Номер 7.55, страница 215 - гдз по алгебре 10 класс учебник Шыныбеков, Шыныбеков

Алгебра, 10 класс Учебник, авторы: Шыныбеков Абдухали Насырович, Шыныбеков Данияр Абдухалиевич, Жумабаев Ринат Нурланович, издательство Атамұра, Алматы, 2019

Авторы: Шыныбеков А. Н., Шыныбеков Д. А., Жумабаев Р. Н.

Тип: Учебник

Издательство: Атамұра

Год издания: 2019 - 2026

ISBN: 978-601-331-522-5

Рекомендовано Министерством образования и науки Республики Казахстан

Раздел 7. Производная и ее применение. 7.3. Производные сложной и обратной функций - номер 7.55, страница 215.

№7.55 (с. 215)
Учебник рус. №7.55 (с. 215)
скриншот условия
Алгебра, 10 класс Учебник, авторы: Шыныбеков Абдухали Насырович, Шыныбеков Данияр Абдухалиевич, Жумабаев Ринат Нурланович, издательство Атамұра, Алматы, 2019, страница 215, номер 7.55, Учебник рус

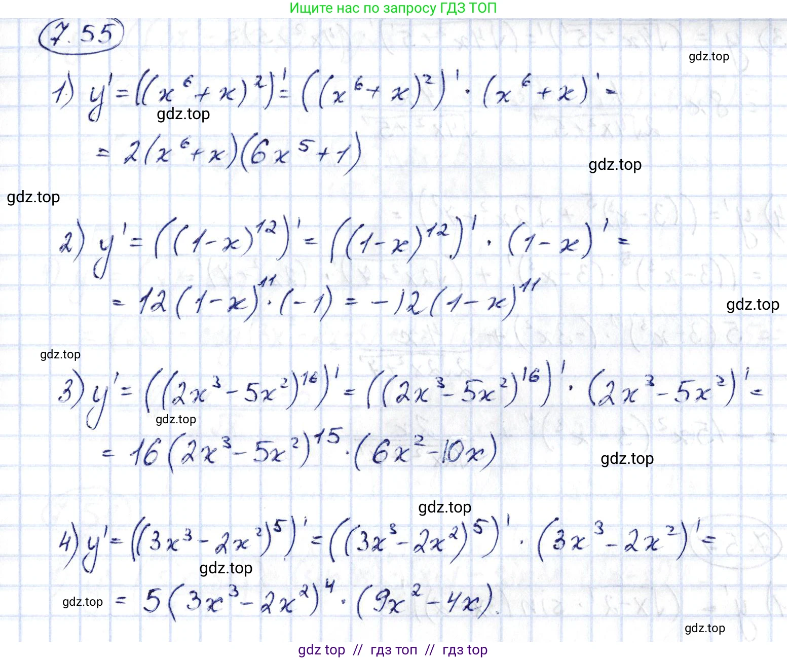
7.55. 1) $y = (x^6 + x)^2$;

2) $y = (1 - x)^{12}$;

3) $y = (2x^3 - 5x^2)^{16}$;

4) $y = (3x^3 - 2x^2)^5$.

Учебник кз. №7.55 (с. 215)
Алгебра, 10 класс Учебник, авторы: Шыныбеков Абдухали Насырович, Шыныбеков Данияр Абдухалиевич, Жумабаев Ринат Нурланович, издательство Атамұра, Алматы, 2019, страница 215, номер 7.55, Учебник кз
Решение. №7.55 (с. 215)
Алгебра, 10 класс Учебник, авторы: Шыныбеков Абдухали Насырович, Шыныбеков Данияр Абдухалиевич, Жумабаев Ринат Нурланович, издательство Атамұра, Алматы, 2019, страница 215, номер 7.55, Решение
Решение 2 (rus). №7.55 (с. 215)

1) Дана функция $y = (x^6 + x)^2$.

Для нахождения производной этой сложной функции воспользуемся правилом дифференцирования сложной функции (цепным правилом). Если функция имеет вид $y = u(x)^n$, то её производная равна $y' = n \cdot u(x)^{n-1} \cdot u'(x)$.

В данном случае, внутренняя функция $u(x) = x^6 + x$, а показатель степени $n = 2$.

Сначала найдём производную внутренней функции $u'(x)$:

$u'(x) = (x^6 + x)' = (x^6)' + (x)' = 6x^5 + 1$.

Теперь подставим всё в формулу производной сложной функции:

$y' = 2 \cdot (x^6 + x)^{2-1} \cdot (6x^5 + 1) = 2(x^6 + x)(6x^5 + 1)$.

Ответ: $y' = 2(x^6 + x)(6x^5 + 1)$.

2) Дана функция $y = (1 - x)^{12}$.

Используем то же правило дифференцирования сложной функции: $y' = n \cdot u(x)^{n-1} \cdot u'(x)$.

Здесь внутренняя функция $u(x) = 1 - x$, а показатель степени $n = 12$.

Найдём производную внутренней функции $u'(x)$:

$u'(x) = (1 - x)' = (1)' - (x)' = 0 - 1 = -1$.

Подставляем полученные значения в формулу:

$y' = 12 \cdot (1 - x)^{12-1} \cdot (-1) = -12(1 - x)^{11}$.

Ответ: $y' = -12(1 - x)^{11}$.

3) Дана функция $y = (2x^3 - 5x^2)^{16}$.

Применяем правило дифференцирования сложной степенной функции: $y' = n \cdot u(x)^{n-1} \cdot u'(x)$.

Внутренняя функция $u(x) = 2x^3 - 5x^2$, показатель степени $n = 16$.

Найдём производную внутренней функции $u'(x)$:

$u'(x) = (2x^3 - 5x^2)' = (2x^3)' - (5x^2)' = 2 \cdot 3x^2 - 5 \cdot 2x = 6x^2 - 10x$.

Подставляем в формулу производной:

$y' = 16 \cdot (2x^3 - 5x^2)^{16-1} \cdot (6x^2 - 10x) = 16(2x^3 - 5x^2)^{15}(6x^2 - 10x)$.

Ответ: $y' = 16(6x^2 - 10x)(2x^3 - 5x^2)^{15}$.

4) Дана функция $y = (3x^3 - 2x^2)^5$.

Снова используем правило: $y' = n \cdot u(x)^{n-1} \cdot u'(x)$.

Внутренняя функция $u(x) = 3x^3 - 2x^2$, показатель степени $n = 5$.

Найдём производную внутренней функции $u'(x)$:

$u'(x) = (3x^3 - 2x^2)' = (3x^3)' - (2x^2)' = 3 \cdot 3x^2 - 2 \cdot 2x = 9x^2 - 4x$.

Подставляем в формулу производной:

$y' = 5 \cdot (3x^3 - 2x^2)^{5-1} \cdot (9x^2 - 4x) = 5(3x^3 - 2x^2)^4(9x^2 - 4x)$.

Ответ: $y' = 5(9x^2 - 4x)(3x^3 - 2x^2)^4$.

Помогло решение? Оставьте отзыв в комментариях ниже.

Присоединяйтесь к Телеграм-группе @top_gdz

Присоединиться

Мы подготовили для вас ответ c подробным объяснением домашего задания по алгебре за 10 класс, для упражнения номер 7.55 расположенного на странице 215 к учебнику 2019 года издания для учащихся школ и гимназий.

Теперь на нашем сайте ГДЗ.ТОП вы всегда легко и бесплатно найдёте условие с правильным ответом на вопрос «Как решить ДЗ» и «Как сделать» задание по алгебре к упражнению №7.55 (с. 215), авторов: Шыныбеков (Абдухали Насырович), Шыныбеков (Данияр Абдухалиевич), Жумабаев (Ринат Нурланович), учебного пособия издательства Атамұра.