Номер 7.53, страница 214 - гдз по алгебре 10 класс учебник Шыныбеков, Шыныбеков

Алгебра, 10 класс Учебник, авторы: Шыныбеков Абдухали Насырович, Шыныбеков Данияр Абдухалиевич, Жумабаев Ринат Нурланович, издательство Атамұра, Алматы, 2019

Авторы: Шыныбеков А. Н., Шыныбеков Д. А., Жумабаев Р. Н.

Тип: Учебник

Издательство: Атамұра

Год издания: 2019 - 2026

ISBN: 978-601-331-522-5

Рекомендовано Министерством образования и науки Республики Казахстан

Раздел 7. Производная и ее применение. 7.3. Производные сложной и обратной функций - номер 7.53, страница 214.

№7.53 (с. 214)
Учебник рус. №7.53 (с. 214)
скриншот условия
Алгебра, 10 класс Учебник, авторы: Шыныбеков Абдухали Насырович, Шыныбеков Данияр Абдухалиевич, Жумабаев Ринат Нурланович, издательство Атамұра, Алматы, 2019, страница 214, номер 7.53, Учебник рус

7.53. Найдите значение производной в указанной точке:

1) $f(x) = \frac{\sqrt{3}}{2} \cdot \sin \left(3x - \frac{\pi}{4}\right)$, $x = \frac{\pi}{12}$, $x = -\frac{\pi}{6}$;

2) $f(x) = x - \operatorname{ctg} 3x$, $x = \frac{\pi}{4}$, $x = \frac{\pi}{18}$.

Учебник кз. №7.53 (с. 214)
Алгебра, 10 класс Учебник, авторы: Шыныбеков Абдухали Насырович, Шыныбеков Данияр Абдухалиевич, Жумабаев Ринат Нурланович, издательство Атамұра, Алматы, 2019, страница 214, номер 7.53, Учебник кз
Решение. №7.53 (с. 214)
Алгебра, 10 класс Учебник, авторы: Шыныбеков Абдухали Насырович, Шыныбеков Данияр Абдухалиевич, Жумабаев Ринат Нурланович, издательство Атамұра, Алматы, 2019, страница 214, номер 7.53, Решение
Алгебра, 10 класс Учебник, авторы: Шыныбеков Абдухали Насырович, Шыныбеков Данияр Абдухалиевич, Жумабаев Ринат Нурланович, издательство Атамұра, Алматы, 2019, страница 214, номер 7.53, Решение (продолжение 2)
Решение 2 (rus). №7.53 (с. 214)

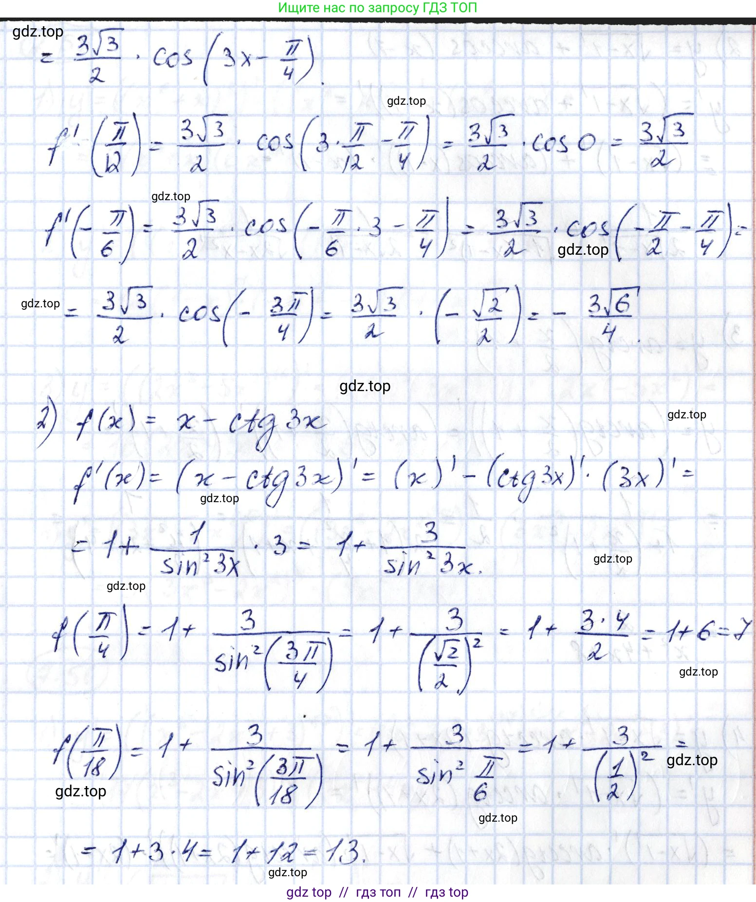
1) Дана функция $f(x) = \frac{\sqrt{3}}{2} \sin(3x - \frac{\pi}{4})$.

Для нахождения значения производной в указанных точках, сначала найдем общую формулу производной функции $f(x)$.

Используем правило дифференцирования сложной функции (цепное правило): $(g(h(x)))' = g'(h(x)) \cdot h'(x)$.

В данном случае, внешняя функция $g(u) = \frac{\sqrt{3}}{2} \sin(u)$, а внутренняя функция $h(x) = 3x - \frac{\pi}{4}$.

Находим их производные:

$g'(u) = (\frac{\sqrt{3}}{2} \sin(u))' = \frac{\sqrt{3}}{2} \cos(u)$.

$h'(x) = (3x - \frac{\pi}{4})' = 3$.

Теперь, по цепному правилу, находим производную $f'(x)$:

$f'(x) = \frac{\sqrt{3}}{2} \cos(3x - \frac{\pi}{4}) \cdot 3 = \frac{3\sqrt{3}}{2} \cos(3x - \frac{\pi}{4})$.

Далее вычислим значения производной в заданных точках.

При $x = \frac{\pi}{12}$:

$f'(\frac{\pi}{12}) = \frac{3\sqrt{3}}{2} \cos(3 \cdot \frac{\pi}{12} - \frac{\pi}{4}) = \frac{3\sqrt{3}}{2} \cos(\frac{3\pi}{12} - \frac{\pi}{4}) = \frac{3\sqrt{3}}{2} \cos(\frac{\pi}{4} - \frac{\pi}{4}) = \frac{3\sqrt{3}}{2} \cos(0)$.

Так как $\cos(0) = 1$, то:

$f'(\frac{\pi}{12}) = \frac{3\sqrt{3}}{2} \cdot 1 = \frac{3\sqrt{3}}{2}$.

При $x = -\frac{\pi}{6}$:

$f'(-\frac{\pi}{6}) = \frac{3\sqrt{3}}{2} \cos(3 \cdot (-\frac{\pi}{6}) - \frac{\pi}{4}) = \frac{3\sqrt{3}}{2} \cos(-\frac{3\pi}{6} - \frac{\pi}{4}) = \frac{3\sqrt{3}}{2} \cos(-\frac{\pi}{2} - \frac{\pi}{4})$.

Используя свойство четности косинуса $\cos(-\alpha) = \cos(\alpha)$ и формулу приведения $\cos(\frac{\pi}{2} + \alpha) = -\sin(\alpha)$, получаем:

$f'(-\frac{\pi}{6}) = \frac{3\sqrt{3}}{2} \cos(\frac{\pi}{2} + \frac{\pi}{4}) = \frac{3\sqrt{3}}{2} (-\sin(\frac{\pi}{4}))$.

Так как $\sin(\frac{\pi}{4}) = \frac{\sqrt{2}}{2}$, то:

$f'(-\frac{\pi}{6}) = \frac{3\sqrt{3}}{2} \cdot (-\frac{\sqrt{2}}{2}) = -\frac{3\sqrt{6}}{4}$.

Ответ: $f'(\frac{\pi}{12}) = \frac{3\sqrt{3}}{2}$; $f'(-\frac{\pi}{6}) = -\frac{3\sqrt{6}}{4}$.

2) Дана функция $f(x) = x - \ctg(3x)$.

Сначала найдем производную функции $f(x)$, используя правило дифференцирования разности и правило дифференцирования сложной функции.

$f'(x) = (x - \ctg(3x))' = (x)' - (\ctg(3x))'$.

Производная первого слагаемого: $(x)' = 1$.

Для второго слагаемого $(\ctg(3x))'$ используем цепное правило. Производная котангенса $(\ctg u)' = -\frac{1}{\sin^2 u}$.

$(\ctg(3x))' = -\frac{1}{\sin^2(3x)} \cdot (3x)' = -\frac{3}{\sin^2(3x)}$.

Таким образом, производная исходной функции:

$f'(x) = 1 - (-\frac{3}{\sin^2(3x)}) = 1 + \frac{3}{\sin^2(3x)}$.

Теперь найдем значения производной в указанных точках.

При $x = \frac{\pi}{4}$:

$f'(\frac{\pi}{4}) = 1 + \frac{3}{\sin^2(3 \cdot \frac{\pi}{4})} = 1 + \frac{3}{\sin^2(\frac{3\pi}{4})}$.

Так как $\sin(\frac{3\pi}{4}) = \sin(\pi - \frac{\pi}{4}) = \sin(\frac{\pi}{4}) = \frac{\sqrt{2}}{2}$, то $\sin^2(\frac{3\pi}{4}) = (\frac{\sqrt{2}}{2})^2 = \frac{2}{4} = \frac{1}{2}$.

$f'(\frac{\pi}{4}) = 1 + \frac{3}{1/2} = 1 + 3 \cdot 2 = 1 + 6 = 7$.

При $x = \frac{\pi}{18}$:

$f'(\frac{\pi}{18}) = 1 + \frac{3}{\sin^2(3 \cdot \frac{\pi}{18})} = 1 + \frac{3}{\sin^2(\frac{3\pi}{18})} = 1 + \frac{3}{\sin^2(\frac{\pi}{6})}$.

Так как $\sin(\frac{\pi}{6}) = \frac{1}{2}$, то $\sin^2(\frac{\pi}{6}) = (\frac{1}{2})^2 = \frac{1}{4}$.

$f'(\frac{\pi}{18}) = 1 + \frac{3}{1/4} = 1 + 3 \cdot 4 = 1 + 12 = 13$.

Ответ: $f'(\frac{\pi}{4}) = 7$; $f'(\frac{\pi}{18}) = 13$.

Помогло решение? Оставьте отзыв в комментариях ниже.

Присоединяйтесь к Телеграм-группе @top_gdz

Присоединиться

Мы подготовили для вас ответ c подробным объяснением домашего задания по алгебре за 10 класс, для упражнения номер 7.53 расположенного на странице 214 к учебнику 2019 года издания для учащихся школ и гимназий.

Теперь на нашем сайте ГДЗ.ТОП вы всегда легко и бесплатно найдёте условие с правильным ответом на вопрос «Как решить ДЗ» и «Как сделать» задание по алгебре к упражнению №7.53 (с. 214), авторов: Шыныбеков (Абдухали Насырович), Шыныбеков (Данияр Абдухалиевич), Жумабаев (Ринат Нурланович), учебного пособия издательства Атамұра.