Номер 15.18, страница 78, часть 2 - гдз по алгебре 8 класс учебник Мордкович, Александрова

Алгебра, 8 класс Учебник, авторы: Мордкович Александр Григорьевич, Александрова Лилия Александровна, Мишустина Татьяна Николаевна, Тульчинская Елена Ефимовна, Семенов Павел Владимирович, издательство Мнемозина, Москва, 2019, часть 2

Авторы: Мордкович А. Г., Александрова Л. А., Мишустина Т. Н., Тульчинская Е. Е., Семенов П. В.

Тип: Учебник

Издательство: Мнемозина

Год издания: 2019 - 2026

Часть: 2

Допущено Министерством просвещения Российской Федерации

Часть 2. Глава 2. Функция у =√х свойства квадратного корня. Параграф 15. Свойства квадратных корней - номер 15.18, страница 78.

App\Models\Task {#1024 // resources/views/models/task/default.blade.php
  #connection: "mysql"
  #table: "tasks"
  #primaryKey: "id"
  #keyType: "int"
  +incrementing: true
  #with: []
  #withCount: []
  +preventsLazyLoading: false
  #perPage: 15
  +exists: true
  +wasRecentlyCreated: false
  #escapeWhenCastingToString: false
  #attributes: array:24 [
    "id" => 227377
    "created_at" => "2026-04-10 13:58:26"
    "updated_at" => null
    "field_page_start" => "78"
    "field_page_end" => null
    "field_url" => "/8-klass/algebra/mordkovich/15-18"
    "field_display_title" => "15.18"
    "field_outside_task" => null
    "field_task_type" => Illuminate\Database\Eloquent\Collection {#331
      #items: array:1 [
        0 => App\Models\Term {#1029
          #connection: "mysql"
          #table: "terms"
          #primaryKey: "id"
          #keyType: "int"
          +incrementing: false
          #with: []
          #withCount: []
          +preventsLazyLoading: false
          #perPage: 15
          +exists: true
          +wasRecentlyCreated: false
          #escapeWhenCastingToString: false
          #attributes: array:6 [
            "id" => 26
            "created_at" => "2026-04-10 13:58:26"
            "updated_at" => null
            "name" => "номер"
            "field_cases" => array:6 [
              "field_accusative_case" => "номер"
              "field_creative_case" => "номером"
              "field_dative_case" => "номеру"
              "field_genitive_case" => "номера"
              "field_nominative_case" => "номер"
              "field_prepositional_case" => "номере"
            ]
            "field_short_name" => ""
          ]
          #original: array:6 [
            "id" => 26
            "created_at" => "2026-04-10 13:58:26"
            "updated_at" => null
            "name" => "номер"
            "field_cases" => array:6 [
              "field_accusative_case" => "номер"
              "field_creative_case" => "номером"
              "field_dative_case" => "номеру"
              "field_genitive_case" => "номера"
              "field_nominative_case" => "номер"
              "field_prepositional_case" => "номере"
            ]
            "field_short_name" => ""
          ]
          #changes: []
          #casts: []
          #classCastCache: []
          #attributeCastCache: []
          #dateFormat: null
          #appends: []
          #dispatchesEvents: []
          #observables: []
          #relations: []
          #touches: []
          +timestamps: true
          +usesUniqueIds: false
          #hidden: []
          #visible: []
          #fillable: []
          #guarded: array:1 [
            0 => "*"
          ]
        }
      ]
      #escapeWhenCastingToString: false
    }
    "field_metatags_title" => null
    "field_metatags_description" => null
    "field_h1" => null
    "field_description_top" => null
    "field_description_bottom" => null
    "field_match" => null
    "breadcrumbs" => []
    "edition_groups" => Illuminate\Database\Eloquent\Collection {#1026
      #items: []
      #escapeWhenCastingToString: false
    }
    "top_parent_branch" => Illuminate\Database\Eloquent\Collection {#342
      #items: array:1 [
        0 => App\Models\Branch {#1023
          #connection: "mysql"
          #table: "branches"
          #primaryKey: "id"
          #keyType: "int"
          +incrementing: true
          #with: []
          #withCount: []
          +preventsLazyLoading: false
          #perPage: 15
          +exists: true
          +wasRecentlyCreated: false
          #escapeWhenCastingToString: false
          #attributes: array:24 [
            "id" => 226557
            "created_at" => "2026-04-10 13:58:26"
            "updated_at" => null
            "field_display_title" => null
            "field_branch_order" => "2"
            "field_url" => null
            "field_branch_type" => Illuminate\Database\Eloquent\Collection {#333
              #items: array:1 [
                0 => App\Models\Term {#1033
                  #connection: "mysql"
                  #table: "terms"
                  #primaryKey: "id"
                  #keyType: "int"
                  +incrementing: false
                  #with: []
                  #withCount: []
                  +preventsLazyLoading: false
                  #perPage: 15
                  +exists: true
                  +wasRecentlyCreated: false
                  #escapeWhenCastingToString: false
                  #attributes: array:7 [
                    "id" => 31
                    "created_at" => "2026-04-10 13:58:26"
                    "updated_at" => null
                    "name" => "Часть"
                    "field_cases" => array:6 [ …6]
                    "field_page_check_not_needed" => "1"
                    "field_short_name" => "ч."
                  ]
                  #original: array:7 [
                    "id" => 31
                    "created_at" => "2026-04-10 13:58:26"
                    "updated_at" => null
                    "name" => "Часть"
                    "field_cases" => array:6 [ …6]
                    "field_page_check_not_needed" => "1"
                    "field_short_name" => "ч."
                  ]
                  #changes: []
                  #casts: []
                  #classCastCache: []
                  #attributeCastCache: []
                  #dateFormat: null
                  #appends: []
                  #dispatchesEvents: []
                  #observables: []
                  #relations: []
                  #touches: []
                  +timestamps: true
                  +usesUniqueIds: false
                  #hidden: []
                  #visible: []
                  #fillable: []
                  #guarded: array:1 [
                    0 => "*"
                  ]
                }
              ]
              #escapeWhenCastingToString: false
            }
            "field_page_start" => "4"
            "field_branch_display" => "0"
            "field_branch_expanded" => "0"
            "field_display_branch_in_title" => "1"
            "field_display_task_interval" => "0"
            "field_display_branch_page" => "1"
            "field_branch_title_in_content" => "0"
            "field_navigation_title" => null
            "field_metatags_title" => null
            "field_metatags_description" => null
            "field_h1" => null
            "field_description_top" => null
            "field_description_bottom" => null
            "field_branch_cover" => array:1 [
              0 => "/media/algebra_08/mordkovich-z-21/covers/cover2.webp?ts=1734210650"
            ]
            "field_branch_covers" => array:1 [
              0 => array:4 [
                "path" => "/media/algebra_08/mordkovich-z-21/covers/cover2.webp?ts=1734210650"
                "alt" => "часть 2"
                "width" => "1875"
                "height" => "2548"
              ]
            ]
            "book" => Illuminate\Database\Eloquent\Collection {#1030
              #items: array:1 [
                0 => App\Models\Book {#1032
                  #connection: "mysql"
                  #table: "books"
                  #primaryKey: "id"
                  #keyType: "int"
                  +incrementing: false
                  #with: []
                  #withCount: []
                  +preventsLazyLoading: false
                  #perPage: 15
                  +exists: true
                  +wasRecentlyCreated: false
                  #escapeWhenCastingToString: false
                  #attributes: array:50 [
                    "id" => 14
                    "created_at" => "2026-04-10 13:58:26"
                    "updated_at" => null
                    "field_tree_default_status" => "tasks"
                    "field_pages_status" => null
                    "field_subject" => Illuminate\Database\Eloquent\Collection {#1034 …2}
                    "field_class" => Illuminate\Database\Eloquent\Collection {#1036 …2}
                    "field_publisher" => Illuminate\Database\Eloquent\Collection {#1038 …2}
                    "field_author" => Illuminate\Database\Eloquent\Collection {#1040 …2}
                    "field_author_foreign" => Illuminate\Database\Eloquent\Collection {#1046 …2}
                    "field_book_type" => Illuminate\Database\Eloquent\Collection {#1047 …2}
                    "field_country" => Illuminate\Database\Eloquent\Collection {#1049 …2}
                    "field_city" => Illuminate\Database\Eloquent\Collection {#1051 …2}
                    "field_series" => Illuminate\Database\Eloquent\Collection {#1053 …2}
                    "field_umk" => Illuminate\Database\Eloquent\Collection {#1054 …2}
                    "field_level_of_education" => Illuminate\Database\Eloquent\Collection {#1055 …2}
                    "field_standart_of_education" => Illuminate\Database\Eloquent\Collection {#1056 …2}
                    "field_publication_number" => "26"
                    "field_publication_type" => Illuminate\Database\Eloquent\Collection {#1057 …2}
                    "field_under_the_edition" => Illuminate\Database\Eloquent\Collection {#1059 …2}
                    "field_under_the_edition_degree" => null
                    "field_cover_description" => null
                    "field_publication_year" => "2019"
                    "field_publication_year_until" => null
                    "field_part" => "1, 2"
                    "field_part_writing" => "Часть"
                    "field_second_foreign_language" => null
                    "field_for_whom" => "Учебник для общеобразовательных организаций"
                    "field_allowed" => "Допущено Министерством просвещения Российской Федерации"
                    "field_reserve_field" => null
                    "field_link_to_source" => null
                    "field_tasks_count" => "2014"
                    "field_priority" => "4"
                    "field_default_folder" => "/algebra_08/mordkovich-z-21/"
                    "field_isbn" => null
                    "field_cover" => array:2 [ …2]
                    "field_cover_alts" => array:2 [ …2]
                    "field_covers" => array:2 [ …2]
                    "field_popular_book" => null
                    "field_recommended_books" => Illuminate\Database\Eloquent\Collection {#1060 …2}
                    "field_new_book" => Illuminate\Database\Eloquent\Collection {#1061 …2}
                    "field_old_book" => Illuminate\Database\Eloquent\Collection {#1062 …2}
                    "field_url" => "/8-klass/algebra/mordkovich"
                    "field_cover_color" => Illuminate\Database\Eloquent\Collection {#1063 …2}
                    "field_metatags_title" => null
                    "field_metatags_description" => null
                    "field_h1" => null
                    "field_description_top" => null
                    "field_description_bottom" => "<!--Текст в низу страницы--> <h2> Чем порадует учеников алгебра в 8 классе? </h2> <p> Школьники все надеются, что программа обучения станет немного более понятной и простой. Особенно это касается алгебры - предмета со всех сторон весьма непростого. Но в восьмом классе их надеждам тоже не суждено сбыться. Мало того, что материал предстоит учить весьма обширный, количество домашних заданий увеличится, так еще добавится подготовка к предстоящим вскоре ОГЭ. Чтобы справиться со всем этим, учащимся стоит воспользоваться «<strong>ГДЗ по Алгебре 8 класс Учебник Мордкович (Мнемозина, 2021 г.)</strong>». </p> <p> Школьникам в этом году предстоит изучать такие сложные темы как: <ol> <li>Действия с алгебраическими дробями.</li> <li>Преобразование рациональных уравнений.</li> <li>Теория вероятности.</li> <li>Модуль числа.</li> <li>Линейные и квадратные неравенства.</li> <li>Комбинаторность, и т.д.</li> </ol> <p> Больше всего трудностей возникает при построении графиков функций, которые перед этим нужно найти. Подобрать правильное уравнение весьма непросто, особенно если нет понимания, как именно это делается. Как показывает практика, многие ученики испытывают проблемы именно при решении неравенств. У подростков часто нет времени сидеть и детально изучать в чем именно прослеживается недочет. Этого можно сразу и не понять, если раньше были упущены какие-то навыки. Поэтому решебник станет отличным вариантом для устранения всех возникающих недопониманий. </p> <h2> Насколько полезен решебник к учебнику Мордковича? </h2> <p> Споры касательно применения электронных справочников ведутся уже давно. Но школьники обычно в них не участвуют, так как прекрасно понимают незаменимость и актуальность этих пособий. <strong>Готовые решения по алгебре за 8 класс к учебнику(задачнику) Мордковича А. Г.</strong> позволяют им полноценно освоить все аспекты учебного материала, восполнить пробелы и проработать проблемные моменты, не затрачивая на это много времени и сил. </p> <p> Конечно, достигнуть хороших результатов можно только при определенных условиях:</p> <ol> <li>никогда нельзя забывать про изучение теории, даже если ее в учебнике самый минимум;</li> <li>домашние задания всегда нужно выполнять самостоятельно, без подсказок;</li> <li>сверяя решения по сборнику, стоит помнить о внимательности;</li> <li>если найдены ошибки, их необходимо не только исправить, но и понять, почему они возникли.</li> </ol> <p> Только такой подход гарантирует успешное освоение дисциплины. Однако у учеников всегда присутствует соблазн просто списать ответы. Принесет ли им это пользу? Безусловно, пару-тройку хороших оценок они получат, но что дальше? Преподаватель рано или поздно заметит обман и придется нагонять программу, которая стремительно несется вперед. К тому же, доверие учителя уже будет потеряно, что может положить конец отличной успеваемости. Так что рисковать явно не стоит. </p> <h2> Решебник - уникальное учебное пособие </h2> <p> У каждого ребенка свои таланты. Одним хорошо даются точные науки, другим - гуманитарные. Но практически все школьники испытывают трудности при освоении алгебры. Лишь единицы подростков легко ориентируются в материале, формулах и уравнениях. Остальным же требуется дополнительная помощь. Оказать ее могут <strong>подробные решения по алгебре 8 класс Мордковича</strong>. </p> <p> В справочнике размещены все необходимые сведения, которые помогут усвоить изучаемый параграф: <ul> <li>верные ответы на все номера;</li> <li>доскональные решения;</li> <li>подробные наглядные примеры;</li> <li>дополнительные примечания.</li> </ul> <p> Сборник создан группой профессиональных методистов, которые максимально подробно описали все действия, что нужно совершить ученикам, чтобы получить правильные результаты. Периодически сверяясь с решебником восьмиклассники получают возможность удостовериться в своей правоте, либо проработать недочеты. </p>"
                    "breadcrumbs" => array:3 [ …3]
                  ]
                  #original: array:50 [
                    "id" => 14
                    "created_at" => "2026-04-10 13:58:26"
                    "updated_at" => null
                    "field_tree_default_status" => "tasks"
                    "field_pages_status" => null
                    "field_subject" => Illuminate\Database\Eloquent\Collection {#1034 …2}
                    "field_class" => Illuminate\Database\Eloquent\Collection {#1036 …2}
                    "field_publisher" => Illuminate\Database\Eloquent\Collection {#1038 …2}
                    "field_author" => Illuminate\Database\Eloquent\Collection {#1040 …2}
                    "field_author_foreign" => Illuminate\Database\Eloquent\Collection {#1046 …2}
                    "field_book_type" => Illuminate\Database\Eloquent\Collection {#1047 …2}
                    "field_country" => Illuminate\Database\Eloquent\Collection {#1049 …2}
                    "field_city" => Illuminate\Database\Eloquent\Collection {#1051 …2}
                    "field_series" => Illuminate\Database\Eloquent\Collection {#1053 …2}
                    "field_umk" => Illuminate\Database\Eloquent\Collection {#1054 …2}
                    "field_level_of_education" => Illuminate\Database\Eloquent\Collection {#1055 …2}
                    "field_standart_of_education" => Illuminate\Database\Eloquent\Collection {#1056 …2}
                    "field_publication_number" => "26"
                    "field_publication_type" => Illuminate\Database\Eloquent\Collection {#1057 …2}
                    "field_under_the_edition" => Illuminate\Database\Eloquent\Collection {#1059 …2}
                    "field_under_the_edition_degree" => null
                    "field_cover_description" => null
                    "field_publication_year" => "2019"
                    "field_publication_year_until" => null
                    "field_part" => "1, 2"
                    "field_part_writing" => "Часть"
                    "field_second_foreign_language" => null
                    "field_for_whom" => "Учебник для общеобразовательных организаций"
                    "field_allowed" => "Допущено Министерством просвещения Российской Федерации"
                    "field_reserve_field" => null
                    "field_link_to_source" => null
                    "field_tasks_count" => "2014"
                    "field_priority" => "4"
                    "field_default_folder" => "/algebra_08/mordkovich-z-21/"
                    "field_isbn" => null
                    "field_cover" => array:2 [ …2]
                    "field_cover_alts" => array:2 [ …2]
                    "field_covers" => array:2 [ …2]
                    "field_popular_book" => null
                    "field_recommended_books" => Illuminate\Database\Eloquent\Collection {#1060 …2}
                    "field_new_book" => Illuminate\Database\Eloquent\Collection {#1061 …2}
                    "field_old_book" => Illuminate\Database\Eloquent\Collection {#1062 …2}
                    "field_url" => "/8-klass/algebra/mordkovich"
                    "field_cover_color" => Illuminate\Database\Eloquent\Collection {#1063 …2}
                    "field_metatags_title" => null
                    "field_metatags_description" => null
                    "field_h1" => null
                    "field_description_top" => null
                    "field_description_bottom" => "<!--Текст в низу страницы--> <h2> Чем порадует учеников алгебра в 8 классе? </h2> <p> Школьники все надеются, что программа обучения станет немного более понятной и простой. Особенно это касается алгебры - предмета со всех сторон весьма непростого. Но в восьмом классе их надеждам тоже не суждено сбыться. Мало того, что материал предстоит учить весьма обширный, количество домашних заданий увеличится, так еще добавится подготовка к предстоящим вскоре ОГЭ. Чтобы справиться со всем этим, учащимся стоит воспользоваться «<strong>ГДЗ по Алгебре 8 класс Учебник Мордкович (Мнемозина, 2021 г.)</strong>». </p> <p> Школьникам в этом году предстоит изучать такие сложные темы как: <ol> <li>Действия с алгебраическими дробями.</li> <li>Преобразование рациональных уравнений.</li> <li>Теория вероятности.</li> <li>Модуль числа.</li> <li>Линейные и квадратные неравенства.</li> <li>Комбинаторность, и т.д.</li> </ol> <p> Больше всего трудностей возникает при построении графиков функций, которые перед этим нужно найти. Подобрать правильное уравнение весьма непросто, особенно если нет понимания, как именно это делается. Как показывает практика, многие ученики испытывают проблемы именно при решении неравенств. У подростков часто нет времени сидеть и детально изучать в чем именно прослеживается недочет. Этого можно сразу и не понять, если раньше были упущены какие-то навыки. Поэтому решебник станет отличным вариантом для устранения всех возникающих недопониманий. </p> <h2> Насколько полезен решебник к учебнику Мордковича? </h2> <p> Споры касательно применения электронных справочников ведутся уже давно. Но школьники обычно в них не участвуют, так как прекрасно понимают незаменимость и актуальность этих пособий. <strong>Готовые решения по алгебре за 8 класс к учебнику(задачнику) Мордковича А. Г.</strong> позволяют им полноценно освоить все аспекты учебного материала, восполнить пробелы и проработать проблемные моменты, не затрачивая на это много времени и сил. </p> <p> Конечно, достигнуть хороших результатов можно только при определенных условиях:</p> <ol> <li>никогда нельзя забывать про изучение теории, даже если ее в учебнике самый минимум;</li> <li>домашние задания всегда нужно выполнять самостоятельно, без подсказок;</li> <li>сверяя решения по сборнику, стоит помнить о внимательности;</li> <li>если найдены ошибки, их необходимо не только исправить, но и понять, почему они возникли.</li> </ol> <p> Только такой подход гарантирует успешное освоение дисциплины. Однако у учеников всегда присутствует соблазн просто списать ответы. Принесет ли им это пользу? Безусловно, пару-тройку хороших оценок они получат, но что дальше? Преподаватель рано или поздно заметит обман и придется нагонять программу, которая стремительно несется вперед. К тому же, доверие учителя уже будет потеряно, что может положить конец отличной успеваемости. Так что рисковать явно не стоит. </p> <h2> Решебник - уникальное учебное пособие </h2> <p> У каждого ребенка свои таланты. Одним хорошо даются точные науки, другим - гуманитарные. Но практически все школьники испытывают трудности при освоении алгебры. Лишь единицы подростков легко ориентируются в материале, формулах и уравнениях. Остальным же требуется дополнительная помощь. Оказать ее могут <strong>подробные решения по алгебре 8 класс Мордковича</strong>. </p> <p> В справочнике размещены все необходимые сведения, которые помогут усвоить изучаемый параграф: <ul> <li>верные ответы на все номера;</li> <li>доскональные решения;</li> <li>подробные наглядные примеры;</li> <li>дополнительные примечания.</li> </ul> <p> Сборник создан группой профессиональных методистов, которые максимально подробно описали все действия, что нужно совершить ученикам, чтобы получить правильные результаты. Периодически сверяясь с решебником восьмиклассники получают возможность удостовериться в своей правоте, либо проработать недочеты. </p>"
                    "breadcrumbs" => array:3 [ …3]
                  ]
                  #changes: []
                  #casts: []
                  #classCastCache: []
                  #attributeCastCache: []
                  #dateFormat: null
                  #appends: []
                  #dispatchesEvents: []
                  #observables: []
                  #relations: []
                  #touches: []
                  +timestamps: true
                  +usesUniqueIds: false
                  #hidden: []
                  #visible: []
                  #fillable: []
                  #guarded: array:1 [
                    0 => "*"
                  ]
                }
              ]
              #escapeWhenCastingToString: false
            }
            "branch_parent" => Illuminate\Database\Eloquent\Collection {#1064
              #items: []
              #escapeWhenCastingToString: false
            }
          ]
          #original: array:24 [
            "id" => 226557
            "created_at" => "2026-04-10 13:58:26"
            "updated_at" => null
            "field_display_title" => null
            "field_branch_order" => "2"
            "field_url" => null
            "field_branch_type" => Illuminate\Database\Eloquent\Collection {#333}
            "field_page_start" => "4"
            "field_branch_display" => "0"
            "field_branch_expanded" => "0"
            "field_display_branch_in_title" => "1"
            "field_display_task_interval" => "0"
            "field_display_branch_page" => "1"
            "field_branch_title_in_content" => "0"
            "field_navigation_title" => null
            "field_metatags_title" => null
            "field_metatags_description" => null
            "field_h1" => null
            "field_description_top" => null
            "field_description_bottom" => null
            "field_branch_cover" => array:1 [
              0 => "/media/algebra_08/mordkovich-z-21/covers/cover2.webp?ts=1734210650"
            ]
            "field_branch_covers" => array:1 [
              0 => array:4 [
                "path" => "/media/algebra_08/mordkovich-z-21/covers/cover2.webp?ts=1734210650"
                "alt" => "часть 2"
                "width" => "1875"
                "height" => "2548"
              ]
            ]
            "book" => Illuminate\Database\Eloquent\Collection {#1030}
            "branch_parent" => Illuminate\Database\Eloquent\Collection {#1064}
          ]
          #changes: []
          #casts: []
          #classCastCache: []
          #attributeCastCache: []
          #dateFormat: null
          #appends: []
          #dispatchesEvents: []
          #observables: []
          #relations: []
          #touches: []
          +timestamps: true
          +usesUniqueIds: false
          #hidden: []
          #visible: []
          #fillable: []
          #guarded: array:1 [
            0 => "*"
          ]
        }
      ]
      #escapeWhenCastingToString: false
    }
    "parent_branches" => Illuminate\Database\Eloquent\Collection {#1065
      #items: array:3 [
        0 => App\Models\Branch {#1023}
        1 => App\Models\Branch {#1066
          #connection: "mysql"
          #table: "branches"
          #primaryKey: "id"
          #keyType: "int"
          +incrementing: true
          #with: []
          #withCount: []
          +preventsLazyLoading: false
          #perPage: 15
          +exists: true
          +wasRecentlyCreated: false
          #escapeWhenCastingToString: false
          #attributes: array:24 [
            "id" => 226571
            "created_at" => "2026-04-10 13:58:26"
            "updated_at" => null
            "field_display_title" => "Функция у =√х свойства квадратного корня"
            "field_branch_order" => "2"
            "field_url" => null
            "field_branch_type" => Illuminate\Database\Eloquent\Collection {#1067
              #items: array:1 [
                0 => App\Models\Term {#1068
                  #connection: "mysql"
                  #table: "terms"
                  #primaryKey: "id"
                  #keyType: "int"
                  +incrementing: false
                  #with: []
                  #withCount: []
                  +preventsLazyLoading: false
                  #perPage: 15
                  +exists: true
                  +wasRecentlyCreated: false
                  #escapeWhenCastingToString: false
                  #attributes: array:7 [
                    "id" => 29
                    "created_at" => "2026-04-10 13:58:26"
                    "updated_at" => null
                    "name" => "Глава"
                    "field_cases" => array:6 [ …6]
                    "field_page_check_not_needed" => null
                    "field_short_name" => null
                  ]
                  #original: array:7 [
                    "id" => 29
                    "created_at" => "2026-04-10 13:58:26"
                    "updated_at" => null
                    "name" => "Глава"
                    "field_cases" => array:6 [ …6]
                    "field_page_check_not_needed" => null
                    "field_short_name" => null
                  ]
                  #changes: []
                  #casts: []
                  #classCastCache: []
                  #attributeCastCache: []
                  #dateFormat: null
                  #appends: []
                  #dispatchesEvents: []
                  #observables: []
                  #relations: []
                  #touches: []
                  +timestamps: true
                  +usesUniqueIds: false
                  #hidden: []
                  #visible: []
                  #fillable: []
                  #guarded: array:1 [
                    0 => "*"
                  ]
                }
              ]
              #escapeWhenCastingToString: false
            }
            "field_page_start" => "59"
            "field_branch_display" => "0"
            "field_branch_expanded" => "0"
            "field_display_branch_in_title" => "1"
            "field_display_task_interval" => "0"
            "field_display_branch_page" => "1"
            "field_branch_title_in_content" => "0"
            "field_navigation_title" => null
            "field_metatags_title" => null
            "field_metatags_description" => null
            "field_h1" => null
            "field_description_top" => null
            "field_description_bottom" => null
            "field_branch_cover" => []
            "field_branch_covers" => []
            "book" => Illuminate\Database\Eloquent\Collection {#1069
              #items: array:1 [
                0 => App\Models\Book {#1070
                  #connection: "mysql"
                  #table: "books"
                  #primaryKey: "id"
                  #keyType: "int"
                  +incrementing: false
                  #with: []
                  #withCount: []
                  +preventsLazyLoading: false
                  #perPage: 15
                  +exists: true
                  +wasRecentlyCreated: false
                  #escapeWhenCastingToString: false
                  #attributes: array:50 [
                    "id" => 14
                    "created_at" => "2026-04-10 13:58:26"
                    "updated_at" => null
                    "field_tree_default_status" => "tasks"
                    "field_pages_status" => null
                    "field_subject" => Illuminate\Database\Eloquent\Collection {#1071 …2}
                     …44
                  ]
                  #original: array:50 [ …50]
                  #changes: []
                  #casts: []
                  #classCastCache: []
                  #attributeCastCache: []
                  #dateFormat: null
                  #appends: []
                  #dispatchesEvents: []
                  #observables: []
                  #relations: []
                  #touches: []
                  +timestamps: true
                  +usesUniqueIds: false
                  #hidden: []
                  #visible: []
                  #fillable: []
                  #guarded: array:1 [ …1]
                }
              ]
              #escapeWhenCastingToString: false
            }
            "branch_parent" => Illuminate\Database\Eloquent\Collection {#1101
              #items: array:1 [
                0 => App\Models\Branch {#1102
                  #connection: "mysql"
                  #table: "branches"
                  #primaryKey: "id"
                  #keyType: "int"
                  +incrementing: true
                  #with: []
                  #withCount: []
                  +preventsLazyLoading: false
                  #perPage: 15
                  +exists: true
                  +wasRecentlyCreated: false
                  #escapeWhenCastingToString: false
                  #attributes: array:24 [ …24]
                  #original: array:24 [ …24]
                  #changes: []
                  #casts: []
                  #classCastCache: []
                  #attributeCastCache: []
                  #dateFormat: null
                  #appends: []
                  #dispatchesEvents: []
                  #observables: []
                  #relations: []
                  #touches: []
                  +timestamps: true
                  +usesUniqueIds: false
                  #hidden: []
                  #visible: []
                  #fillable: []
                  #guarded: array:1 [ …1]
                }
              ]
              #escapeWhenCastingToString: false
            }
          ]
          #original: array:24 [
            "id" => 226571
            "created_at" => "2026-04-10 13:58:26"
            "updated_at" => null
            "field_display_title" => "Функция у =√х свойства квадратного корня"
            "field_branch_order" => "2"
            "field_url" => null
            "field_branch_type" => Illuminate\Database\Eloquent\Collection {#1067}
            "field_page_start" => "59"
            "field_branch_display" => "0"
            "field_branch_expanded" => "0"
            "field_display_branch_in_title" => "1"
            "field_display_task_interval" => "0"
            "field_display_branch_page" => "1"
            "field_branch_title_in_content" => "0"
            "field_navigation_title" => null
            "field_metatags_title" => null
            "field_metatags_description" => null
            "field_h1" => null
            "field_description_top" => null
            "field_description_bottom" => null
            "field_branch_cover" => []
            "field_branch_covers" => []
            "book" => Illuminate\Database\Eloquent\Collection {#1069}
            "branch_parent" => Illuminate\Database\Eloquent\Collection {#1101}
          ]
          #changes: []
          #casts: []
          #classCastCache: []
          #attributeCastCache: []
          #dateFormat: null
          #appends: []
          #dispatchesEvents: []
          #observables: []
          #relations: []
          #touches: []
          +timestamps: true
          +usesUniqueIds: false
          #hidden: []
          #visible: []
          #fillable: []
          #guarded: array:1 [
            0 => "*"
          ]
        }
        2 => App\Models\Branch {#1138
          #connection: "mysql"
          #table: "branches"
          #primaryKey: "id"
          #keyType: "int"
          +incrementing: true
          #with: []
          #withCount: []
          +preventsLazyLoading: false
          #perPage: 15
          +exists: true
          +wasRecentlyCreated: false
          #escapeWhenCastingToString: false
          #attributes: array:24 [
            "id" => 226577
            "created_at" => "2026-04-10 13:58:26"
            "updated_at" => null
            "field_display_title" => "Свойства квадратных корней"
            "field_branch_order" => "15"
            "field_url" => null
            "field_branch_type" => Illuminate\Database\Eloquent\Collection {#1139
              #items: array:1 [
                0 => App\Models\Term {#1140
                  #connection: "mysql"
                  #table: "terms"
                  #primaryKey: "id"
                  #keyType: "int"
                  +incrementing: false
                  #with: []
                  #withCount: []
                  +preventsLazyLoading: false
                  #perPage: 15
                  +exists: true
                  +wasRecentlyCreated: false
                  #escapeWhenCastingToString: false
                  #attributes: array:7 [ …7]
                  #original: array:7 [ …7]
                  #changes: []
                  #casts: []
                  #classCastCache: []
                  #attributeCastCache: []
                  #dateFormat: null
                  #appends: []
                  #dispatchesEvents: []
                  #observables: []
                  #relations: []
                  #touches: []
                  +timestamps: true
                  +usesUniqueIds: false
                  #hidden: []
                  #visible: []
                  #fillable: []
                  #guarded: array:1 [ …1]
                }
              ]
              #escapeWhenCastingToString: false
            }
            "field_page_start" => "77"
            "field_branch_display" => "0"
            "field_branch_expanded" => "0"
            "field_display_branch_in_title" => "1"
            "field_display_task_interval" => "0"
            "field_display_branch_page" => "1"
            "field_branch_title_in_content" => "0"
            "field_navigation_title" => null
            "field_metatags_title" => null
            "field_metatags_description" => null
            "field_h1" => null
            "field_description_top" => null
            "field_description_bottom" => null
            "field_branch_cover" => []
            "field_branch_covers" => []
            "book" => Illuminate\Database\Eloquent\Collection {#1141
              #items: array:1 [
                0 => App\Models\Book {#1142
                  #connection: "mysql"
                  #table: "books"
                  #primaryKey: "id"
                  #keyType: "int"
                  +incrementing: false
                  #with: []
                  #withCount: []
                  +preventsLazyLoading: false
                  #perPage: 15
                  +exists: true
                  +wasRecentlyCreated: false
                  #escapeWhenCastingToString: false
                  #attributes: array:50 [ …50]
                  #original: array:50 [ …50]
                  #changes: []
                  #casts: []
                  #classCastCache: []
                  #attributeCastCache: []
                  #dateFormat: null
                  #appends: []
                  #dispatchesEvents: []
                  #observables: []
                  #relations: []
                  #touches: []
                  +timestamps: true
                  +usesUniqueIds: false
                  #hidden: []
                  #visible: []
                  #fillable: []
                  #guarded: array:1 [ …1]
                }
              ]
              #escapeWhenCastingToString: false
            }
            "branch_parent" => Illuminate\Database\Eloquent\Collection {#1173
              #items: array:1 [
                0 => App\Models\Branch {#1174
                  #connection: "mysql"
                  #table: "branches"
                  #primaryKey: "id"
                  #keyType: "int"
                  +incrementing: true
                  #with: []
                  #withCount: []
                  +preventsLazyLoading: false
                  #perPage: 15
                  +exists: true
                  +wasRecentlyCreated: false
                  #escapeWhenCastingToString: false
                  #attributes: array:24 [ …24]
                  #original: array:24 [ …24]
                  #changes: []
                  #casts: []
                  #classCastCache: []
                  #attributeCastCache: []
                  #dateFormat: null
                  #appends: []
                  #dispatchesEvents: []
                  #observables: []
                  #relations: []
                  #touches: []
                  +timestamps: true
                  +usesUniqueIds: false
                  #hidden: []
                  #visible: []
                  #fillable: []
                  #guarded: array:1 [ …1]
                }
              ]
              #escapeWhenCastingToString: false
            }
          ]
          #original: array:24 [
            "id" => 226577
            "created_at" => "2026-04-10 13:58:26"
            "updated_at" => null
            "field_display_title" => "Свойства квадратных корней"
            "field_branch_order" => "15"
            "field_url" => null
            "field_branch_type" => Illuminate\Database\Eloquent\Collection {#1139}
            "field_page_start" => "77"
            "field_branch_display" => "0"
            "field_branch_expanded" => "0"
            "field_display_branch_in_title" => "1"
            "field_display_task_interval" => "0"
            "field_display_branch_page" => "1"
            "field_branch_title_in_content" => "0"
            "field_navigation_title" => null
            "field_metatags_title" => null
            "field_metatags_description" => null
            "field_h1" => null
            "field_description_top" => null
            "field_description_bottom" => null
            "field_branch_cover" => []
            "field_branch_covers" => []
            "book" => Illuminate\Database\Eloquent\Collection {#1141}
            "branch_parent" => Illuminate\Database\Eloquent\Collection {#1173}
          ]
          #changes: []
          #casts: []
          #classCastCache: []
          #attributeCastCache: []
          #dateFormat: null
          #appends: []
          #dispatchesEvents: []
          #observables: []
          #relations: []
          #touches: []
          +timestamps: true
          +usesUniqueIds: false
          #hidden: []
          #visible: []
          #fillable: []
          #guarded: array:1 [
            0 => "*"
          ]
        }
      ]
      #escapeWhenCastingToString: false
    }
    "content" => Illuminate\Database\Eloquent\Collection {#1215
      #items: array:6 [
        0 => App\Models\Element {#1216
          #connection: "mysql"
          #table: "elements"
          #primaryKey: "id"
          #keyType: "int"
          +incrementing: true
          #with: []
          #withCount: []
          +preventsLazyLoading: false
          #perPage: 15
          +exists: true
          +wasRecentlyCreated: false
          #escapeWhenCastingToString: false
          #attributes: array:7 [
            "id" => 266824
            "created_at" => "2026-04-10 13:58:26"
            "updated_at" => null
            "edition" => Illuminate\Database\Eloquent\Collection {#1217
              #items: array:1 [
                0 => App\Models\Edition {#1218
                  #connection: "mysql"
                  #table: "editions"
                  #primaryKey: "id"
                  #keyType: "int"
                  +incrementing: false
                  #with: []
                  #withCount: []
                  +preventsLazyLoading: false
                  #perPage: 15
                  +exists: true
                  +wasRecentlyCreated: false
                  #escapeWhenCastingToString: false
                  #attributes: array:21 [ …21]
                  #original: array:21 [ …21]
                  #changes: []
                  #casts: []
                  #classCastCache: []
                  #attributeCastCache: []
                  #dateFormat: null
                  #appends: []
                  #dispatchesEvents: []
                  #observables: []
                  #relations: []
                  #touches: []
                  +timestamps: true
                  +usesUniqueIds: false
                  #hidden: []
                  #visible: []
                  #fillable: []
                  #guarded: array:1 [ …1]
                }
              ]
              #escapeWhenCastingToString: false
            }
            "task" => array:2 [
              "refs" => "227377"
              "type" => "task"
            ]
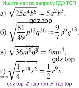
            "text" => "<p><strong>15.18 a)</strong> $\sqrt{25a^4b^6}$;</p><p><strong>б)</strong> $\sqrt{\frac{81}{49}p^{12}q^{26}}$,</p><p><strong>в)</strong> $\sqrt{36m^2n^8}$;</p><p><strong>г)</strong> $\sqrt{\frac{1}{4}r^{18}s^2}$.</p>"
            "img" => array:1 [
              0 => array:5 [
                "name" => "18-1.jpg"
                "alt" => null
                "width" => "1187"
                "height" => 265
                "path" => "/media/algebra_08/mordkovich-z-21/0-2-15/18-1.webp?ts=1734378660"
              ]
            ]
          ]
          #original: array:7 [
            "id" => 266824
            "created_at" => "2026-04-10 13:58:26"
            "updated_at" => null
            "edition" => Illuminate\Database\Eloquent\Collection {#1217}
            "task" => array:2 [
              "refs" => "227377"
              "type" => "task"
            ]
            "text" => "<p><strong>15.18 a)</strong> $\sqrt{25a^4b^6}$;</p><p><strong>б)</strong> $\sqrt{\frac{81}{49}p^{12}q^{26}}$,</p><p><strong>в)</strong> $\sqrt{36m^2n^8}$;</p><p><strong>г)</strong> $\sqrt{\frac{1}{4}r^{18}s^2}$.</p>"
            "img" => array:1 [
              0 => array:5 [
                "name" => "18-1.jpg"
                "alt" => null
                "width" => "1187"
                "height" => 265
                "path" => "/media/algebra_08/mordkovich-z-21/0-2-15/18-1.webp?ts=1734378660"
              ]
            ]
          ]
          #changes: []
          #casts: []
          #classCastCache: []
          #attributeCastCache: []
          #dateFormat: null
          #appends: []
          #dispatchesEvents: []
          #observables: []
          #relations: []
          #touches: []
          +timestamps: true
          +usesUniqueIds: false
          #hidden: []
          #visible: []
          #fillable: []
          #guarded: array:1 [
            0 => "*"
          ]
        }
        1 => App\Models\Element {#1224
          #connection: "mysql"
          #table: "elements"
          #primaryKey: "id"
          #keyType: "int"
          +incrementing: true
          #with: []
          #withCount: []
          +preventsLazyLoading: false
          #perPage: 15
          +exists: true
          +wasRecentlyCreated: false
          #escapeWhenCastingToString: false
          #attributes: array:6 [
            "id" => 273547
            "created_at" => "2026-04-10 13:58:26"
            "updated_at" => null
            "edition" => Illuminate\Database\Eloquent\Collection {#1225
              #items: array:1 [
                0 => App\Models\Edition {#1226
                  #connection: "mysql"
                  #table: "editions"
                  #primaryKey: "id"
                  #keyType: "int"
                  +incrementing: false
                  #with: []
                  #withCount: []
                  +preventsLazyLoading: false
                  #perPage: 15
                  +exists: true
                  +wasRecentlyCreated: false
                  #escapeWhenCastingToString: false
                  #attributes: array:21 [ …21]
                  #original: array:21 [ …21]
                  #changes: []
                  #casts: []
                  #classCastCache: []
                  #attributeCastCache: []
                  #dateFormat: null
                  #appends: []
                  #dispatchesEvents: []
                  #observables: []
                  #relations: []
                  #touches: []
                  +timestamps: true
                  +usesUniqueIds: false
                  #hidden: []
                  #visible: []
                  #fillable: []
                  #guarded: array:1 [ …1]
                }
              ]
              #escapeWhenCastingToString: false
            }
            "task" => array:2 [
              "refs" => "227377"
              "type" => "task"
            ]
            "img" => array:4 [
              0 => array:5 [
                "name" => "18-1.png"
                "alt" => null
                "width" => "705"
                "height" => 1156
                "path" => "/media/algebra_08/mordkovich-z-21/1-2-15/18-1.webp?ts=1734380461"
              ]
              1 => array:5 [
                "name" => "18-2.png"
                "alt" => null
                "width" => "705"
                "height" => 1702
                "path" => "/media/algebra_08/mordkovich-z-21/1-2-15/18-2.webp?ts=1734380461"
              ]
              2 => array:5 [
                "name" => "18-3.png"
                "alt" => null
                "width" => "705"
                "height" => 1156
                "path" => "/media/algebra_08/mordkovich-z-21/1-2-15/18-3.webp?ts=1734380461"
              ]
              3 => array:5 [
                "name" => "18-4.png"
                "alt" => null
                "width" => "705"
                "height" => 1702
                "path" => "/media/algebra_08/mordkovich-z-21/1-2-15/18-4.webp?ts=1734380461"
              ]
            ]
          ]
          #original: array:6 [
            "id" => 273547
            "created_at" => "2026-04-10 13:58:26"
            "updated_at" => null
            "edition" => Illuminate\Database\Eloquent\Collection {#1225}
            "task" => array:2 [
              "refs" => "227377"
              "type" => "task"
            ]
            "img" => array:4 [
              0 => array:5 [
                "name" => "18-1.png"
                "alt" => null
                "width" => "705"
                "height" => 1156
                "path" => "/media/algebra_08/mordkovich-z-21/1-2-15/18-1.webp?ts=1734380461"
              ]
              1 => array:5 [
                "name" => "18-2.png"
                "alt" => null
                "width" => "705"
                "height" => 1702
                "path" => "/media/algebra_08/mordkovich-z-21/1-2-15/18-2.webp?ts=1734380461"
              ]
              2 => array:5 [
                "name" => "18-3.png"
                "alt" => null
                "width" => "705"
                "height" => 1156
                "path" => "/media/algebra_08/mordkovich-z-21/1-2-15/18-3.webp?ts=1734380461"
              ]
              3 => array:5 [
                "name" => "18-4.png"
                "alt" => null
                "width" => "705"
                "height" => 1702
                "path" => "/media/algebra_08/mordkovich-z-21/1-2-15/18-4.webp?ts=1734380461"
              ]
            ]
          ]
          #changes: []
          #casts: []
          #classCastCache: []
          #attributeCastCache: []
          #dateFormat: null
          #appends: []
          #dispatchesEvents: []
          #observables: []
          #relations: []
          #touches: []
          +timestamps: true
          +usesUniqueIds: false
          #hidden: []
          #visible: []
          #fillable: []
          #guarded: array:1 [
            0 => "*"
          ]
        }
        2 => App\Models\Element {#1232
          #connection: "mysql"
          #table: "elements"
          #primaryKey: "id"
          #keyType: "int"
          +incrementing: true
          #with: []
          #withCount: []
          +preventsLazyLoading: false
          #perPage: 15
          +exists: true
          +wasRecentlyCreated: false
          #escapeWhenCastingToString: false
          #attributes: array:6 [
            "id" => 265518
            "created_at" => "2026-04-10 13:58:26"
            "updated_at" => null
            "edition" => Illuminate\Database\Eloquent\Collection {#1233
              #items: array:1 [
                0 => App\Models\Edition {#1234
                  #connection: "mysql"
                  #table: "editions"
                  #primaryKey: "id"
                  #keyType: "int"
                  +incrementing: false
                  #with: []
                  #withCount: []
                  +preventsLazyLoading: false
                  #perPage: 15
                  +exists: true
                  +wasRecentlyCreated: false
                  #escapeWhenCastingToString: false
                  #attributes: array:21 [ …21]
                  #original: array:21 [ …21]
                  #changes: []
                  #casts: []
                  #classCastCache: []
                  #attributeCastCache: []
                  #dateFormat: null
                  #appends: []
                  #dispatchesEvents: []
                  #observables: []
                  #relations: []
                  #touches: []
                  +timestamps: true
                  +usesUniqueIds: false
                  #hidden: []
                  #visible: []
                  #fillable: []
                  #guarded: array:1 [ …1]
                }
              ]
              #escapeWhenCastingToString: false
            }
            "task" => array:2 [
              "refs" => "227377"
              "type" => "task"
            ]
            "img" => array:1 [
              0 => array:5 [
                "name" => "18-1.jpg"
                "alt" => null
                "width" => "343"
                "height" => 324
                "path" => "/media/algebra_08/mordkovich-z-21/2-2-15/18-1.webp?ts=1734378191"
              ]
            ]
          ]
          #original: array:6 [
            "id" => 265518
            "created_at" => "2026-04-10 13:58:26"
            "updated_at" => null
            "edition" => Illuminate\Database\Eloquent\Collection {#1233}
            "task" => array:2 [
              "refs" => "227377"
              "type" => "task"
            ]
            "img" => array:1 [
              0 => array:5 [
                "name" => "18-1.jpg"
                "alt" => null
                "width" => "343"
                "height" => 324
                "path" => "/media/algebra_08/mordkovich-z-21/2-2-15/18-1.webp?ts=1734378191"
              ]
            ]
          ]
          #changes: []
          #casts: []
          #classCastCache: []
          #attributeCastCache: []
          #dateFormat: null
          #appends: []
          #dispatchesEvents: []
          #observables: []
          #relations: []
          #touches: []
          +timestamps: true
          +usesUniqueIds: false
          #hidden: []
          #visible: []
          #fillable: []
          #guarded: array:1 [
            0 => "*"
          ]
        }
        3 => App\Models\Element {#1240
          #connection: "mysql"
          #table: "elements"
          #primaryKey: "id"
          #keyType: "int"
          +incrementing: true
          #with: []
          #withCount: []
          +preventsLazyLoading: false
          #perPage: 15
          +exists: true
          +wasRecentlyCreated: false
          #escapeWhenCastingToString: false
          #attributes: array:6 [
            "id" => 267491
            "created_at" => "2026-04-10 13:58:26"
            "updated_at" => null
            "edition" => Illuminate\Database\Eloquent\Collection {#1241
              #items: array:1 [
                0 => App\Models\Edition {#1242
                  #connection: "mysql"
                  #table: "editions"
                  #primaryKey: "id"
                  #keyType: "int"
                  +incrementing: false
                  #with: []
                  #withCount: []
                  +preventsLazyLoading: false
                  #perPage: 15
                  +exists: true
                  +wasRecentlyCreated: false
                  #escapeWhenCastingToString: false
                  #attributes: array:21 [ …21]
                  #original: array:21 [ …21]
                  #changes: []
                  #casts: []
                  #classCastCache: []
                  #attributeCastCache: []
                  #dateFormat: null
                  #appends: []
                  #dispatchesEvents: []
                  #observables: []
                  #relations: []
                  #touches: []
                  +timestamps: true
                  +usesUniqueIds: false
                  #hidden: []
                  #visible: []
                  #fillable: []
                  #guarded: array:1 [ …1]
                }
              ]
              #escapeWhenCastingToString: false
            }
            "task" => array:2 [
              "refs" => "227377"
              "type" => "task"
            ]
            "img" => array:1 [
              0 => array:5 [
                "name" => "18-1.png"
                "alt" => null
                "width" => "278"
                "height" => 302
                "path" => "/media/algebra_08/mordkovich-z-21/4-2-15/18-1.webp?ts=1734378688"
              ]
            ]
          ]
          #original: array:6 [
            "id" => 267491
            "created_at" => "2026-04-10 13:58:26"
            "updated_at" => null
            "edition" => Illuminate\Database\Eloquent\Collection {#1241}
            "task" => array:2 [
              "refs" => "227377"
              "type" => "task"
            ]
            "img" => array:1 [
              0 => array:5 [
                "name" => "18-1.png"
                "alt" => null
                "width" => "278"
                "height" => 302
                "path" => "/media/algebra_08/mordkovich-z-21/4-2-15/18-1.webp?ts=1734378688"
              ]
            ]
          ]
          #changes: []
          #casts: []
          #classCastCache: []
          #attributeCastCache: []
          #dateFormat: null
          #appends: []
          #dispatchesEvents: []
          #observables: []
          #relations: []
          #touches: []
          +timestamps: true
          +usesUniqueIds: false
          #hidden: []
          #visible: []
          #fillable: []
          #guarded: array:1 [
            0 => "*"
          ]
        }
        4 => App\Models\Element {#1248
          #connection: "mysql"
          #table: "elements"
          #primaryKey: "id"
          #keyType: "int"
          +incrementing: true
          #with: []
          #withCount: []
          +preventsLazyLoading: false
          #perPage: 15
          +exists: true
          +wasRecentlyCreated: false
          #escapeWhenCastingToString: false
          #attributes: array:6 [
            "id" => 267990
            "created_at" => "2026-04-10 13:58:26"
            "updated_at" => null
            "edition" => Illuminate\Database\Eloquent\Collection {#1249
              #items: array:1 [
                0 => App\Models\Edition {#1250
                  #connection: "mysql"
                  #table: "editions"
                  #primaryKey: "id"
                  #keyType: "int"
                  +incrementing: false
                  #with: []
                  #withCount: []
                  +preventsLazyLoading: false
                  #perPage: 15
                  +exists: true
                  +wasRecentlyCreated: false
                  #escapeWhenCastingToString: false
                  #attributes: array:21 [ …21]
                  #original: array:21 [ …21]
                  #changes: []
                  #casts: []
                  #classCastCache: []
                  #attributeCastCache: []
                  #dateFormat: null
                  #appends: []
                  #dispatchesEvents: []
                  #observables: []
                  #relations: []
                  #touches: []
                  +timestamps: true
                  +usesUniqueIds: false
                  #hidden: []
                  #visible: []
                  #fillable: []
                  #guarded: array:1 [ …1]
                }
              ]
              #escapeWhenCastingToString: false
            }
            "task" => array:2 [
              "refs" => "227377"
              "type" => "task"
            ]
            "img" => array:1 [
              0 => array:5 [
                "name" => "18-1.jpg"
                "alt" => null
                "width" => "2571"
                "height" => 514
                "path" => "/media/algebra_08/mordkovich-z-21/5-2-15/18-1.webp?ts=1734378521"
              ]
            ]
          ]
          #original: array:6 [
            "id" => 267990
            "created_at" => "2026-04-10 13:58:26"
            "updated_at" => null
            "edition" => Illuminate\Database\Eloquent\Collection {#1249}
            "task" => array:2 [
              "refs" => "227377"
              "type" => "task"
            ]
            "img" => array:1 [
              0 => array:5 [
                "name" => "18-1.jpg"
                "alt" => null
                "width" => "2571"
                "height" => 514
                "path" => "/media/algebra_08/mordkovich-z-21/5-2-15/18-1.webp?ts=1734378521"
              ]
            ]
          ]
          #changes: []
          #casts: []
          #classCastCache: []
          #attributeCastCache: []
          #dateFormat: null
          #appends: []
          #dispatchesEvents: []
          #observables: []
          #relations: []
          #touches: []
          +timestamps: true
          +usesUniqueIds: false
          #hidden: []
          #visible: []
          #fillable: []
          #guarded: array:1 [
            0 => "*"
          ]
        }
        5 => App\Models\Element {#1256
          #connection: "mysql"
          #table: "elements"
          #primaryKey: "id"
          #keyType: "int"
          +incrementing: true
          #with: []
          #withCount: []
          +preventsLazyLoading: false
          #perPage: 15
          +exists: true
          +wasRecentlyCreated: false
          #escapeWhenCastingToString: false
          #attributes: array:6 [
            "id" => 1335869
            "created_at" => "2026-04-10 13:58:26"
            "updated_at" => null
            "edition" => Illuminate\Database\Eloquent\Collection {#1257
              #items: array:1 [
                0 => App\Models\Edition {#1258
                  #connection: "mysql"
                  #table: "editions"
                  #primaryKey: "id"
                  #keyType: "int"
                  +incrementing: false
                  #with: []
                  #withCount: []
                  +preventsLazyLoading: false
                  #perPage: 15
                  +exists: true
                  +wasRecentlyCreated: false
                  #escapeWhenCastingToString: false
                  #attributes: array:21 [ …21]
                  #original: array:21 [ …21]
                  #changes: []
                  #casts: []
                  #classCastCache: []
                  #attributeCastCache: []
                  #dateFormat: null
                  #appends: []
                  #dispatchesEvents: []
                  #observables: []
                  #relations: []
                  #touches: []
                  +timestamps: true
                  +usesUniqueIds: false
                  #hidden: []
                  #visible: []
                  #fillable: []
                  #guarded: array:1 [ …1]
                }
              ]
              #escapeWhenCastingToString: false
            }
            "task" => array:2 [
              "refs" => "227377"
              "type" => "task"
            ]
            "text" => "<p><strong>а)</strong> Чтобы упростить выражение $\sqrt{25a^4b^6}$, воспользуемся свойством арифметического квадратного корня из произведения: $\sqrt{x \cdot y} = \sqrt{x} \cdot \sqrt{y}$ (для $x \ge 0, y \ge 0$). Также будем использовать формулу $\sqrt{x^{2n}} = |x^n|$, так как квадратный корень является неотрицательным числом.<br>Выражение под корнем $25a^4b^6 = 25(a^2)^2(b^3)^2$ всегда неотрицательно, поэтому корень определен для любых значений $a$ и $b$.<br>Разложим корень на множители:<br>$\sqrt{25a^4b^6} = \sqrt{25} \cdot \sqrt{a^4} \cdot \sqrt{b^6}$<br>Теперь извлечем корень из каждого множителя:<br>$\sqrt{25} = 5$<br>$\sqrt{a^4} = \sqrt{(a^2)^2} = |a^2|$. Поскольку $a^2$ всегда неотрицательно, $|a^2| = a^2$.<br>$\sqrt{b^6} = \sqrt{(b^3)^2} = |b^3|$. Так как $b^3$ может быть отрицательным (например, если $b &lt; 0$), необходимо оставить знак модуля.<br>Соединив все части, получаем:<br>$5 \cdot a^2 \cdot |b^3| = 5a^2|b^3|$<br>Ответ: $5a^2|b^3|$</p><p><strong>б)</strong> Упростим выражение $\sqrt{\frac{81}{49}p^{12}q^{26}}$. Используем свойство корня из произведения и частного, а также формулу $\sqrt{x^{2n}} = |x^n|$.<br>Подкоренное выражение $\frac{81}{49}p^{12}q^{26}$ неотрицательно при любых значениях переменных.<br>$\sqrt{\frac{81}{49}p^{12}q^{26}} = \sqrt{\frac{81}{49}} \cdot \sqrt{p^{12}} \cdot \sqrt{q^{26}}$<br>Упростим каждый множитель:<br>$\sqrt{\frac{81}{49}} = \frac{\sqrt{81}}{\sqrt{49}} = \frac{9}{7}$<br>$\sqrt{p^{12}} = \sqrt{(p^6)^2} = |p^6|$. Так как показатель степени 6 четный, $p^6$ всегда неотрицательно, поэтому $|p^6| = p^6$.<br>$\sqrt{q^{26}} = \sqrt{(q^{13})^2} = |q^{13}|$. Показатель степени 13 нечетный, поэтому $q^{13}$ может быть отрицательным. Знак модуля необходим.<br>Собираем результат:<br>$\frac{9}{7} \cdot p^6 \cdot |q^{13}| = \frac{9}{7}p^6|q^{13}|$<br>Ответ: $\frac{9}{7}p^6|q^{13}|$</p><p><strong>в)</strong> Упростим выражение $\sqrt{36m^2n^8}$.<br>Используем те же свойства, что и ранее. Подкоренное выражение $36m^2n^8$ всегда неотрицательно.<br>$\sqrt{36m^2n^8} = \sqrt{36} \cdot \sqrt{m^2} \cdot \sqrt{n^8}$<br>Извлечем корень из каждого множителя:<br>$\sqrt{36} = 6$<br>$\sqrt{m^2} = |m|$. Модуль здесь обязателен, так как $m$ может быть отрицательным.<br>$\sqrt{n^8} = \sqrt{(n^4)^2} = |n^4|$. Так как показатель степени 4 четный, $n^4$ всегда неотрицательно, и $|n^4| = n^4$.<br>Объединяем полученные результаты:<br>$6 \cdot |m| \cdot n^4 = 6|m|n^4$<br>Ответ: $6|m|n^4$</p><p><strong>г)</strong> Упростим выражение $\sqrt{\frac{1}{4}r^{18}s^2}$.<br>Подкоренное выражение $\frac{1}{4}r^{18}s^2$ является неотрицательным для любых значений переменных.<br>$\sqrt{\frac{1}{4}r^{18}s^2} = \sqrt{\frac{1}{4}} \cdot \sqrt{r^{18}} \cdot \sqrt{s^2}$<br>Упростим каждый множитель:<br>$\sqrt{\frac{1}{4}} = \frac{\sqrt{1}}{\sqrt{4}} = \frac{1}{2}$<br>$\sqrt{r^{18}} = \sqrt{(r^9)^2} = |r^9|$. Показатель степени 9 нечетный, поэтому значение $r^9$ может быть отрицательным, и модуль необходим.<br>$\sqrt{s^2} = |s|$. Модуль также необходим.<br>Объединяем результаты. Используя свойство модуля $|a| \cdot |b| = |ab|$, получаем:<br>$\frac{1}{2} \cdot |r^9| \cdot |s| = \frac{1}{2}|r^9s|$<br>Ответ: $\frac{1}{2}|r^9s|$</p>"
          ]
          #original: array:6 [
            "id" => 1335869
            "created_at" => "2026-04-10 13:58:26"
            "updated_at" => null
            "edition" => Illuminate\Database\Eloquent\Collection {#1257}
            "task" => array:2 [
              "refs" => "227377"
              "type" => "task"
            ]
            "text" => "<p><strong>а)</strong> Чтобы упростить выражение $\sqrt{25a^4b^6}$, воспользуемся свойством арифметического квадратного корня из произведения: $\sqrt{x \cdot y} = \sqrt{x} \cdot \sqrt{y}$ (для $x \ge 0, y \ge 0$). Также будем использовать формулу $\sqrt{x^{2n}} = |x^n|$, так как квадратный корень является неотрицательным числом.<br>Выражение под корнем $25a^4b^6 = 25(a^2)^2(b^3)^2$ всегда неотрицательно, поэтому корень определен для любых значений $a$ и $b$.<br>Разложим корень на множители:<br>$\sqrt{25a^4b^6} = \sqrt{25} \cdot \sqrt{a^4} \cdot \sqrt{b^6}$<br>Теперь извлечем корень из каждого множителя:<br>$\sqrt{25} = 5$<br>$\sqrt{a^4} = \sqrt{(a^2)^2} = |a^2|$. Поскольку $a^2$ всегда неотрицательно, $|a^2| = a^2$.<br>$\sqrt{b^6} = \sqrt{(b^3)^2} = |b^3|$. Так как $b^3$ может быть отрицательным (например, если $b &lt; 0$), необходимо оставить знак модуля.<br>Соединив все части, получаем:<br>$5 \cdot a^2 \cdot |b^3| = 5a^2|b^3|$<br>Ответ: $5a^2|b^3|$</p><p><strong>б)</strong> Упростим выражение $\sqrt{\frac{81}{49}p^{12}q^{26}}$. Используем свойство корня из произведения и частного, а также формулу $\sqrt{x^{2n}} = |x^n|$.<br>Подкоренное выражение $\frac{81}{49}p^{12}q^{26}$ неотрицательно при любых значениях переменных.<br>$\sqrt{\frac{81}{49}p^{12}q^{26}} = \sqrt{\frac{81}{49}} \cdot \sqrt{p^{12}} \cdot \sqrt{q^{26}}$<br>Упростим каждый множитель:<br>$\sqrt{\frac{81}{49}} = \frac{\sqrt{81}}{\sqrt{49}} = \frac{9}{7}$<br>$\sqrt{p^{12}} = \sqrt{(p^6)^2} = |p^6|$. Так как показатель степени 6 четный, $p^6$ всегда неотрицательно, поэтому $|p^6| = p^6$.<br>$\sqrt{q^{26}} = \sqrt{(q^{13})^2} = |q^{13}|$. Показатель степени 13 нечетный, поэтому $q^{13}$ может быть отрицательным. Знак модуля необходим.<br>Собираем результат:<br>$\frac{9}{7} \cdot p^6 \cdot |q^{13}| = \frac{9}{7}p^6|q^{13}|$<br>Ответ: $\frac{9}{7}p^6|q^{13}|$</p><p><strong>в)</strong> Упростим выражение $\sqrt{36m^2n^8}$.<br>Используем те же свойства, что и ранее. Подкоренное выражение $36m^2n^8$ всегда неотрицательно.<br>$\sqrt{36m^2n^8} = \sqrt{36} \cdot \sqrt{m^2} \cdot \sqrt{n^8}$<br>Извлечем корень из каждого множителя:<br>$\sqrt{36} = 6$<br>$\sqrt{m^2} = |m|$. Модуль здесь обязателен, так как $m$ может быть отрицательным.<br>$\sqrt{n^8} = \sqrt{(n^4)^2} = |n^4|$. Так как показатель степени 4 четный, $n^4$ всегда неотрицательно, и $|n^4| = n^4$.<br>Объединяем полученные результаты:<br>$6 \cdot |m| \cdot n^4 = 6|m|n^4$<br>Ответ: $6|m|n^4$</p><p><strong>г)</strong> Упростим выражение $\sqrt{\frac{1}{4}r^{18}s^2}$.<br>Подкоренное выражение $\frac{1}{4}r^{18}s^2$ является неотрицательным для любых значений переменных.<br>$\sqrt{\frac{1}{4}r^{18}s^2} = \sqrt{\frac{1}{4}} \cdot \sqrt{r^{18}} \cdot \sqrt{s^2}$<br>Упростим каждый множитель:<br>$\sqrt{\frac{1}{4}} = \frac{\sqrt{1}}{\sqrt{4}} = \frac{1}{2}$<br>$\sqrt{r^{18}} = \sqrt{(r^9)^2} = |r^9|$. Показатель степени 9 нечетный, поэтому значение $r^9$ может быть отрицательным, и модуль необходим.<br>$\sqrt{s^2} = |s|$. Модуль также необходим.<br>Объединяем результаты. Используя свойство модуля $|a| \cdot |b| = |ab|$, получаем:<br>$\frac{1}{2} \cdot |r^9| \cdot |s| = \frac{1}{2}|r^9s|$<br>Ответ: $\frac{1}{2}|r^9s|$</p>"
          ]
          #changes: []
          #casts: []
          #classCastCache: []
          #attributeCastCache: []
          #dateFormat: null
          #appends: []
          #dispatchesEvents: []
          #observables: []
          #relations: []
          #touches: []
          +timestamps: true
          +usesUniqueIds: false
          #hidden: []
          #visible: []
          #fillable: []
          #guarded: array:1 [
            0 => "*"
          ]
        }
      ]
      #escapeWhenCastingToString: false
    }
    "next" => array:2 [
      "refs" => "227378"
      "type" => "task"
    ]
    "previous" => array:2 [
      "refs" => "227376"
      "type" => "task"
    ]
    "book" => Illuminate\Database\Eloquent\Collection {#1264
      #items: array:1 [
        0 => App\Models\Book {#1265
          #connection: "mysql"
          #table: "books"
          #primaryKey: "id"
          #keyType: "int"
          +incrementing: false
          #with: []
          #withCount: []
          +preventsLazyLoading: false
          #perPage: 15
          +exists: true
          +wasRecentlyCreated: false
          #escapeWhenCastingToString: false
          #attributes: array:50 [
            "id" => 14
            "created_at" => "2026-04-10 13:58:26"
            "updated_at" => null
            "field_tree_default_status" => "tasks"
            "field_pages_status" => null
            "field_subject" => Illuminate\Database\Eloquent\Collection {#1266
              #items: array:1 [
                0 => App\Models\Term {#1267
                  #connection: "mysql"
                  #table: "terms"
                  #primaryKey: "id"
                  #keyType: "int"
                  +incrementing: false
                  #with: []
                  #withCount: []
                  +preventsLazyLoading: false
                  #perPage: 15
                  +exists: true
                  +wasRecentlyCreated: false
                  #escapeWhenCastingToString: false
                  #attributes: array:10 [ …10]
                  #original: array:10 [ …10]
                  #changes: []
                  #casts: []
                  #classCastCache: []
                  #attributeCastCache: []
                  #dateFormat: null
                  #appends: []
                  #dispatchesEvents: []
                  #observables: []
                  #relations: []
                  #touches: []
                  +timestamps: true
                  +usesUniqueIds: false
                  #hidden: []
                  #visible: []
                  #fillable: []
                  #guarded: array:1 [ …1]
                }
              ]
              #escapeWhenCastingToString: false
            }
            "field_class" => Illuminate\Database\Eloquent\Collection {#1268
              #items: array:1 [
                0 => App\Models\Term {#1269
                  #connection: "mysql"
                  #table: "terms"
                  #primaryKey: "id"
                  #keyType: "int"
                  +incrementing: false
                  #with: []
                  #withCount: []
                  +preventsLazyLoading: false
                  #perPage: 15
                  +exists: true
                  +wasRecentlyCreated: false
                  #escapeWhenCastingToString: false
                  #attributes: array:6 [ …6]
                  #original: array:6 [ …6]
                  #changes: []
                  #casts: []
                  #classCastCache: []
                  #attributeCastCache: []
                  #dateFormat: null
                  #appends: []
                  #dispatchesEvents: []
                  #observables: []
                  #relations: []
                  #touches: []
                  +timestamps: true
                  +usesUniqueIds: false
                  #hidden: []
                  #visible: []
                  #fillable: []
                  #guarded: array:1 [ …1]
                }
              ]
              #escapeWhenCastingToString: false
            }
            "field_publisher" => Illuminate\Database\Eloquent\Collection {#1270
              #items: array:1 [
                0 => App\Models\Term {#1271
                  #connection: "mysql"
                  #table: "terms"
                  #primaryKey: "id"
                  #keyType: "int"
                  +incrementing: false
                  #with: []
                  #withCount: []
                  +preventsLazyLoading: false
                  #perPage: 15
                  +exists: true
                  +wasRecentlyCreated: false
                  #escapeWhenCastingToString: false
                  #attributes: array:6 [ …6]
                  #original: array:6 [ …6]
                  #changes: []
                  #casts: []
                  #classCastCache: []
                  #attributeCastCache: []
                  #dateFormat: null
                  #appends: []
                  #dispatchesEvents: []
                  #observables: []
                  #relations: []
                  #touches: []
                  +timestamps: true
                  +usesUniqueIds: false
                  #hidden: []
                  #visible: []
                  #fillable: []
                  #guarded: array:1 [ …1]
                }
              ]
              #escapeWhenCastingToString: false
            }
            "field_author" => Illuminate\Database\Eloquent\Collection {#1272
              #items: array:5 [
                0 => App\Models\Term {#1273
                  #connection: "mysql"
                  #table: "terms"
                  #primaryKey: "id"
                  #keyType: "int"
                  +incrementing: false
                  #with: []
                  #withCount: []
                  +preventsLazyLoading: false
                  #perPage: 15
                  +exists: true
                  +wasRecentlyCreated: false
                  #escapeWhenCastingToString: false
                  #attributes: array:12 [ …12]
                  #original: array:12 [ …12]
                  #changes: []
                  #casts: []
                  #classCastCache: []
                  #attributeCastCache: []
                  #dateFormat: null
                  #appends: []
                  #dispatchesEvents: []
                  #observables: []
                  #relations: []
                  #touches: []
                  +timestamps: true
                  +usesUniqueIds: false
                  #hidden: []
                  #visible: []
                  #fillable: []
                  #guarded: array:1 [ …1]
                }
                1 => App\Models\Term {#1274
                  #connection: "mysql"
                  #table: "terms"
                  #primaryKey: "id"
                  #keyType: "int"
                  +incrementing: false
                  #with: []
                  #withCount: []
                  +preventsLazyLoading: false
                  #perPage: 15
                  +exists: true
                  +wasRecentlyCreated: false
                  #escapeWhenCastingToString: false
                  #attributes: array:12 [ …12]
                  #original: array:12 [ …12]
                  #changes: []
                  #casts: []
                  #classCastCache: []
                  #attributeCastCache: []
                  #dateFormat: null
                  #appends: []
                  #dispatchesEvents: []
                  #observables: []
                  #relations: []
                  #touches: []
                  +timestamps: true
                  +usesUniqueIds: false
                  #hidden: []
                  #visible: []
                  #fillable: []
                  #guarded: array:1 [ …1]
                }
                2 => App\Models\Term {#1275
                  #connection: "mysql"
                  #table: "terms"
                  #primaryKey: "id"
                  #keyType: "int"
                  +incrementing: false
                  #with: []
                  #withCount: []
                  +preventsLazyLoading: false
                  #perPage: 15
                  +exists: true
                  +wasRecentlyCreated: false
                  #escapeWhenCastingToString: false
                  #attributes: array:12 [ …12]
                  #original: array:12 [ …12]
                  #changes: []
                  #casts: []
                  #classCastCache: []
                  #attributeCastCache: []
                  #dateFormat: null
                  #appends: []
                  #dispatchesEvents: []
                  #observables: []
                  #relations: []
                  #touches: []
                  +timestamps: true
                  +usesUniqueIds: false
                  #hidden: []
                  #visible: []
                  #fillable: []
                  #guarded: array:1 [ …1]
                }
                3 => App\Models\Term {#1276
                  #connection: "mysql"
                  #table: "terms"
                  #primaryKey: "id"
                  #keyType: "int"
                  +incrementing: false
                  #with: []
                  #withCount: []
                  +preventsLazyLoading: false
                  #perPage: 15
                  +exists: true
                  +wasRecentlyCreated: false
                  #escapeWhenCastingToString: false
                  #attributes: array:12 [ …12]
                  #original: array:12 [ …12]
                  #changes: []
                  #casts: []
                  #classCastCache: []
                  #attributeCastCache: []
                  #dateFormat: null
                  #appends: []
                  #dispatchesEvents: []
                  #observables: []
                  #relations: []
                  #touches: []
                  +timestamps: true
                  +usesUniqueIds: false
                  #hidden: []
                  #visible: []
                  #fillable: []
                  #guarded: array:1 [ …1]
                }
                4 => App\Models\Term {#1277
                  #connection: "mysql"
                  #table: "terms"
                  #primaryKey: "id"
                  #keyType: "int"
                  +incrementing: false
                  #with: []
                  #withCount: []
                  +preventsLazyLoading: false
                  #perPage: 15
                  +exists: true
                  +wasRecentlyCreated: false
                  #escapeWhenCastingToString: false
                  #attributes: array:12 [ …12]
                  #original: array:12 [ …12]
                  #changes: []
                  #casts: []
                  #classCastCache: []
                  #attributeCastCache: []
                  #dateFormat: null
                  #appends: []
                  #dispatchesEvents: []
                  #observables: []
                  #relations: []
                  #touches: []
                  +timestamps: true
                  +usesUniqueIds: false
                  #hidden: []
                  #visible: []
                  #fillable: []
                  #guarded: array:1 [ …1]
                }
              ]
              #escapeWhenCastingToString: false
            }
            "field_author_foreign" => Illuminate\Database\Eloquent\Collection {#1278
              #items: []
              #escapeWhenCastingToString: false
            }
            "field_book_type" => Illuminate\Database\Eloquent\Collection {#1279
              #items: array:1 [
                0 => App\Models\Term {#1280
                  #connection: "mysql"
                  #table: "terms"
                  #primaryKey: "id"
                  #keyType: "int"
                  +incrementing: false
                  #with: []
                  #withCount: []
                  +preventsLazyLoading: false
                  #perPage: 15
                  +exists: true
                  +wasRecentlyCreated: false
                  #escapeWhenCastingToString: false
                  #attributes: array:10 [ …10]
                  #original: array:10 [ …10]
                  #changes: []
                  #casts: []
                  #classCastCache: []
                  #attributeCastCache: []
                  #dateFormat: null
                  #appends: []
                  #dispatchesEvents: []
                  #observables: []
                  #relations: []
                  #touches: []
                  +timestamps: true
                  +usesUniqueIds: false
                  #hidden: []
                  #visible: []
                  #fillable: []
                  #guarded: array:1 [ …1]
                }
              ]
              #escapeWhenCastingToString: false
            }
            "field_country" => Illuminate\Database\Eloquent\Collection {#1281
              #items: array:1 [
                0 => App\Models\Term {#1282
                  #connection: "mysql"
                  #table: "terms"
                  #primaryKey: "id"
                  #keyType: "int"
                  +incrementing: false
                  #with: []
                  #withCount: []
                  +preventsLazyLoading: false
                  #perPage: 15
                  +exists: true
                  +wasRecentlyCreated: false
                  #escapeWhenCastingToString: false
                  #attributes: array:6 [ …6]
                  #original: array:6 [ …6]
                  #changes: []
                  #casts: []
                  #classCastCache: []
                  #attributeCastCache: []
                  #dateFormat: null
                  #appends: []
                  #dispatchesEvents: []
                  #observables: []
                  #relations: []
                  #touches: []
                  +timestamps: true
                  +usesUniqueIds: false
                  #hidden: []
                  #visible: []
                  #fillable: []
                  #guarded: array:1 [ …1]
                }
              ]
              #escapeWhenCastingToString: false
            }
            "field_city" => Illuminate\Database\Eloquent\Collection {#1283
              #items: array:1 [
                0 => App\Models\Term {#1284
                  #connection: "mysql"
                  #table: "terms"
                  #primaryKey: "id"
                  #keyType: "int"
                  +incrementing: false
                  #with: []
                  #withCount: []
                  +preventsLazyLoading: false
                  #perPage: 15
                  +exists: true
                  +wasRecentlyCreated: false
                  #escapeWhenCastingToString: false
                  #attributes: array:6 [ …6]
                  #original: array:6 [ …6]
                  #changes: []
                  #casts: []
                  #classCastCache: []
                  #attributeCastCache: []
                  #dateFormat: null
                  #appends: []
                  #dispatchesEvents: []
                  #observables: []
                  #relations: []
                  #touches: []
                  +timestamps: true
                  +usesUniqueIds: false
                  #hidden: []
                  #visible: []
                  #fillable: []
                  #guarded: array:1 [ …1]
                }
              ]
              #escapeWhenCastingToString: false
            }
            "field_series" => Illuminate\Database\Eloquent\Collection {#1285
              #items: []
              #escapeWhenCastingToString: false
            }
            "field_umk" => Illuminate\Database\Eloquent\Collection {#1286
              #items: []
              #escapeWhenCastingToString: false
            }
            "field_level_of_education" => Illuminate\Database\Eloquent\Collection {#1287
              #items: []
              #escapeWhenCastingToString: false
            }
            "field_standart_of_education" => Illuminate\Database\Eloquent\Collection {#1288
              #items: []
              #escapeWhenCastingToString: false
            }
            "field_publication_number" => "26"
            "field_publication_type" => Illuminate\Database\Eloquent\Collection {#1289
              #items: array:1 [
                0 => App\Models\Term {#1290
                  #connection: "mysql"
                  #table: "terms"
                  #primaryKey: "id"
                  #keyType: "int"
                  +incrementing: false
                  #with: []
                  #withCount: []
                  +preventsLazyLoading: false
                  #perPage: 15
                  +exists: true
                  +wasRecentlyCreated: false
                  #escapeWhenCastingToString: false
                  #attributes: array:6 [ …6]
                  #original: array:6 [ …6]
                  #changes: []
                  #casts: []
                  #classCastCache: []
                  #attributeCastCache: []
                  #dateFormat: null
                  #appends: []
                  #dispatchesEvents: []
                  #observables: []
                  #relations: []
                  #touches: []
                  +timestamps: true
                  +usesUniqueIds: false
                  #hidden: []
                  #visible: []
                  #fillable: []
                  #guarded: array:1 [ …1]
                }
              ]
              #escapeWhenCastingToString: false
            }
            "field_under_the_edition" => Illuminate\Database\Eloquent\Collection {#1291
              #items: []
              #escapeWhenCastingToString: false
            }
            "field_under_the_edition_degree" => null
            "field_cover_description" => null
            "field_publication_year" => "2019"
            "field_publication_year_until" => null
            "field_part" => "1, 2"
            "field_part_writing" => "Часть"
            "field_second_foreign_language" => null
            "field_for_whom" => "Учебник для общеобразовательных организаций"
            "field_allowed" => "Допущено Министерством просвещения Российской Федерации"
            "field_reserve_field" => null
            "field_link_to_source" => null
            "field_tasks_count" => "2014"
            "field_priority" => "4"
            "field_default_folder" => "/algebra_08/mordkovich-z-21/"
            "field_isbn" => null
            "field_cover" => array:2 [
              0 => "/media/algebra_08/mordkovich-z-21/covers/cover1.webp?ts=1734210650"
              1 => "/media/algebra_08/mordkovich-z-21/covers/cover2.webp?ts=1734210650"
            ]
            "field_cover_alts" => array:2 [
              0 => "часть 1"
              1 => "часть 2"
            ]
            "field_covers" => array:2 [
              0 => array:4 [
                "path" => "/media/algebra_08/mordkovich-z-21/covers/cover1.webp?ts=1734210650"
                "alt" => "часть 1"
                "width" => "1919"
                "height" => "2577"
              ]
              1 => array:4 [
                "path" => "/media/algebra_08/mordkovich-z-21/covers/cover2.webp?ts=1734210650"
                "alt" => "часть 2"
                "width" => "1875"
                "height" => "2548"
              ]
            ]
            "field_popular_book" => null
            "field_recommended_books" => Illuminate\Database\Eloquent\Collection {#1292
              #items: []
              #escapeWhenCastingToString: false
            }
            "field_new_book" => Illuminate\Database\Eloquent\Collection {#1293
              #items: []
              #escapeWhenCastingToString: false
            }
            "field_old_book" => Illuminate\Database\Eloquent\Collection {#1294
              #items: []
              #escapeWhenCastingToString: false
            }
            "field_url" => "/8-klass/algebra/mordkovich"
            "field_cover_color" => Illuminate\Database\Eloquent\Collection {#1295
              #items: []
              #escapeWhenCastingToString: false
            }
            "field_metatags_title" => null
            "field_metatags_description" => null
            "field_h1" => null
            "field_description_top" => null
            "field_description_bottom" => "<!--Текст в низу страницы--> <h2> Чем порадует учеников алгебра в 8 классе? </h2> <p> Школьники все надеются, что программа обучения станет немного более понятной и простой. Особенно это касается алгебры - предмета со всех сторон весьма непростого. Но в восьмом классе их надеждам тоже не суждено сбыться. Мало того, что материал предстоит учить весьма обширный, количество домашних заданий увеличится, так еще добавится подготовка к предстоящим вскоре ОГЭ. Чтобы справиться со всем этим, учащимся стоит воспользоваться «<strong>ГДЗ по Алгебре 8 класс Учебник Мордкович (Мнемозина, 2021 г.)</strong>». </p> <p> Школьникам в этом году предстоит изучать такие сложные темы как: <ol> <li>Действия с алгебраическими дробями.</li> <li>Преобразование рациональных уравнений.</li> <li>Теория вероятности.</li> <li>Модуль числа.</li> <li>Линейные и квадратные неравенства.</li> <li>Комбинаторность, и т.д.</li> </ol> <p> Больше всего трудностей возникает при построении графиков функций, которые перед этим нужно найти. Подобрать правильное уравнение весьма непросто, особенно если нет понимания, как именно это делается. Как показывает практика, многие ученики испытывают проблемы именно при решении неравенств. У подростков часто нет времени сидеть и детально изучать в чем именно прослеживается недочет. Этого можно сразу и не понять, если раньше были упущены какие-то навыки. Поэтому решебник станет отличным вариантом для устранения всех возникающих недопониманий. </p> <h2> Насколько полезен решебник к учебнику Мордковича? </h2> <p> Споры касательно применения электронных справочников ведутся уже давно. Но школьники обычно в них не участвуют, так как прекрасно понимают незаменимость и актуальность этих пособий. <strong>Готовые решения по алгебре за 8 класс к учебнику(задачнику) Мордковича А. Г.</strong> позволяют им полноценно освоить все аспекты учебного материала, восполнить пробелы и проработать проблемные моменты, не затрачивая на это много времени и сил. </p> <p> Конечно, достигнуть хороших результатов можно только при определенных условиях:</p> <ol> <li>никогда нельзя забывать про изучение теории, даже если ее в учебнике самый минимум;</li> <li>домашние задания всегда нужно выполнять самостоятельно, без подсказок;</li> <li>сверяя решения по сборнику, стоит помнить о внимательности;</li> <li>если найдены ошибки, их необходимо не только исправить, но и понять, почему они возникли.</li> </ol> <p> Только такой подход гарантирует успешное освоение дисциплины. Однако у учеников всегда присутствует соблазн просто списать ответы. Принесет ли им это пользу? Безусловно, пару-тройку хороших оценок они получат, но что дальше? Преподаватель рано или поздно заметит обман и придется нагонять программу, которая стремительно несется вперед. К тому же, доверие учителя уже будет потеряно, что может положить конец отличной успеваемости. Так что рисковать явно не стоит. </p> <h2> Решебник - уникальное учебное пособие </h2> <p> У каждого ребенка свои таланты. Одним хорошо даются точные науки, другим - гуманитарные. Но практически все школьники испытывают трудности при освоении алгебры. Лишь единицы подростков легко ориентируются в материале, формулах и уравнениях. Остальным же требуется дополнительная помощь. Оказать ее могут <strong>подробные решения по алгебре 8 класс Мордковича</strong>. </p> <p> В справочнике размещены все необходимые сведения, которые помогут усвоить изучаемый параграф: <ul> <li>верные ответы на все номера;</li> <li>доскональные решения;</li> <li>подробные наглядные примеры;</li> <li>дополнительные примечания.</li> </ul> <p> Сборник создан группой профессиональных методистов, которые максимально подробно описали все действия, что нужно совершить ученикам, чтобы получить правильные результаты. Периодически сверяясь с решебником восьмиклассники получают возможность удостовериться в своей правоте, либо проработать недочеты. </p>"
            "breadcrumbs" => array:3 [
              "class" => 379
              "subject" => 542
              "class_subject" => 385
            ]
          ]
          #original: array:50 [
            "id" => 14
            "created_at" => "2026-04-10 13:58:26"
            "updated_at" => null
            "field_tree_default_status" => "tasks"
            "field_pages_status" => null
            "field_subject" => Illuminate\Database\Eloquent\Collection {#1266}
            "field_class" => Illuminate\Database\Eloquent\Collection {#1268}
            "field_publisher" => Illuminate\Database\Eloquent\Collection {#1270}
            "field_author" => Illuminate\Database\Eloquent\Collection {#1272}
            "field_author_foreign" => Illuminate\Database\Eloquent\Collection {#1278}
            "field_book_type" => Illuminate\Database\Eloquent\Collection {#1279}
            "field_country" => Illuminate\Database\Eloquent\Collection {#1281}
            "field_city" => Illuminate\Database\Eloquent\Collection {#1283}
            "field_series" => Illuminate\Database\Eloquent\Collection {#1285}
            "field_umk" => Illuminate\Database\Eloquent\Collection {#1286}
            "field_level_of_education" => Illuminate\Database\Eloquent\Collection {#1287}
            "field_standart_of_education" => Illuminate\Database\Eloquent\Collection {#1288}
            "field_publication_number" => "26"
            "field_publication_type" => Illuminate\Database\Eloquent\Collection {#1289}
            "field_under_the_edition" => Illuminate\Database\Eloquent\Collection {#1291}
            "field_under_the_edition_degree" => null
            "field_cover_description" => null
            "field_publication_year" => "2019"
            "field_publication_year_until" => null
            "field_part" => "1, 2"
            "field_part_writing" => "Часть"
            "field_second_foreign_language" => null
            "field_for_whom" => "Учебник для общеобразовательных организаций"
            "field_allowed" => "Допущено Министерством просвещения Российской Федерации"
            "field_reserve_field" => null
            "field_link_to_source" => null
            "field_tasks_count" => "2014"
            "field_priority" => "4"
            "field_default_folder" => "/algebra_08/mordkovich-z-21/"
            "field_isbn" => null
            "field_cover" => array:2 [
              0 => "/media/algebra_08/mordkovich-z-21/covers/cover1.webp?ts=1734210650"
              1 => "/media/algebra_08/mordkovich-z-21/covers/cover2.webp?ts=1734210650"
            ]
            "field_cover_alts" => array:2 [
              0 => "часть 1"
              1 => "часть 2"
            ]
            "field_covers" => array:2 [
              0 => array:4 [
                "path" => "/media/algebra_08/mordkovich-z-21/covers/cover1.webp?ts=1734210650"
                "alt" => "часть 1"
                "width" => "1919"
                "height" => "2577"
              ]
              1 => array:4 [
                "path" => "/media/algebra_08/mordkovich-z-21/covers/cover2.webp?ts=1734210650"
                "alt" => "часть 2"
                "width" => "1875"
                "height" => "2548"
              ]
            ]
            "field_popular_book" => null
            "field_recommended_books" => Illuminate\Database\Eloquent\Collection {#1292}
            "field_new_book" => Illuminate\Database\Eloquent\Collection {#1293}
            "field_old_book" => Illuminate\Database\Eloquent\Collection {#1294}
            "field_url" => "/8-klass/algebra/mordkovich"
            "field_cover_color" => Illuminate\Database\Eloquent\Collection {#1295}
            "field_metatags_title" => null
            "field_metatags_description" => null
            "field_h1" => null
            "field_description_top" => null
            "field_description_bottom" => "<!--Текст в низу страницы--> <h2> Чем порадует учеников алгебра в 8 классе? </h2> <p> Школьники все надеются, что программа обучения станет немного более понятной и простой. Особенно это касается алгебры - предмета со всех сторон весьма непростого. Но в восьмом классе их надеждам тоже не суждено сбыться. Мало того, что материал предстоит учить весьма обширный, количество домашних заданий увеличится, так еще добавится подготовка к предстоящим вскоре ОГЭ. Чтобы справиться со всем этим, учащимся стоит воспользоваться «<strong>ГДЗ по Алгебре 8 класс Учебник Мордкович (Мнемозина, 2021 г.)</strong>». </p> <p> Школьникам в этом году предстоит изучать такие сложные темы как: <ol> <li>Действия с алгебраическими дробями.</li> <li>Преобразование рациональных уравнений.</li> <li>Теория вероятности.</li> <li>Модуль числа.</li> <li>Линейные и квадратные неравенства.</li> <li>Комбинаторность, и т.д.</li> </ol> <p> Больше всего трудностей возникает при построении графиков функций, которые перед этим нужно найти. Подобрать правильное уравнение весьма непросто, особенно если нет понимания, как именно это делается. Как показывает практика, многие ученики испытывают проблемы именно при решении неравенств. У подростков часто нет времени сидеть и детально изучать в чем именно прослеживается недочет. Этого можно сразу и не понять, если раньше были упущены какие-то навыки. Поэтому решебник станет отличным вариантом для устранения всех возникающих недопониманий. </p> <h2> Насколько полезен решебник к учебнику Мордковича? </h2> <p> Споры касательно применения электронных справочников ведутся уже давно. Но школьники обычно в них не участвуют, так как прекрасно понимают незаменимость и актуальность этих пособий. <strong>Готовые решения по алгебре за 8 класс к учебнику(задачнику) Мордковича А. Г.</strong> позволяют им полноценно освоить все аспекты учебного материала, восполнить пробелы и проработать проблемные моменты, не затрачивая на это много времени и сил. </p> <p> Конечно, достигнуть хороших результатов можно только при определенных условиях:</p> <ol> <li>никогда нельзя забывать про изучение теории, даже если ее в учебнике самый минимум;</li> <li>домашние задания всегда нужно выполнять самостоятельно, без подсказок;</li> <li>сверяя решения по сборнику, стоит помнить о внимательности;</li> <li>если найдены ошибки, их необходимо не только исправить, но и понять, почему они возникли.</li> </ol> <p> Только такой подход гарантирует успешное освоение дисциплины. Однако у учеников всегда присутствует соблазн просто списать ответы. Принесет ли им это пользу? Безусловно, пару-тройку хороших оценок они получат, но что дальше? Преподаватель рано или поздно заметит обман и придется нагонять программу, которая стремительно несется вперед. К тому же, доверие учителя уже будет потеряно, что может положить конец отличной успеваемости. Так что рисковать явно не стоит. </p> <h2> Решебник - уникальное учебное пособие </h2> <p> У каждого ребенка свои таланты. Одним хорошо даются точные науки, другим - гуманитарные. Но практически все школьники испытывают трудности при освоении алгебры. Лишь единицы подростков легко ориентируются в материале, формулах и уравнениях. Остальным же требуется дополнительная помощь. Оказать ее могут <strong>подробные решения по алгебре 8 класс Мордковича</strong>. </p> <p> В справочнике размещены все необходимые сведения, которые помогут усвоить изучаемый параграф: <ul> <li>верные ответы на все номера;</li> <li>доскональные решения;</li> <li>подробные наглядные примеры;</li> <li>дополнительные примечания.</li> </ul> <p> Сборник создан группой профессиональных методистов, которые максимально подробно описали все действия, что нужно совершить ученикам, чтобы получить правильные результаты. Периодически сверяясь с решебником восьмиклассники получают возможность удостовериться в своей правоте, либо проработать недочеты. </p>"
            "breadcrumbs" => array:3 [
              "class" => 379
              "subject" => 542
              "class_subject" => 385
            ]
          ]
          #changes: []
          #casts: []
          #classCastCache: []
          #attributeCastCache: []
          #dateFormat: null
          #appends: []
          #dispatchesEvents: []
          #observables: []
          #relations: []
          #touches: []
          +timestamps: true
          +usesUniqueIds: false
          #hidden: []
          #visible: []
          #fillable: []
          #guarded: array:1 [
            0 => "*"
          ]
        }
      ]
      #escapeWhenCastingToString: false
    }
    "page" => Illuminate\Database\Eloquent\Collection {#1792
      #items: array:1 [
        0 => App\Models\BookPage {#1299
          #connection: "mysql"
          #table: "book_pages"
          #primaryKey: "id"
          #keyType: "int"
          +incrementing: true
          #with: []
          #withCount: []
          +preventsLazyLoading: false
          #perPage: 15
          +exists: true
          +wasRecentlyCreated: false
          #escapeWhenCastingToString: false
          #attributes: array:21 [
            "id" => 865281
            "created_at" => "2026-04-10 13:58:26"
            "updated_at" => null
            "field_page_start" => "78"
            "field_url" => "/8-klass/algebra/mordkovich/page-2-78"
            "field_display_title" => "78"
            "field_folder" => "2"
            "field_image_name" => "78"
            "field_branch_parent" => Illuminate\Database\Eloquent\Collection {#1303
              #items: array:1 [
                0 => App\Models\Branch {#1302
                  #connection: "mysql"
                  #table: "branches"
                  #primaryKey: "id"
                  #keyType: "int"
                  +incrementing: true
                  #with: []
                  #withCount: []
                  +preventsLazyLoading: false
                  #perPage: 15
                  +exists: true
                  +wasRecentlyCreated: false
                  #escapeWhenCastingToString: false
                  #attributes: array:24 [ …24]
                  #original: array:24 [ …24]
                  #changes: []
                  #casts: []
                  #classCastCache: []
                  #attributeCastCache: []
                  #dateFormat: null
                  #appends: []
                  #dispatchesEvents: []
                  #observables: []
                  #relations: []
                  #touches: []
                  +timestamps: true
                  +usesUniqueIds: false
                  #hidden: []
                  #visible: []
                  #fillable: []
                  #guarded: array:1 [ …1]
                }
              ]
              #escapeWhenCastingToString: false
            }
            "field_weight" => "0"
            "field_book_parent" => Illuminate\Database\Eloquent\Collection {#1339
              #items: array:1 [
                0 => App\Models\Book {#1340
                  #connection: "mysql"
                  #table: "books"
                  #primaryKey: "id"
                  #keyType: "int"
                  +incrementing: false
                  #with: []
                  #withCount: []
                  +preventsLazyLoading: false
                  #perPage: 15
                  +exists: true
                  +wasRecentlyCreated: false
                  #escapeWhenCastingToString: false
                  #attributes: array:50 [ …50]
                  #original: array:50 [ …50]
                  #changes: []
                  #casts: []
                  #classCastCache: []
                  #attributeCastCache: []
                  #dateFormat: null
                  #appends: []
                  #dispatchesEvents: []
                  #observables: []
                  #relations: []
                  #touches: []
                  +timestamps: true
                  +usesUniqueIds: false
                  #hidden: []
                  #visible: []
                  #fillable: []
                  #guarded: array:1 [ …1]
                }
              ]
              #escapeWhenCastingToString: false
            }
            "field_metatags_title" => null
            "field_metatags_description" => null
            "field_h1" => null
            "field_description_top" => null
            "field_description_bottom" => null
            "edition_groups" => Illuminate\Database\Eloquent\Collection {#1371
              #items: []
              #escapeWhenCastingToString: false
            }
            "content" => Illuminate\Database\Eloquent\Collection {#1372
              #items: array:1 [
                0 => App\Models\Element {#1373
                  #connection: "mysql"
                  #table: "elements"
                  #primaryKey: "id"
                  #keyType: "int"
                  +incrementing: true
                  #with: []
                  #withCount: []
                  +preventsLazyLoading: false
                  #perPage: 15
                  +exists: true
                  +wasRecentlyCreated: false
                  #escapeWhenCastingToString: false
                  #attributes: array:6 [ …6]
                  #original: array:6 [ …6]
                  #changes: []
                  #casts: []
                  #classCastCache: []
                  #attributeCastCache: []
                  #dateFormat: null
                  #appends: []
                  #dispatchesEvents: []
                  #observables: []
                  #relations: []
                  #touches: []
                  +timestamps: true
                  +usesUniqueIds: false
                  #hidden: []
                  #visible: []
                  #fillable: []
                  #guarded: array:1 [ …1]
                }
              ]
              #escapeWhenCastingToString: false
            }
            "next" => array:2 [
              "refs" => "865282"
              "type" => "book_page"
            ]
            "previous" => array:2 [
              "refs" => "865280"
              "type" => "book_page"
            ]
            "tasks" => Illuminate\Database\Eloquent\Collection {#1381
              #items: array:12 [
                0 => App\Models\Task {#1382
                  #connection: "mysql"
                  #table: "tasks"
                  #primaryKey: "id"
                  #keyType: "int"
                  +incrementing: true
                  #with: []
                  #withCount: []
                  +preventsLazyLoading: false
                  #perPage: 15
                  +exists: true
                  +wasRecentlyCreated: false
                  #escapeWhenCastingToString: false
                  #attributes: array:24 [ …24]
                  #original: array:24 [ …24]
                  #changes: []
                  #casts: []
                  #classCastCache: []
                  #attributeCastCache: []
                  #dateFormat: null
                  #appends: []
                  #dispatchesEvents: []
                  #observables: []
                  #relations: []
                  #touches: []
                  +timestamps: true
                  +usesUniqueIds: false
                  #hidden: []
                  #visible: []
                  #fillable: []
                  #guarded: array:1 [ …1]
                }
                1 => App\Models\Task {#1581
                  #connection: "mysql"
                  #table: "tasks"
                  #primaryKey: "id"
                  #keyType: "int"
                  +incrementing: true
                  #with: []
                  #withCount: []
                  +preventsLazyLoading: false
                  #perPage: 15
                  +exists: true
                  +wasRecentlyCreated: false
                  #escapeWhenCastingToString: false
                  #attributes: array:24 [ …24]
                  #original: array:24 [ …24]
                  #changes: []
                  #casts: []
                  #classCastCache: []
                  #attributeCastCache: []
                  #dateFormat: null
                  #appends: []
                  #dispatchesEvents: []
                  #observables: []
                  #relations: []
                  #touches: []
                  +timestamps: true
                  +usesUniqueIds: false
                  #hidden: []
                  #visible: []
                  #fillable: []
                  #guarded: array:1 [ …1]
                }
                2 => App\Models\Task {#1600
                  #connection: "mysql"
                  #table: "tasks"
                  #primaryKey: "id"
                  #keyType: "int"
                  +incrementing: true
                  #with: []
                  #withCount: []
                  +preventsLazyLoading: false
                  #perPage: 15
                  +exists: true
                  +wasRecentlyCreated: false
                  #escapeWhenCastingToString: false
                  #attributes: array:24 [ …24]
                  #original: array:24 [ …24]
                  #changes: []
                  #casts: []
                  #classCastCache: []
                  #attributeCastCache: []
                  #dateFormat: null
                  #appends: []
                  #dispatchesEvents: []
                  #observables: []
                  #relations: []
                  #touches: []
                  +timestamps: true
                  +usesUniqueIds: false
                  #hidden: []
                  #visible: []
                  #fillable: []
                  #guarded: array:1 [ …1]
                }
                3 => App\Models\Task {#1619
                  #connection: "mysql"
                  #table: "tasks"
                  #primaryKey: "id"
                  #keyType: "int"
                  +incrementing: true
                  #with: []
                  #withCount: []
                  +preventsLazyLoading: false
                  #perPage: 15
                  +exists: true
                  +wasRecentlyCreated: false
                  #escapeWhenCastingToString: false
                  #attributes: array:24 [ …24]
                  #original: array:24 [ …24]
                  #changes: []
                  #casts: []
                  #classCastCache: []
                  #attributeCastCache: []
                  #dateFormat: null
                  #appends: []
                  #dispatchesEvents: []
                  #observables: []
                  #relations: []
                  #touches: []
                  +timestamps: true
                  +usesUniqueIds: false
                  #hidden: []
                  #visible: []
                  #fillable: []
                  #guarded: array:1 [ …1]
                }
                4 => App\Models\Task {#1638
                  #connection: "mysql"
                  #table: "tasks"
                  #primaryKey: "id"
                  #keyType: "int"
                  +incrementing: true
                  #with: []
                  #withCount: []
                  +preventsLazyLoading: false
                  #perPage: 15
                  +exists: true
                  +wasRecentlyCreated: false
                  #escapeWhenCastingToString: false
                  #attributes: array:24 [ …24]
                  #original: array:24 [ …24]
                  #changes: []
                  #casts: []
                  #classCastCache: []
                  #attributeCastCache: []
                  #dateFormat: null
                  #appends: []
                  #dispatchesEvents: []
                  #observables: []
                  #relations: []
                  #touches: []
                  +timestamps: true
                  +usesUniqueIds: false
                  #hidden: []
                  #visible: []
                  #fillable: []
                  #guarded: array:1 [ …1]
                }
                5 => App\Models\Task {#1657
                  #connection: "mysql"
                  #table: "tasks"
                  #primaryKey: "id"
                  #keyType: "int"
                  +incrementing: true
                  #with: []
                  #withCount: []
                  +preventsLazyLoading: false
                  #perPage: 15
                  +exists: true
                  +wasRecentlyCreated: false
                  #escapeWhenCastingToString: false
                  #attributes: array:24 [ …24]
                  #original: array:24 [ …24]
                  #changes: []
                  #casts: []
                  #classCastCache: []
                  #attributeCastCache: []
                  #dateFormat: null
                  #appends: []
                  #dispatchesEvents: []
                  #observables: []
                  #relations: []
                  #touches: []
                  +timestamps: true
                  +usesUniqueIds: false
                  #hidden: []
                  #visible: []
                  #fillable: []
                  #guarded: array:1 [ …1]
                }
                6 => App\Models\Task {#1676
                  #connection: "mysql"
                  #table: "tasks"
                  #primaryKey: "id"
                  #keyType: "int"
                  +incrementing: true
                  #with: []
                  #withCount: []
                  +preventsLazyLoading: false
                  #perPage: 15
                  +exists: true
                  +wasRecentlyCreated: false
                  #escapeWhenCastingToString: false
                  #attributes: array:24 [ …24]
                  #original: array:24 [ …24]
                  #changes: []
                  #casts: []
                  #classCastCache: []
                  #attributeCastCache: []
                  #dateFormat: null
                  #appends: []
                  #dispatchesEvents: []
                  #observables: []
                  #relations: []
                  #touches: []
                  +timestamps: true
                  +usesUniqueIds: false
                  #hidden: []
                  #visible: []
                  #fillable: []
                  #guarded: array:1 [ …1]
                }
                7 => App\Models\Task {#1695
                  #connection: "mysql"
                  #table: "tasks"
                  #primaryKey: "id"
                  #keyType: "int"
                  +incrementing: true
                  #with: []
                  #withCount: []
                  +preventsLazyLoading: false
                  #perPage: 15
                  +exists: true
                  +wasRecentlyCreated: false
                  #escapeWhenCastingToString: false
                  #attributes: array:24 [ …24]
                  #original: array:24 [ …24]
                  #changes: []
                  #casts: []
                  #classCastCache: []
                  #attributeCastCache: []
                  #dateFormat: null
                  #appends: []
                  #dispatchesEvents: []
                  #observables: []
                  #relations: []
                  #touches: []
                  +timestamps: true
                  +usesUniqueIds: false
                  #hidden: []
                  #visible: []
                  #fillable: []
                  #guarded: array:1 [ …1]
                }
                8 => App\Models\Task {#1714
                  #connection: "mysql"
                  #table: "tasks"
                  #primaryKey: "id"
                  #keyType: "int"
                  +incrementing: true
                  #with: []
                  #withCount: []
                  +preventsLazyLoading: false
                  #perPage: 15
                  +exists: true
                  +wasRecentlyCreated: false
                  #escapeWhenCastingToString: false
                  #attributes: array:24 [ …24]
                  #original: array:24 [ …24]
                  #changes: []
                  #casts: []
                  #classCastCache: []
                  #attributeCastCache: []
                  #dateFormat: null
                  #appends: []
                  #dispatchesEvents: []
                  #observables: []
                  #relations: []
                  #touches: []
                  +timestamps: true
                  +usesUniqueIds: false
                  #hidden: []
                  #visible: []
                  #fillable: []
                  #guarded: array:1 [ …1]
                }
                9 => App\Models\Task {#1733
                  #connection: "mysql"
                  #table: "tasks"
                  #primaryKey: "id"
                  #keyType: "int"
                  +incrementing: true
                  #with: []
                  #withCount: []
                  +preventsLazyLoading: false
                  #perPage: 15
                  +exists: true
                  +wasRecentlyCreated: false
                  #escapeWhenCastingToString: false
                  #attributes: array:24 [ …24]
                  #original: array:24 [ …24]
                  #changes: []
                  #casts: []
                  #classCastCache: []
                  #attributeCastCache: []
                  #dateFormat: null
                  #appends: []
                  #dispatchesEvents: []
                  #observables: []
                  #relations: []
                  #touches: []
                  +timestamps: true
                  +usesUniqueIds: false
                  #hidden: []
                  #visible: []
                  #fillable: []
                  #guarded: array:1 [ …1]
                }
                10 => App\Models\Task {#1752
                  #connection: "mysql"
                  #table: "tasks"
                  #primaryKey: "id"
                  #keyType: "int"
                  +incrementing: true
                  #with: []
                  #withCount: []
                  +preventsLazyLoading: false
                  #perPage: 15
                  +exists: true
                  +wasRecentlyCreated: false
                  #escapeWhenCastingToString: false
                  #attributes: array:24 [ …24]
                  #original: array:24 [ …24]
                  #changes: []
                  #casts: []
                  #classCastCache: []
                  #attributeCastCache: []
                  #dateFormat: null
                  #appends: []
                  #dispatchesEvents: []
                  #observables: []
                  #relations: []
                  #touches: []
                  +timestamps: true
                  +usesUniqueIds: false
                  #hidden: []
                  #visible: []
                  #fillable: []
                  #guarded: array:1 [ …1]
                }
                11 => App\Models\Task {#1771
                  #connection: "mysql"
                  #table: "tasks"
                  #primaryKey: "id"
                  #keyType: "int"
                  +incrementing: true
                  #with: []
                  #withCount: []
                  +preventsLazyLoading: false
                  #perPage: 15
                  +exists: true
                  +wasRecentlyCreated: false
                  #escapeWhenCastingToString: false
                  #attributes: array:24 [ …24]
                  #original: array:24 [ …24]
                  #changes: []
                  #casts: []
                  #classCastCache: []
                  #attributeCastCache: []
                  #dateFormat: null
                  #appends: []
                  #dispatchesEvents: []
                  #observables: []
                  #relations: []
                  #touches: []
                  +timestamps: true
                  +usesUniqueIds: false
                  #hidden: []
                  #visible: []
                  #fillable: []
                  #guarded: array:1 [ …1]
                }
              ]
              #escapeWhenCastingToString: false
            }
          ]
          #original: array:21 [
            "id" => 865281
            "created_at" => "2026-04-10 13:58:26"
            "updated_at" => null
            "field_page_start" => "78"
            "field_url" => "/8-klass/algebra/mordkovich/page-2-78"
            "field_display_title" => "78"
            "field_folder" => "2"
            "field_image_name" => "78"
            "field_branch_parent" => Illuminate\Database\Eloquent\Collection {#1303}
            "field_weight" => "0"
            "field_book_parent" => Illuminate\Database\Eloquent\Collection {#1339}
            "field_metatags_title" => null
            "field_metatags_description" => null
            "field_h1" => null
            "field_description_top" => null
            "field_description_bottom" => null
            "edition_groups" => Illuminate\Database\Eloquent\Collection {#1371}
            "content" => Illuminate\Database\Eloquent\Collection {#1372}
            "next" => array:2 [
              "refs" => "865282"
              "type" => "book_page"
            ]
            "previous" => array:2 [
              "refs" => "865280"
              "type" => "book_page"
            ]
            "tasks" => Illuminate\Database\Eloquent\Collection {#1381}
          ]
          #changes: []
          #casts: []
          #classCastCache: []
          #attributeCastCache: []
          #dateFormat: null
          #appends: []
          #dispatchesEvents: []
          #observables: []
          #relations: []
          #touches: []
          +timestamps: true
          +usesUniqueIds: false
          #hidden: []
          #visible: []
          #fillable: []
          #guarded: array:1 [
            0 => "*"
          ]
        }
      ]
      #escapeWhenCastingToString: false
    }
  ]
  #original: array:24 [
    "id" => 227377
    "created_at" => "2026-04-10 13:58:26"
    "updated_at" => null
    "field_page_start" => "78"
    "field_page_end" => null
    "field_url" => "/8-klass/algebra/mordkovich/15-18"
    "field_display_title" => "15.18"
    "field_outside_task" => null
    "field_task_type" => Illuminate\Database\Eloquent\Collection {#331}
    "field_metatags_title" => null
    "field_metatags_description" => null
    "field_h1" => null
    "field_description_top" => null
    "field_description_bottom" => null
    "field_match" => null
    "breadcrumbs" => []
    "edition_groups" => Illuminate\Database\Eloquent\Collection {#1026}
    "top_parent_branch" => Illuminate\Database\Eloquent\Collection {#342}
    "parent_branches" => Illuminate\Database\Eloquent\Collection {#1065}
    "content" => Illuminate\Database\Eloquent\Collection {#1215}
    "next" => array:2 [
      "refs" => "227378"
      "type" => "task"
    ]
    "previous" => array:2 [
      "refs" => "227376"
      "type" => "task"
    ]
    "book" => Illuminate\Database\Eloquent\Collection {#1264}
    "page" => array:2 [
      "refs" => "865281"
      "type" => "book_page"
    ]
  ]
  #changes: []
  #casts: []
  #classCastCache: []
  #attributeCastCache: []
  #dateFormat: null
  #appends: []
  #dispatchesEvents: []
  #observables: []
  #relations: []
  #touches: []
  +timestamps: true
  +usesUniqueIds: false
  #hidden: []
  #visible: []
  #fillable: []
  #guarded: array:1 [
    0 => "*"
  ]
}
№15.18 (с. 78)
Условие. №15.18 (с. 78)
скриншот условия
Алгебра, 8 класс Учебник, авторы: Мордкович Александр Григорьевич, Александрова Лилия Александровна, Мишустина Татьяна Николаевна, Тульчинская Елена Ефимовна, Семенов Павел Владимирович, издательство Мнемозина, Москва, 2019, Часть 2, страница 78, номер 15.18, Условие

15.18 a) $\sqrt{25a^4b^6}$;

б) $\sqrt{\frac{81}{49}p^{12}q^{26}}$,

в) $\sqrt{36m^2n^8}$;

г) $\sqrt{\frac{1}{4}r^{18}s^2}$.

Решение 1. №15.18 (с. 78)
Алгебра, 8 класс Учебник, авторы: Мордкович Александр Григорьевич, Александрова Лилия Александровна, Мишустина Татьяна Николаевна, Тульчинская Елена Ефимовна, Семенов Павел Владимирович, издательство Мнемозина, Москва, 2019, Часть 2, страница 78, номер 15.18, Решение 1
Алгебра, 8 класс Учебник, авторы: Мордкович Александр Григорьевич, Александрова Лилия Александровна, Мишустина Татьяна Николаевна, Тульчинская Елена Ефимовна, Семенов Павел Владимирович, издательство Мнемозина, Москва, 2019, Часть 2, страница 78, номер 15.18, Решение 1 (продолжение 2)
Решение 2. №15.18 (с. 78)
Алгебра, 8 класс Учебник, авторы: Мордкович Александр Григорьевич, Александрова Лилия Александровна, Мишустина Татьяна Николаевна, Тульчинская Елена Ефимовна, Семенов Павел Владимирович, издательство Мнемозина, Москва, 2019, Часть 2, страница 78, номер 15.18, Решение 2
Решение 4. №15.18 (с. 78)
Алгебра, 8 класс Учебник, авторы: Мордкович Александр Григорьевич, Александрова Лилия Александровна, Мишустина Татьяна Николаевна, Тульчинская Елена Ефимовна, Семенов Павел Владимирович, издательство Мнемозина, Москва, 2019, Часть 2, страница 78, номер 15.18, Решение 4
Решение 5. №15.18 (с. 78)
Решение 6. №15.18 (с. 78)

а) Чтобы упростить выражение $\sqrt{25a^4b^6}$, воспользуемся свойством арифметического квадратного корня из произведения: $\sqrt{x \cdot y} = \sqrt{x} \cdot \sqrt{y}$ (для $x \ge 0, y \ge 0$). Также будем использовать формулу $\sqrt{x^{2n}} = |x^n|$, так как квадратный корень является неотрицательным числом.
Выражение под корнем $25a^4b^6 = 25(a^2)^2(b^3)^2$ всегда неотрицательно, поэтому корень определен для любых значений $a$ и $b$.
Разложим корень на множители:
$\sqrt{25a^4b^6} = \sqrt{25} \cdot \sqrt{a^4} \cdot \sqrt{b^6}$
Теперь извлечем корень из каждого множителя:
$\sqrt{25} = 5$
$\sqrt{a^4} = \sqrt{(a^2)^2} = |a^2|$. Поскольку $a^2$ всегда неотрицательно, $|a^2| = a^2$.
$\sqrt{b^6} = \sqrt{(b^3)^2} = |b^3|$. Так как $b^3$ может быть отрицательным (например, если $b < 0$), необходимо оставить знак модуля.
Соединив все части, получаем:
$5 \cdot a^2 \cdot |b^3| = 5a^2|b^3|$
Ответ: $5a^2|b^3|$

б) Упростим выражение $\sqrt{\frac{81}{49}p^{12}q^{26}}$. Используем свойство корня из произведения и частного, а также формулу $\sqrt{x^{2n}} = |x^n|$.
Подкоренное выражение $\frac{81}{49}p^{12}q^{26}$ неотрицательно при любых значениях переменных.
$\sqrt{\frac{81}{49}p^{12}q^{26}} = \sqrt{\frac{81}{49}} \cdot \sqrt{p^{12}} \cdot \sqrt{q^{26}}$
Упростим каждый множитель:
$\sqrt{\frac{81}{49}} = \frac{\sqrt{81}}{\sqrt{49}} = \frac{9}{7}$
$\sqrt{p^{12}} = \sqrt{(p^6)^2} = |p^6|$. Так как показатель степени 6 четный, $p^6$ всегда неотрицательно, поэтому $|p^6| = p^6$.
$\sqrt{q^{26}} = \sqrt{(q^{13})^2} = |q^{13}|$. Показатель степени 13 нечетный, поэтому $q^{13}$ может быть отрицательным. Знак модуля необходим.
Собираем результат:
$\frac{9}{7} \cdot p^6 \cdot |q^{13}| = \frac{9}{7}p^6|q^{13}|$
Ответ: $\frac{9}{7}p^6|q^{13}|$

в) Упростим выражение $\sqrt{36m^2n^8}$.
Используем те же свойства, что и ранее. Подкоренное выражение $36m^2n^8$ всегда неотрицательно.
$\sqrt{36m^2n^8} = \sqrt{36} \cdot \sqrt{m^2} \cdot \sqrt{n^8}$
Извлечем корень из каждого множителя:
$\sqrt{36} = 6$
$\sqrt{m^2} = |m|$. Модуль здесь обязателен, так как $m$ может быть отрицательным.
$\sqrt{n^8} = \sqrt{(n^4)^2} = |n^4|$. Так как показатель степени 4 четный, $n^4$ всегда неотрицательно, и $|n^4| = n^4$.
Объединяем полученные результаты:
$6 \cdot |m| \cdot n^4 = 6|m|n^4$
Ответ: $6|m|n^4$

г) Упростим выражение $\sqrt{\frac{1}{4}r^{18}s^2}$.
Подкоренное выражение $\frac{1}{4}r^{18}s^2$ является неотрицательным для любых значений переменных.
$\sqrt{\frac{1}{4}r^{18}s^2} = \sqrt{\frac{1}{4}} \cdot \sqrt{r^{18}} \cdot \sqrt{s^2}$
Упростим каждый множитель:
$\sqrt{\frac{1}{4}} = \frac{\sqrt{1}}{\sqrt{4}} = \frac{1}{2}$
$\sqrt{r^{18}} = \sqrt{(r^9)^2} = |r^9|$. Показатель степени 9 нечетный, поэтому значение $r^9$ может быть отрицательным, и модуль необходим.
$\sqrt{s^2} = |s|$. Модуль также необходим.
Объединяем результаты. Используя свойство модуля $|a| \cdot |b| = |ab|$, получаем:
$\frac{1}{2} \cdot |r^9| \cdot |s| = \frac{1}{2}|r^9s|$
Ответ: $\frac{1}{2}|r^9s|$

Помогло решение? Оставьте отзыв в комментариях ниже.

Присоединяйтесь к Телеграм-группе @top_gdz

Присоединиться

Мы подготовили для вас ответ c подробным объяснением домашего задания по алгебре за 8 класс, для упражнения номер 15.18 расположенного на странице 78 для 2-й части к учебнику 2019 года издания для учащихся школ и гимназий.

Теперь на нашем сайте ГДЗ.ТОП вы всегда легко и бесплатно найдёте условие с правильным ответом на вопрос «Как решить ДЗ» и «Как сделать» задание по алгебре к упражнению №15.18 (с. 78), авторов: Мордкович (Александр Григорьевич), Александрова (Лилия Александровна), Мишустина (Татьяна Николаевна), Тульчинская (Елена Ефимовна), Семенов (Павел Владимирович), 2-й части учебного пособия издательства Мнемозина.