: []
                          #relations: []
                          #touches: []
                          +timestamps: true
                          +usesUniqueIds: false
                          #hidden: []
                          #visible: []
                          #fillable: []
                          #guarded: array:1 [ …1]
                        }
                      ]
                      #escapeWhenCastingToString: false
                    }
                    "field_author" => Illuminate\Database\Eloquent\Collection {#5762
                      #items: array:3 [
                        0 => App\Models\Term {#5765
                          #connection: "mysql"
                          #table: "terms"
                          #primaryKey: "id"
                          #keyType: "int"
                          +incrementing: false
                          #with: []
                          #withCount: []
                          +preventsLazyLoading: false
                          #perPage: 15
                          +exists: true
                          +wasRecentlyCreated: false
                          #escapeWhenCastingToString: false
                          #attributes: array:12 [ …12]
                          #original: array:12 [ …12]
                          #changes: []
                          #casts: []
                          #classCastCache: []
                          #attributeCastCache: []
                          #dateFormat: null
                          #appends: []
                          #dispatchesEvents: []
                          #observables: []
                          #relations: []
                          #touches: []
                          +timestamps: true
                          +usesUniqueIds: false
                          #hidden: []
                          #visible: []
                          #fillable: []
                          #guarded: array:1 [ …1]
                        }
                        1 => App\Models\Term {#5763
                          #connection: "mysql"
                          #table: "terms"
                          #primaryKey: "id"
                          #keyType: "int"
                          +incrementing: false
                          #with: []
                          #withCount: []
                          +preventsLazyLoading: false
                          #perPage: 15
                          +exists: true
                          +wasRecentlyCreated: false
                          #escapeWhenCastingToString: false
                          #attributes: array:12 [ …12]
                          #original: array:12 [ …12]
                          #changes: []
                          #casts: []
                          #classCastCache: []
                          #attributeCastCache: []
                          #dateFormat: null
                          #appends: []
                          #dispatchesEvents: []
                          #observables: []
                          #relations: []
                          #touches: []
                          +timestamps: true
                          +usesUniqueIds: false
                          #hidden: []
                          #visible: []
                          #fillable: []
                          #guarded: array:1 [ …1]
                        }
                        2 => App\Models\Term {#5773
                          #connection: "mysql"
                          #table: "terms"
                          #primaryKey: "id"
                          #keyType: "int"
                          +incrementing: false
                          #with: []
                          #withCount: []
                          +preventsLazyLoading: false
                          #perPage: 15
                          +exists: true
                          +wasRecentlyCreated: false
                          #escapeWhenCastingToString: false
                          #attributes: array:12 [ …12]
                          #original: array:12 [ …12]
                          #changes: []
                          #casts: []
                          #classCastCache: []
                          #attributeCastCache: []
                          #dateFormat: null
                          #appends: []
                          #dispatchesEvents: []
                          #observables: []
                          #relations: []
                          #touches: []
                          +timestamps: true
                          +usesUniqueIds: false
                          #hidden: []
                          #visible: []
                          #fillable: []
                          #guarded: array:1 [ …1]
                        }
                      ]
                      #escapeWhenCastingToString: false
                    }
                    "field_author_foreign" => Illuminate\Database\Eloquent\Collection {#5774
                      #items: []
                      #escapeWhenCastingToString: false
                    }
                    "field_book_type" => Illuminate\Database\Eloquent\Collection {#5775
                      #items: array:1 [
                        0 => App\Models\Term {#5776
                          #connection: "mysql"
                          #table: "terms"
                          #primaryKey: "id"
                          #keyType: "int"
                          +incrementing: false
                          #with: []
                          #withCount: []
                          +preventsLazyLoading: false
                          #perPage: 15
                          +exists: true
                          +wasRecentlyCreated: false
                          #escapeWhenCastingToString: false
                          #attributes: array:10 [ …10]
                          #original: array:10 [ …10]
                          #changes: []
                          #casts: []
                          #classCastCache: []
                          #attributeCastCache: []
                          #dateFormat: null
                          #appends: []
                          #dispatchesEvents: []
                          #observables: []
                          #relations: []
                          #touches: []
                          +timestamps: true
                          +usesUniqueIds: false
                          #hidden: []
                          #visible: []
                          #fillable: []
                          #guarded: array:1 [ …1]
                        }
                      ]
                      #escapeWhenCastingToString: false
                    }
                    "field_country" => Illuminate\Database\Eloquent\Collection {#5777
                      #items: array:1 [
                        0 => App\Models\Term {#5778
                          #connection: "mysql"
                          #table: "terms"
                          #primaryKey: "id"
                          #keyType: "int"
                          +incrementing: false
                          #with: []
                          #withCount: []
                          +preventsLazyLoading: false
                          #perPage: 15
                          +exists: true
                          +wasRecentlyCreated: false
                          #escapeWhenCastingToString: false
                          #attributes: array:6 [ …6]
                          #original: array:6 [ …6]
                          #changes: []
                          #casts: []
                          #classCastCache: []
                          #attributeCastCache: []
                          #dateFormat: null
                          #appends: []
                          #dispatchesEvents: []
                          #observables: []
                          #relations: []
                          #touches: []
                          +timestamps: true
                          +usesUniqueIds: false
                          #hidden: []
                          #visible: []
                          #fillable: []
                          #guarded: array:1 [ …1]
                        }
                      ]
                      #escapeWhenCastingToString: false
                    }
                    "field_city" => Illuminate\Database\Eloquent\Collection {#5779
                      #items: array:1 [
                        0 => App\Models\Term {#5780
                          #connection: "mysql"
                          #table: "terms"
                          #primaryKey: "id"
                          #keyType: "int"
                          +incrementing: false
                          #with: []
                          #withCount: []
                          +preventsLazyLoading: false
                          #perPage: 15
                          +exists: true
                          +wasRecentlyCreated: false
                          #escapeWhenCastingToString: false
                          #attributes: array:6 [ …6]
                          #original: array:6 [ …6]
                          #changes: []
                          #casts: []
                          #classCastCache: []
                          #attributeCastCache: []
                          #dateFormat: null
                          #appends: []
                          #dispatchesEvents: []
                          #observables: []
                          #relations: []
                          #touches: []
                          +timestamps: true
                          +usesUniqueIds: false
                          #hidden: []
                          #visible: []
                          #fillable: []
                          #guarded: array:1 [ …1]
                        }
                      ]
                      #escapeWhenCastingToString: false
                    }
                    "field_series" => Illuminate\Database\Eloquent\Collection {#5781
                      #items: []
                      #escapeWhenCastingToString: false
                    }
                    "field_umk" => Illuminate\Database\Eloquent\Collection {#5782
                      #items: []
                      #escapeWhenCastingToString: false
                    }
                    "field_level_of_education" => Illuminate\Database\Eloquent\Collection {#5783
                      #items: []
                      #escapeWhenCastingToString: false
                    }
                    "field_standart_of_education" => Illuminate\Database\Eloquent\Collection {#5784
                      #items: []
                      #escapeWhenCastingToString: false
                    }
                    "field_publication_number" => null
                    "field_publication_type" => Illuminate\Database\Eloquent\Collection {#5785
                      #items: []
                      #escapeWhenCastingToString: false
                    }
                    "field_under_the_edition" => Illuminate\Database\Eloquent\Collection {#5786
                      #items: []
                      #escapeWhenCastingToString: false
                    }
                    "field_under_the_edition_degree" => null
                    "field_cover_description" => null
                    "field_publication_year" => "2018"
                    "field_publication_year_until" => null
                    "field_part" => ""
                    "field_part_writing" => ""
                    "field_second_foreign_language" => null
                    "field_for_whom" => "Учебник для учащихся общеобразовательной "
                    "field_allowed" => "Утверждено Министерством образования и науки Республики Казахстан"
                    "field_reserve_field" => null
                    "field_link_to_source" => null
                    "field_tasks_count" => "722"
                    "field_priority" => "4"
                    "field_default_folder" => "/algebra_08/Abylkasymova/"
                    "field_isbn" => "978-601-317-332-0"
                    "field_cover" => array:2 [
                      0 => "/media/algebra_08/Abylkasymova/covers/cover1.webp?ts=1752132516"
                      1 => "/media/algebra_08/Abylkasymova/covers/cover2.webp?ts=1752132516"
                    ]
                    "field_cover_alts" => array:2 [
                      0 => ""
                      1 => ""
                    ]
                    "field_covers" => array:2 [
                      0 => array:4 [
                        "path" => "/media/algebra_08/Abylkasymova/covers/cover1.webp?ts=1752132516"
                        "alt" => ""
                        "width" => "556"
                        "height" => "842"
                      ]
                      1 => array:4 [
                        "path" => "/media/algebra_08/Abylkasymova/covers/cover2.webp?ts=1752132516"
                        "alt" => ""
                        "width" => "442"
                        "height" => "673"
                      ]
                    ]
                    "field_popular_book" => null
                    "field_recommended_books" => Illuminate\Database\Eloquent\Collection {#5787
                      #items: []
                      #escapeWhenCastingToString: false
                    }
                    "field_new_book" => Illuminate\Database\Eloquent\Collection {#5788
                      #items: []
                      #escapeWhenCastingToString: false
                    }
                    "field_old_book" => Illuminate\Database\Eloquent\Collection {#5789
                      #items: []
                      #escapeWhenCastingToString: false
                    }
                    "field_url" => "/8-klass/algebra/kokshetau-soltan-uchebnik"
                    "field_cover_color" => Illuminate\Database\Eloquent\Collection {#5790
                      #items: []
                      #escapeWhenCastingToString: false
                    }
                    "field_metatags_title" => null
                    "field_metatags_description" => null
                    "field_h1" => null
                    "field_description_top" => null
                    "field_description_bottom" => null
                    "breadcrumbs" => array:3 [
                      "class" => 379
                      "subject" => 542
                      "class_subject" => 385
                    ]
                  ]
                  #original: array:50 [
                    "id" => 4291
                    "created_at" => "2026-04-10 13:58:26"
                    "updated_at" => null
                    "field_tree_default_status" => "tasks"
                    "field_pages_status" => null
                    "field_subject" => Illuminate\Database\Eloquent\Collection {#5752}
                    "field_class" => Illuminate\Database\Eloquent\Collection {#5761}
                    "field_publisher" => Illuminate\Database\Eloquent\Collection {#5768}
                    "field_author" => Illuminate\Database\Eloquent\Collection {#5762}
                    "field_author_foreign" => Illuminate\Database\Eloquent\Collection {#5774}
                    "field_book_type" => Illuminate\Database\Eloquent\Collection {#5775}
                    "field_country" => Illuminate\Database\Eloquent\Collection {#5777}
                    "field_city" => Illuminate\Database\Eloquent\Collection {#5779}
                    "field_series" => Illuminate\Database\Eloquent\Collection {#5781}
                    "field_umk" => Illuminate\Database\Eloquent\Collection {#5782}
                    "field_level_of_education" => Illuminate\Database\Eloquent\Collection {#5783}
                    "field_standart_of_education" => Illuminate\Database\Eloquent\Collection {#5784}
                    "field_publication_number" => null
                    "field_publication_type" => Illuminate\Database\Eloquent\Collection {#5785}
                    "field_under_the_edition" => Illuminate\Database\Eloquent\Collection {#5786}
                    "field_under_the_edition_degree" => null
                    "field_cover_description" => null
                    "field_publication_year" => "2018"
                    "field_publication_year_until" => null
                    "field_part" => ""
                    "field_part_writing" => ""
                    "field_second_foreign_language" => null
                    "field_for_whom" => "Учебник для учащихся общеобразовательной "
                    "field_allowed" => "Утверждено Министерством образования и науки Республики Казахстан"
                    "field_reserve_field" => null
                    "field_link_to_source" => null
                    "field_tasks_count" => "722"
                    "field_priority" => "4"
                    "field_default_folder" => "/algebra_08/Abylkasymova/"
                    "field_isbn" => "978-601-317-332-0"
                    "field_cover" => array:2 [
                      0 => "/media/algebra_08/Abylkasymova/covers/cover1.webp?ts=1752132516"
                      1 => "/media/algebra_08/Abylkasymova/covers/cover2.webp?ts=1752132516"
                    ]
                    "field_cover_alts" => array:2 [
                      0 => ""
                      1 => ""
                    ]
                    "field_covers" => array:2 [
                      0 => array:4 [
                        "path" => "/media/algebra_08/Abylkasymova/covers/cover1.webp?ts=1752132516"
                        "alt" => ""
                        "width" => "556"
                        "height" => "842"
                      ]
                      1 => array:4 [
                        "path" => "/media/algebra_08/Abylkasymova/covers/cover2.webp?ts=1752132516"
                        "alt" => ""
                        "width" => "442"
                        "height" => "673"
                      ]
                    ]
                    "field_popular_book" => null
                    "field_recommended_books" => Illuminate\Database\Eloquent\Collection {#5787}
                    "field_new_book" => Illuminate\Database\Eloquent\Collection {#5788}
                    "field_old_book" => Illuminate\Database\Eloquent\Collection {#5789}
                    "field_url" => "/8-klass/algebra/kokshetau-soltan-uchebnik"
                    "field_cover_color" => Illuminate\Database\Eloquent\Collection {#5790}
                    "field_metatags_title" => null
                    "field_metatags_description" => null
                    "field_h1" => null
                    "field_description_top" => null
                    "field_description_bottom" => null
                    "breadcrumbs" => array:3 [
                      "class" => 379
                      "subject" => 542
                      "class_subject" => 385
                    ]
                  ]
                  #changes: []
                  #casts: []
                  #classCastCache: []
                  #attributeCastCache: []
                  #dateFormat: null
                  #appends: []
                  #dispatchesEvents: []
                  #observables: []
                  #relations: []
                  #touches: []
                  +timestamps: true
                  +usesUniqueIds: false
                  #hidden: []
                  #visible: []
                  #fillable: []
                  #guarded: array:1 [
                    0 => "*"
                  ]
                }
              ]
              #escapeWhenCastingToString: false
            }
            "field_metatags_title" => null
            "field_metatags_description" => null
            "field_h1" => null
            "field_description_top" => null
            "field_description_bottom" => null
            "edition_groups" => Illuminate\Database\Eloquent\Collection {#5791
              #items: []
              #escapeWhenCastingToString: false
            }
            "content" => Illuminate\Database\Eloquent\Collection {#5792
              #items: array:2 [
                0 => App\Models\Element {#5793
                  #connection: "mysql"
                  #table: "elements"
                  #primaryKey: "id"
                  #keyType: "int"
                  +incrementing: true
                  #with: []
                  #withCount: []
                  +preventsLazyLoading: false
                  #perPage: 15
                  +exists: true
                  +wasRecentlyCreated: false
                  #escapeWhenCastingToString: false
                  #attributes: array:6 [
                    "id" => 1259445
                    "created_at" => "2026-04-10 13:58:26"
                    "updated_at" => null
                    "edition" => Illuminate\Database\Eloquent\Collection {#5794
                      #items: array:1 [
                        0 => App\Models\Edition {#5795
                          #connection: "mysql"
                          #table: "editions"
                           …28
                        }
                      ]
                      #escapeWhenCastingToString: false
                    }
                    "book_page" => array:2 [
                      "refs" => "1095945"
                      "type" => "book_page"
                    ]
                    "img" => array:1 [
                      0 => array:5 [
                        "name" => "44-1.jpg"
                        "alt" => null
                        "width" => "2066"
                        "height" => 3032
                        "path" => "/media/algebra_08/Abylkasymova/rus0-1/44-1.webp?ts=1752133276"
                      ]
                    ]
                  ]
                  #original: array:6 [
                    "id" => 1259445
                    "created_at" => "2026-04-10 13:58:26"
                    "updated_at" => null
                    "edition" => Illuminate\Database\Eloquent\Collection {#5794}
                    "book_page" => array:2 [
                      "refs" => "1095945"
                      "type" => "book_page"
                    ]
                    "img" => array:1 [
                      0 => array:5 [
                        "name" => "44-1.jpg"
                        "alt" => null
                        "width" => "2066"
                        "height" => 3032
                        "path" => "/media/algebra_08/Abylkasymova/rus0-1/44-1.webp?ts=1752133276"
                      ]
                    ]
                  ]
                  #changes: []
                  #casts: []
                  #classCastCache: []
                  #attributeCastCache: []
                  #dateFormat: null
                  #appends: []
                  #dispatchesEvents: []
                  #observables: []
                  #relations: []
                  #touches: []
                  +timestamps: true
                  +usesUniqueIds: false
                  #hidden: []
                  #visible: []
                  #fillable: []
                  #guarded: array:1 [
                    0 => "*"
                  ]
                }
                1 => App\Models\Element {#5801
                  #connection: "mysql"
                  #table: "elements"
                  #primaryKey: "id"
                  #keyType: "int"
                  +incrementing: true
                  #with: []
                  #withCount: []
                  +preventsLazyLoading: false
                  #perPage: 15
                  +exists: true
                  +wasRecentlyCreated: false
                  #escapeWhenCastingToString: false
                  #attributes: array:6 [
                    "id" => 1259476
                    "created_at" => "2026-04-10 13:58:26"
                    "updated_at" => null
                    "edition" => Illuminate\Database\Eloquent\Collection {#5802
                      #items: array:1 [
                        0 => App\Models\Edition {#5803 …30}
                      ]
                      #escapeWhenCastingToString: false
                    }
                    "book_page" => array:2 [
                      "refs" => "1095945"
                      "type" => "book_page"
                    ]
                    "img" => array:1 [
                      0 => array:5 [
                        "name" => "44-1.jpg"
                        "alt" => null
                        "width" => "2009"
                        "height" => 2972
                        "path" => "/media/algebra_08/Abylkasymova/kz0-1/44-1.webp?ts=1752133281"
                      ]
                    ]
                  ]
                  #original: array:6 [
                    "id" => 1259476
                    "created_at" => "2026-04-10 13:58:26"
                    "updated_at" => null
                    "edition" => Illuminate\Database\Eloquent\Collection {#5802}
                    "book_page" => array:2 [
                      "refs" => "1095945"
                      "type" => "book_page"
                    ]
                    "img" => array:1 [
                      0 => array:5 [
                        "name" => "44-1.jpg"
                        "alt" => null
                        "width" => "2009"
                        "height" => 2972
                        "path" => "/media/algebra_08/Abylkasymova/kz0-1/44-1.webp?ts=1752133281"
                      ]
                    ]
                  ]
                  #changes: []
                  #casts: []
                  #classCastCache: []
                  #attributeCastCache: []
                  #dateFormat: null
                  #appends: []
                  #dispatchesEvents: []
                  #observables: []
                  #relations: []
                  #touches: []
                  +timestamps: true
                  +usesUniqueIds: false
                  #hidden: []
                  #visible: []
                  #fillable: []
                  #guarded: array:1 [
                    0 => "*"
                  ]
                }
              ]
              #escapeWhenCastingToString: false
            }
            "next" => array:2 [
              "refs" => "1095946"
              "type" => "book_page"
            ]
            "previous" => array:2 [
              "refs" => "1095944"
              "type" => "book_page"
            ]
            "tasks" => Illuminate\Database\Eloquent\Collection {#5809
              #items: array:4 [
                0 => App\Models\Task {#5810
                  #connection: "mysql"
                  #table: "tasks"
                  #primaryKey: "id"
                  #keyType: "int"
                  +incrementing: true
                  #with: []
                  #withCount: []
                  +preventsLazyLoading: false
                  #perPage: 15
                  +exists: true
                  +wasRecentlyCreated: false
                  #escapeWhenCastingToString: false
                  #attributes: array:24 [
                    "id" => 1103314
                    "created_at" => "2026-04-10 13:58:26"
                    "updated_at" => null
                    "field_page_start" => "44"
                    "field_page_end" => null
                    "field_url" => "/8-klass/algebra/kokshetau-soltan-uchebnik/vopr-44"
                    "field_display_title" => "Вопросы"
                    "field_outside_task" => null
                    "field_task_type" => Illuminate\Database\Eloquent\Collection {#5811
                      #items: []
                      #escapeWhenCastingToString: false
                    }
                    "field_metatags_title" => null
                    "field_metatags_description" => null
                    "field_h1" => null
                    "field_description_top" => null
                    "field_description_bottom" => null
                    "field_match" => null
                    "breadcrumbs" => []
                    "edition_groups" => Illuminate\Database\Eloquent\Collection {#5812
                      #items: []
                      #escapeWhenCastingToString: false
                    }
                    "top_parent_branch" => Illuminate\Database\Eloquent\Collection {#5813
                      #items: array:1 [
                        0 => App\Models\Branch {#5814 …30}
                      ]
                      #escapeWhenCastingToString: false
                    }
                    "parent_branches" => Illuminate\Database\Eloquent\Collection {#5846
                      #items: array:2 [
                        0 => App\Models\Branch {#5814 …30}
                        1 => App\Models\Branch {#5847 …30}
                      ]
                      #escapeWhenCastingToString: false
                    }
                    "content" => Illuminate\Database\Eloquent\Collection {#5911
                      #items: array:3 [
                        0 => App\Models\Element {#5912 …30}
                        1 => App\Models\Element {#5914 …30}
                        2 => App\Models\Element {#5916 …30}
                      ]
                      #escapeWhenCastingToString: false
                    }
                    "next" => array:2 [
                      "refs" => "1103315"
                      "type" => "task"
                    ]
                    "previous" => array:2 [
                      "refs" => "1103313"
                      "type" => "task"
                    ]
                    "book" => Illuminate\Database\Eloquent\Collection {#5924
                      #items: array:1 [
                        0 => App\Models\Book {#5742}
                      ]
                      #escapeWhenCastingToString: false
                    }
                    "page" => array:2 [
                      "refs" => "1095945"
                      "type" => "book_page"
                    ]
                  ]
                  #original: array:24 [
                    "id" => 1103314
                    "created_at" => "2026-04-10 13:58:26"
                    "updated_at" => null
                    "field_page_start" => "44"
                    "field_page_end" => null
                    "field_url" => "/8-klass/algebra/kokshetau-soltan-uchebnik/vopr-44"
                    "field_display_title" => "Вопросы"
                    "field_outside_task" => null
                    "field_task_type" => Illuminate\Database\Eloquent\Collection {#5811}
                    "field_metatags_title" => null
                    "field_metatags_description" => null
                    "field_h1" => null
                    "field_description_top" => null
                    "field_description_bottom" => null
                    "field_match" => null
                    "breadcrumbs" => []
                    "edition_groups" => Illuminate\Database\Eloquent\Collection {#5812}
                    "top_parent_branch" => Illuminate\Database\Eloquent\Collection {#5813}
                    "parent_branches" => Illuminate\Database\Eloquent\Collection {#5846}
                    "content" => Illuminate\Database\Eloquent\Collection {#5911}
                    "next" => array:2 [
                      "refs" => "1103315"
                      "type" => "task"
                    ]
                    "previous" => array:2 [
                      "refs" => "1103313"
                      "type" => "task"
                    ]
                    "book" => Illuminate\Database\Eloquent\Collection {#5924}
                    "page" => array:2 [
                      "refs" => "1095945"
                      "type" => "book_page"
                    ]
                  ]
                  #changes: []
                  #casts: []
                  #classCastCache: []
                  #attributeCastCache: []
                  #dateFormat: null
                  #appends: []
                  #dispatchesEvents: []
                  #observables: []
                  #relations: []
                  #touches: []
                  +timestamps: true
                  +usesUniqueIds: false
                  #hidden: []
                  #visible: []
                  #fillable: []
                  #guarded: array:1 [
                    0 => "*"
                  ]
                }
                1 => App\Models\Task {#5925
                  #connection: "mysql"
                  #table: "tasks"
                  #primaryKey: "id"
                  #keyType: "int"
                  +incrementing: true
                  #with: []
                  #withCount: []
                  +preventsLazyLoading: false
                  #perPage: 15
                  +exists: true
                  +wasRecentlyCreated: false
                  #escapeWhenCastingToString: false
                  #attributes: array:24 [
                    "id" => 1103315
                    "created_at" => "2026-04-10 13:58:26"
                    "updated_at" => null
                    "field_page_start" => "44"
                    "field_page_end" => null
                    "field_url" => "/8-klass/algebra/kokshetau-soltan-uchebnik/1-127"
                    "field_display_title" => "127"
                    "field_outside_task" => null
                    "field_task_type" => Illuminate\Database\Eloquent\Collection {#5926
                      #items: array:1 [
                        0 => App\Models\Term {#5927 …30}
                      ]
                      #escapeWhenCastingToString: false
                    }
                    "field_metatags_title" => null
                    "field_metatags_description" => null
                    "field_h1" => null
                    "field_description_top" => null
                    "field_description_bottom" => null
                    "field_match" => null
                    "breadcrumbs" => []
                    "edition_groups" => Illuminate\Database\Eloquent\Collection {#5928
                      #items: []
                      #escapeWhenCastingToString: false
                    }
                    "top_parent_branch" => Illuminate\Database\Eloquent\Collection {#5929
                      #items: array:1 [
                        0 => App\Models\Branch {#5814 …30}
                      ]
                      #escapeWhenCastingToString: false
                    }
                    "parent_branches" => Illuminate\Database\Eloquent\Collection {#5930
                      #items: array:2 [
                        0 => App\Models\Branch {#5814 …30}
                        1 => App\Models\Branch {#5847 …30}
                      ]
                      #escapeWhenCastingToString: false
                    }
                    "content" => Illuminate\Database\Eloquent\Collection {#5931
                      #items: array:3 [
                        0 => App\Models\Element {#5932 …30}
                        1 => App\Models\Element {#5934 …30}
                        2 => App\Models\Element {#5936 …30}
                      ]
                      #escapeWhenCastingToString: false
                    }
                    "next" => array:2 [
                      "refs" => "1103316"
                      "type" => "task"
                    ]
                    "previous" => array:2 [
                      "refs" => "1103314"
                      "type" => "task"
                    ]
                    "book" => Illuminate\Database\Eloquent\Collection {#5938
                      #items: array:1 [
                        0 => App\Models\Book {#5742}
                      ]
                      #escapeWhenCastingToString: false
                    }
                    "page" => array:2 [
                      "refs" => "1095945"
                      "type" => "book_page"
                    ]
                  ]
                  #original: array:24 [
                    "id" => 1103315
                    "created_at" => "2026-04-10 13:58:26"
                    "updated_at" => null
                    "field_page_start" => "44"
                    "field_page_end" => null
                    "field_url" => "/8-klass/algebra/kokshetau-soltan-uchebnik/1-127"
                    "field_display_title" => "127"
                    "field_outside_task" => null
                    "field_task_type" => Illuminate\Database\Eloquent\Collection {#5926}
                    "field_metatags_title" => null
                    "field_metatags_description" => null
                    "field_h1" => null
                    "field_description_top" => null
                    "field_description_bottom" => null
                    "field_match" => null
                    "breadcrumbs" => []
                    "edition_groups" => Illuminate\Database\Eloquent\Collection {#5928}
                    "top_parent_branch" => Illuminate\Database\Eloquent\Collection {#5929}
                    "parent_branches" => Illuminate\Database\Eloquent\Collection {#5930}
                    "content" => Illuminate\Database\Eloquent\Collection {#5931}
                    "next" => array:2 [
                      "refs" => "1103316"
                      "type" => "task"
                    ]
                    "previous" => array:2 [
                      "refs" => "1103314"
                      "type" => "task"
                    ]
                    "book" => Illuminate\Database\Eloquent\Collection {#5938}
                    "page" => array:2 [
                      "refs" => "1095945"
                      "type" => "book_page"
                    ]
                  ]
                  #changes: []
                  #casts: []
                  #classCastCache: []
                  #attributeCastCache: []
                  #dateFormat: null
                  #appends: []
                  #dispatchesEvents: []
                  #observables: []
                  #relations: []
                  #touches: []
                  +timestamps: true
                  +usesUniqueIds: false
                  #hidden: []
                  #visible: []
                  #fillable: []
                  #guarded: array:1 [
                    0 => "*"
                  ]
                }
                2 => App\Models\Task {#5939
                  #connection: "mysql"
                  #table: "tasks"
                  #primaryKey: "id"
                  #keyType: "int"
                  +incrementing: true
                  #with: []
                  #withCount: []
                  +preventsLazyLoading: false
                  #perPage: 15
                  +exists: true
                  +wasRecentlyCreated: false
                  #escapeWhenCastingToString: false
                  #attributes: array:24 [
                    "id" => 1103316
                    "created_at" => "2026-04-10 13:58:26"
                    "updated_at" => null
                    "field_page_start" => "44"
                    "field_page_end" => null
                    "field_url" => "/8-klass/algebra/kokshetau-soltan-uchebnik/1-128"
                    "field_display_title" => "128"
                    "field_outside_task" => null
                    "field_task_type" => Illuminate\Database\Eloquent\Collection {#5940
                      #items: array:1 [
                        0 => App\Models\Term {#5927 …30}
                      ]
                      #escapeWhenCastingToString: false
                    }
                    "field_metatags_title" => null
                    "field_metatags_description" => null
                    "field_h1" => null
                    "field_description_top" => null
                    "field_description_bottom" => null
                    "field_match" => null
                    "breadcrumbs" => []
                    "edition_groups" => Illuminate\Database\Eloquent\Collection {#5941
                      #items: []
                      #escapeWhenCastingToString: false
                    }
                    "top_parent_branch" => Illuminate\Database\Eloquent\Collection {#5942
                      #items: array:1 [
                        0 => App\Models\Branch {#5814 …30}
                      ]
                      #escapeWhenCastingToString: false
                    }
                    "parent_branches" => Illuminate\Database\Eloquent\Collection {#5943
                      #items: array:2 [
                        0 => App\Models\Branch {#5814 …30}
                        1 => App\Models\Branch {#5847 …30}
                      ]
                      #escapeWhenCastingToString: false
                    }
                    "content" => Illuminate\Database\Eloquent\Collection {#5944
                      #items: array:3 [
                        0 => App\Models\Element {#5945 …30}
                        1 => App\Models\Element {#5947 …30}
                        2 => App\Models\Element {#5949 …30}
                      ]
                      #escapeWhenCastingToString: false
                    }
                    "next" => array:2 [
                      "refs" => "1103317"
                      "type" => "task"
                    ]
                    "previous" => array:2 [
                      "refs" => "1103315"
                      "type" => "task"
                    ]
                    "book" => Illuminate\Database\Eloquent\Collection {#5951
                      #items: array:1 [
                        0 => App\Models\Book {#5742}
                      ]
                      #escapeWhenCastingToString: false
                    }
                    "page" => array:2 [
                      "refs" => "1095945"
                      "type" => "book_page"
                    ]
                  ]
                  #original: array:24 [
                    "id" => 1103316
                    "created_at" => "2026-04-10 13:58:26"
                    "updated_at" => null
                    "field_page_start" => "44"
                    "field_page_end" => null
                    "field_url" => "/8-klass/algebra/kokshetau-soltan-uchebnik/1-128"
                    "field_display_title" => "128"
                    "field_outside_task" => null
                    "field_task_type" => Illuminate\Database\Eloquent\Collection {#5940}
                    "field_metatags_title" => null
                    "field_metatags_description" => null
                    "field_h1" => null
                    "field_description_top" => null
                    "field_description_bottom" => null
                    "field_match" => null
                    "breadcrumbs" => []
                    "edition_groups" => Illuminate\Database\Eloquent\Collection {#5941}
                    "top_parent_branch" => Illuminate\Database\Eloquent\Collection {#5942}
                    "parent_branches" => Illuminate\Database\Eloquent\Collection {#5943}
                    "content" => Illuminate\Database\Eloquent\Collection {#5944}
                    "next" => array:2 [
                      "refs" => "1103317"
                      "type" => "task"
                    ]
                    "previous" => array:2 [
                      "refs" => "1103315"
                      "type" => "task"
                    ]
                    "book" => Illuminate\Database\Eloquent\Collection {#5951}
                    "page" => array:2 [
                      "refs" => "1095945"
                      "type" => "book_page"
                    ]
                  ]
                  #changes: []
                  #casts: []
                  #classCastCache: []
                  #attributeCastCache: []
                  #dateFormat: null
                  #appends: []
                  #dispatchesEvents: []
                  #observables: []
                  #relations: []
                  #touches: []
                  +timestamps: true
                  +usesUniqueIds: false
                  #hidden: []
                  #visible: []
                  #fillable: []
                  #guarded: array:1 [
                    0 => "*"
                  ]
                }
                3 => App\Models\Task {#5952
                  #connection: "mysql"
                  #table: "tasks"
                  #primaryKey: "id"
                  #keyType: "int"
                  +incrementing: true
                  #with: []
                  #withCount: []
                  +preventsLazyLoading: false
                  #perPage: 15
                  +exists: true
                  +wasRecentlyCreated: false
                  #escapeWhenCastingToString: false
                  #attributes: array:24 [
                    "id" => 1103317
                    "created_at" => "2026-04-10 13:58:26"
                    "updated_at" => null
                    "field_page_start" => "44"
                    "field_page_end" => "45"
                    "field_url" => "/8-klass/algebra/kokshetau-soltan-uchebnik/1-129"
                    "field_display_title" => "129"
                    "field_outside_task" => "0"
                    "field_task_type" => Illuminate\Database\Eloquent\Collection {#5953
                      #items: array:1 [
                        0 => App\Models\Term {#5927 …30}
                      ]
                      #escapeWhenCastingToString: false
                    }
                    "field_metatags_title" => null
                    "field_metatags_description" => null
                    "field_h1" => null
                    "field_description_top" => null
                    "field_description_bottom" => null
                    "field_match" => null
                    "breadcrumbs" => []
                    "edition_groups" => Illuminate\Database\Eloquent\Collection {#5954
                      #items: []
                      #escapeWhenCastingToString: false
                    }
                    "top_parent_branch" => Illuminate\Database\Eloquent\Collection {#5955
                      #items: array:1 [
                        0 => App\Models\Branch {#5814 …30}
                      ]
                      #escapeWhenCastingToString: false
                    }
                    "parent_branches" => Illuminate\Database\Eloquent\Collection {#5956
                      #items: array:2 [
                        0 => App\Models\Branch {#5814 …30}
                        1 => App\Models\Branch {#5847 …30}
                      ]
                      #escapeWhenCastingToString: false
                    }
                    "content" => Illuminate\Database\Eloquent\Collection {#5957
                      #items: array:3 [
                        0 => App\Models\Element {#5958 …30}
                        1 => App\Models\Element {#5960 …30}
                        2 => App\Models\Element {#5962 …30}
                      ]
                      #escapeWhenCastingToString: false
                    }
                    "next" => array:2 [
                      "refs" => "1103318"
                      "type" => "task"
                    ]
                    "previous" => array:2 [
                      "refs" => "1103316"
                      "type" => "task"
                    ]
                    "book" => Illuminate\Database\Eloquent\Collection {#5964
                      #items: array:1 [
                        0 => App\Models\Book {#5742}
                      ]
                      #escapeWhenCastingToString: false
                    }
                    "page" => array:2 [
                      "refs" => "1095945"
                      "type" => "book_page"
                    ]
                  ]
                  #original: array:24 [
                    "id" => 1103317
                    "created_at" => "2026-04-10 13:58:26"
                    "updated_at" => null
                    "field_page_start" => "44"
                    "field_page_end" => "45"
                    "field_url" => "/8-klass/algebra/kokshetau-soltan-uchebnik/1-129"
                    "field_display_title" => "129"
                    "field_outside_task" => "0"
                    "field_task_type" => Illuminate\Database\Eloquent\Collection {#5953}
                    "field_metatags_title" => null
                    "field_metatags_description" => null
                    "field_h1" => null
                    "field_description_top" => null
                    "field_description_bottom" => null
                    "field_match" => null
                    "breadcrumbs" => []
                    "edition_groups" => Illuminate\Database\Eloquent\Collection {#5954}
                    "top_parent_branch" => Illuminate\Database\Eloquent\Collection {#5955}
                    "parent_branches" => Illuminate\Database\Eloquent\Collection {#5956}
                    "content" => Illuminate\Database\Eloquent\Collection {#5957}
                    "next" => array:2 [
                      "refs" => "1103318"
                      "type" => "task"
                    ]
                    "previous" => array:2 [
                      "refs" => "1103316"
                      "type" => "task"
                    ]
                    "book" => Illuminate\Database\Eloquent\Collection {#5964}
                    "page" => array:2 [
                      "refs" => "1095945"
                      "type" => "book_page"
                    ]
                  ]
                  #changes: []
                  #casts: []
                  #classCastCache: []
                  #attributeCastCache: []
                  #dateFormat: null
                  #appends: []
                  #dispatchesEvents: []
                  #observables: []
                  #relations: []
                  #touches: []
                  +timestamps: true
                  +usesUniqueIds: false
                  #hidden: []
                  #visible: []
                  #fillable: []
                  #guarded: array:1 [
                    0 => "*"
                  ]
                }
              ]
              #escapeWhenCastingToString: false
            }
          ]
          #original: array:21 [
            "id" => 1095945
            "created_at" => "2026-04-10 13:58:26"
            "updated_at" => null
            "field_page_start" => "44"
            "field_url" => "/8-klass/algebra/kokshetau-soltan-uchebnik/page-44"
            "field_display_title" => "44"
            "field_folder" => "1"
            "field_image_name" => "44"
            "field_branch_parent" => Illuminate\Database\Eloquent\Collection {#5751}
            "field_weight" => "0"
            "field_book_parent" => Illuminate\Database\Eloquent\Collection {#5747}
            "field_metatags_title" => null
            "field_metatags_description" => null
            "field_h1" => null
            "field_description_top" => null
            "field_description_bottom" => null
            "edition_groups" => Illuminate\Database\Eloquent\Collection {#5791}
            "content" => Illuminate\Database\Eloquent\Collection {#5792}
            "next" => array:2 [
              "refs" => "1095946"
              "type" => "book_page"
            ]
            "previous" => array:2 [
              "refs" => "1095944"
              "type" => "book_page"
            ]
            "tasks" => Illuminate\Database\Eloquent\Collection {#5809}
          ]
          #changes: []
          #casts: []
          #classCastCache: []
          #attributeCastCache: []
          #dateFormat: null
          #appends: []
          #dispatchesEvents: []
          #observables: []
          #relations: []
          #touches: []
          +timestamps: true
          +usesUniqueIds: false
          #hidden: []
          #visible: []
          #fillable: []
          #guarded: array:1 [
            0 => "*"
          ]
        }
      ]
      #escapeWhenCastingToString: false
    }
    "previous" => Illuminate\Database\Eloquent\Collection {#5755
      #items: array:1 [
        0 => App\Models\BookPage {#5754
          #connection: "mysql"
          #table: "book_pages"
          #primaryKey: "id"
          #keyType: "int"
          +incrementing: true
          #with: []
          #withCount: []
          +preventsLazyLoading: false
          #perPage: 15
          +exists: true
          +wasRecentlyCreated: false
          #escapeWhenCastingToString: false
          #attributes: array:21 [
            "id" => 1095943
            "created_at" => "2026-04-10 13:58:26"
            "updated_at" => null
            "field_page_start" => "42"
            "field_url" => "/8-klass/algebra/kokshetau-soltan-uchebnik/page-42"
            "field_display_title" => "42"
            "field_folder" => "1"
            "field_image_name" => "42"
            "field_branch_parent" => Illuminate\Database\Eloquent\Collection {#5756
              #items: []
              #escapeWhenCastingToString: false
            }
            "field_weight" => "0"
            "field_book_parent" => Illuminate\Database\Eloquent\Collection {#5757
              #items: array:1 [
                0 => App\Models\Book {#1006}
              ]
              #escapeWhenCastingToString: false
            }
            "field_metatags_title" => null
            "field_metatags_description" => null
            "field_h1" => null
            "field_description_top" => null
            "field_description_bottom" => null
            "edition_groups" => Illuminate\Database\Eloquent\Collection {#5758
              #items: []
              #escapeWhenCastingToString: false
            }
            "content" => Illuminate\Database\Eloquent\Collection {#5760
              #items: array:2 [
                0 => App\Models\Element {#5769
                  #connection: "mysql"
                  #table: "elements"
                  #primaryKey: "id"
                  #keyType: "int"
                  +incrementing: true
                  #with: []
                  #withCount: []
                  +preventsLazyLoading: false
                  #perPage: 15
                  +exists: true
                  +wasRecentlyCreated: false
                  #escapeWhenCastingToString: false
                  #attributes: array:6 [
                    "id" => 1259441
                    "created_at" => "2026-04-10 13:58:26"
                    "updated_at" => null
                    "edition" => Illuminate\Database\Eloquent\Collection {#5770
                      #items: array:1 [
                        0 => App\Models\Edition {#1048}
                      ]
                      #escapeWhenCastingToString: false
                    }
                    "book_page" => array:2 [
                      "refs" => "1095943"
                      "type" => "book_page"
                    ]
                    "img" => array:1 [
                      0 => array:5 [
                        "name" => "42-1.jpg"
                        "alt" => null
                        "width" => "2066"
                        "height" => 3032
                        "path" => "/media/algebra_08/Abylkasymova/rus0-1/42-1.webp?ts=1752133276"
                      ]
                    ]
                  ]
                  #original: array:6 [
                    "id" => 1259441
                    "created_at" => "2026-04-10 13:58:26"
                    "updated_at" => null
                    "edition" => Illuminate\Database\Eloquent\Collection {#5770}
                    "book_page" => array:2 [
                      "refs" => "1095943"
                      "type" => "book_page"
                    ]
                    "img" => array:1 [
                      0 => array:5 [
                        "name" => "42-1.jpg"
                        "alt" => null
                        "width" => "2066"
                        "height" => 3032
                        "path" => "/media/algebra_08/Abylkasymova/rus0-1/42-1.webp?ts=1752133276"
                      ]
                    ]
                  ]
                  #changes: []
                  #casts: []
                  #classCastCache: []
                  #attributeCastCache: []
                  #dateFormat: null
                  #appends: []
                  #dispatchesEvents: []
                  #observables: []
                  #relations: []
                  #touches: []
                  +timestamps: true
                  +usesUniqueIds: false
                  #hidden: []
                  #visible: []
                  #fillable: []
                  #guarded: array:1 [
                    0 => "*"
                  ]
                }
                1 => App\Models\Element {#5771
                  #connection: "mysql"
                  #table: "elements"
                  #primaryKey: "id"
                  #keyType: "int"
                  +incrementing: true
                  #with: []
                  #withCount: []
                  +preventsLazyLoading: false
                  #perPage: 15
                  +exists: true
                  +wasRecentlyCreated: false
                  #escapeWhenCastingToString: false
                  #attributes: array:6 [
                    "id" => 1259472
                    "created_at" => "2026-04-10 13:58:26"
                    "updated_at" => null
                    "edition" => Illuminate\Database\Eloquent\Collection {#5772
                      #items: array:1 [
                        0 => App\Models\Edition {#1055}
                      ]
                      #escapeWhenCastingToString: false
                    }
                    "book_page" => array:2 [
                      "refs" => "1095943"
                      "type" => "book_page"
                    ]
                    "img" => array:1 [
                      0 => array:5 [
                        "name" => "42-1.jpg"
                        "alt" => null
                        "width" => "2009"
                        "height" => 2972
                        "path" => "/media/algebra_08/Abylkasymova/kz0-1/42-1.webp?ts=1752133281"
                      ]
                    ]
                  ]
                  #original: array:6 [
                    "id" => 1259472
                    "created_at" => "2026-04-10 13:58:26"
                    "updated_at" => null
                    "edition" => Illuminate\Database\Eloquent\Collection {#5772}
                    "book_page" => array:2 [
                      "refs" => "1095943"
                      "type" => "book_page"
                    ]
                    "img" => array:1 [
                      0 => array:5 [
                        "name" => "42-1.jpg"
                        "alt" => null
                        "width" => "2009"
                        "height" => 2972
                        "path" => "/media/algebra_08/Abylkasymova/kz0-1/42-1.webp?ts=1752133281"
                      ]
                    ]
                  ]
                  #changes: []
                  #casts: []
                  #classCastCache: []
                  #attributeCastCache: []
                  #dateFormat: null
                  #appends: []
                  #dispatchesEvents: []
                  #observables: []
                  #relations: []
                  #touches: []
                  +timestamps: true
                  +usesUniqueIds: false
                  #hidden: []
                  #visible: []
                  #fillable: []
                  #guarded: array:1 [
                    0 => "*"
                  ]
                }
              ]
              #escapeWhenCastingToString: false
            }
            "next" => array:2 [
              "refs" => "1095944"
              "type" => "book_page"
            ]
            "previous" => array:2 [
              "refs" => "1095942"
              "type" => "book_page"
            ]
            "tasks" => Illuminate\Database\Eloquent\Collection {#5766
              #items: []
              #escapeWhenCastingToString: false
            }
          ]
          #original: array:21 [
            "id" => 1095943
            "created_at" => "2026-04-10 13:58:26"
            "updated_at" => null
            "field_page_start" => "42"
            "field_url" => "/8-klass/algebra/kokshetau-soltan-uchebnik/page-42"
            "field_display_title" => "42"
            "field_folder" => "1"
            "field_image_name" => "42"
            "field_branch_parent" => Illuminate\Database\Eloquent\Collection {#5756}
            "field_weight" => "0"
            "field_book_parent" => Illuminate\Database\Eloquent\Collection {#5757}
            "field_metatags_title" => null
            "field_metatags_description" => null
            "field_h1" => null
            "field_description_top" => null
            "field_description_bottom" => null
            "edition_groups" => Illuminate\Database\Eloquent\Collection {#5758}
            "content" => Illuminate\Database\Eloquent\Collection {#5760}
            "next" => array:2 [
              "refs" => "1095944"
              "type" => "book_page"
            ]
            "previous" => array:2 [
              "refs" => "1095942"
              "type" => "book_page"
            ]
            "tasks" => Illuminate\Database\Eloquent\Collection {#5766}
          ]
          #changes: []
          #casts: []
          #classCastCache: []
          #attributeCastCache: []
          #dateFormat: null
          #appends: []
          #dispatchesEvents: []
          #observables: []
          #relations: []
          #touches: []
          +timestamps: true
          +usesUniqueIds: false
          #hidden: []
          #visible: []
          #fillable: []
          #guarded: array:1 [
            0 => "*"
          ]
        }
      ]
      #escapeWhenCastingToString: false
    }
    "tasks" => Illuminate\Database\Eloquent\Collection {#1044
      #items: []
      #escapeWhenCastingToString: false
    }
  ]
  #original: array:21 [
    "id" => 1095944
    "created_at" => "2026-04-10 13:58:26"
    "updated_at" => null
    "field_page_start" => "43"
    "field_url" => "/8-klass/algebra/kokshetau-soltan-uchebnik/page-43"
    "field_display_title" => "43"
    "field_folder" => "1"
    "field_image_name" => "43"
    "field_branch_parent" => Illuminate\Database\Eloquent\Collection {#1008}
    "field_weight" => "0"
    "field_book_parent" => Illuminate\Database\Eloquent\Collection {#1037}
    "field_metatags_title" => null
    "field_metatags_description" => null
    "field_h1" => null
    "field_description_top" => null
    "field_description_bottom" => null
    "edition_groups" => Illuminate\Database\Eloquent\Collection {#1035}
    "content" => Illuminate\Database\Eloquent\Collection {#1038}
    "next" => array:2 [
      "refs" => "1095945"
      "type" => "book_page"
    ]
    "previous" => array:2 [
      "refs" => "1095943"
      "type" => "book_page"
    ]
    "tasks" => Illuminate\Database\Eloquent\Collection {#1044}
  ]
  #changes: []
  #casts: []
  #classCastCache: []
  #attributeCastCache: []
  #dateFormat: null
  #appends: []
  #dispatchesEvents: []
  #observables: []
  #relations: []
  #touches: []
  +timestamps: true
  +usesUniqueIds: false
  #hidden: []
  #visible: []
  #fillable: []
  #guarded: array:1 [
    0 => "*"
  ]
}
Алгебра, 8 класс Учебник, авторы: Солтан Генадий Николаевич, Солтан Алла Евгеньевна, Жумадилова Аманбала Жумадиловна, издательство Кокшетау, Алматы, 2018, страница 43
Ваш номер не отображается здесь?
Такое бывает: задание могло начаться на предыдущей или следующей странице.

Помогло решение? Оставьте отзыв в комментариях ниже.

Присоединяйтесь к Телеграм-группе @top_gdz

Присоединиться