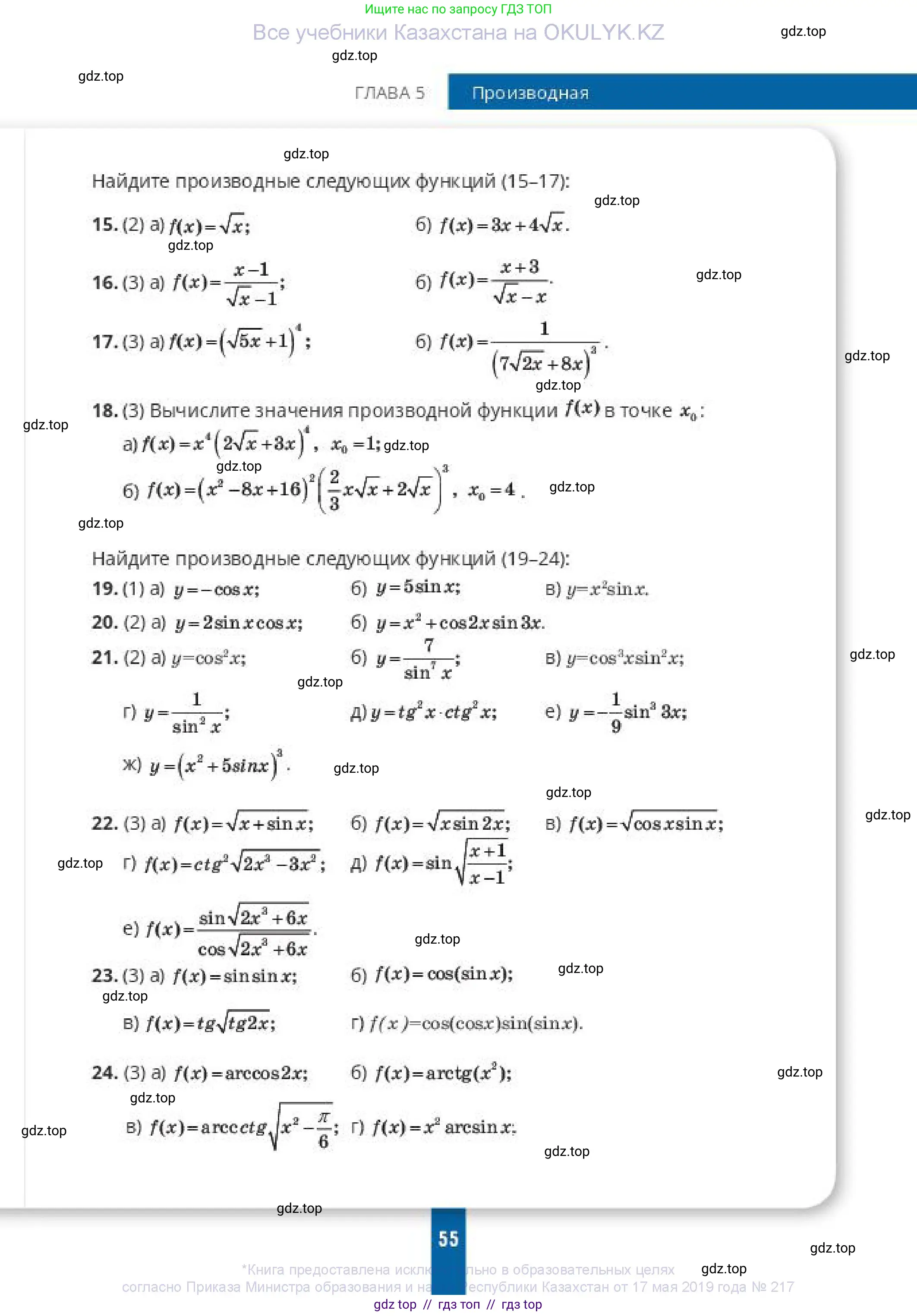
Страница 55, часть 2 - гдз по алгебре 10 класс учебник часть 1, 2 Пак, Ардакулы

Авторы: Пак О. В., Ардакулы Д., Ескендирова Е. В.

Тип: Учебник

Издательство: Алматыкітап баспасы

Год издания: 2019 - 2026

Часть: 2

ISBN: 978-601-01-3958-9

Рекомендовано Министерством образования и науки Республики Казахстан

Часть 2. Cтраница 55

App\Models\BookPage {#1003 // resources/views/models/book_page/default.blade.php
  #connection: "mysql"
  #table: "book_pages"
  #primaryKey: "id"
  #keyType: "int"
  +incrementing: true
  #with: []
  #withCount: []
  +preventsLazyLoading: false
  #perPage: 15
  +exists: true
  +wasRecentlyCreated: false
  #escapeWhenCastingToString: false
  #attributes: array:21 [
    "id" => 1099208
    "created_at" => "2026-04-10 13:58:26"
    "updated_at" => null
    "field_page_start" => "55"
    "field_url" => "/10-klass/algebra/baspasy-pak-uchebnik/page-2-55"
    "field_display_title" => "55"
    "field_folder" => "2"
    "field_image_name" => "55"
    "field_branch_parent" => Illuminate\Database\Eloquent\Collection {#1041
      #items: array:1 [
        0 => App\Models\Branch {#1008
          #connection: "mysql"
          #table: "branches"
          #primaryKey: "id"
          #keyType: "int"
          +incrementing: true
          #with: []
          #withCount: []
          +preventsLazyLoading: false
          #perPage: 15
          +exists: true
          +wasRecentlyCreated: false
          #escapeWhenCastingToString: false
          #attributes: array:24 [
            "id" => 1119426
            "created_at" => "2026-04-10 13:58:26"
            "updated_at" => null
            "field_display_title" => null
            "field_branch_order" => "2"
            "field_url" => null
            "field_branch_type" => Illuminate\Database\Eloquent\Collection {#1007
              #items: array:1 [
                0 => App\Models\Term {#1006
                  #connection: "mysql"
                  #table: "terms"
                  #primaryKey: "id"
                  #keyType: "int"
                  +incrementing: false
                  #with: []
                  #withCount: []
                  +preventsLazyLoading: false
                  #perPage: 15
                  +exists: true
                  +wasRecentlyCreated: false
                  #escapeWhenCastingToString: false
                  #attributes: array:7 [ …7]
                  #original: array:7 [ …7]
                  #changes: []
                  #casts: []
                  #classCastCache: []
                  #attributeCastCache: []
                  #dateFormat: null
                  #appends: []
                  #dispatchesEvents: []
                  #observables: []
                  #relations: []
                  #touches: []
                  +timestamps: true
                  +usesUniqueIds: false
                  #hidden: []
                  #visible: []
                  #fillable: []
                  #guarded: array:1 [ …1]
                }
              ]
              #escapeWhenCastingToString: false
            }
            "field_page_start" => "5"
            "field_branch_display" => "0"
            "field_branch_expanded" => "0"
            "field_display_branch_in_title" => "1"
            "field_display_task_interval" => "0"
            "field_display_branch_page" => "1"
            "field_branch_title_in_content" => "0"
            "field_navigation_title" => null
            "field_metatags_title" => null
            "field_metatags_description" => null
            "field_h1" => null
            "field_description_top" => null
            "field_description_bottom" => null
            "field_branch_cover" => []
            "field_branch_covers" => []
            "book" => Illuminate\Database\Eloquent\Collection {#1009
              #items: array:1 [
                0 => App\Models\Book {#1010
                  #connection: "mysql"
                  #table: "books"
                  #primaryKey: "id"
                  #keyType: "int"
                  +incrementing: false
                  #with: []
                  #withCount: []
                  +preventsLazyLoading: false
                  #perPage: 15
                  +exists: true
                  +wasRecentlyCreated: false
                  #escapeWhenCastingToString: false
                  #attributes: array:50 [ …50]
                  #original: array:50 [ …50]
                  #changes: []
                  #casts: []
                  #classCastCache: []
                  #attributeCastCache: []
                  #dateFormat: null
                  #appends: []
                  #dispatchesEvents: []
                  #observables: []
                  #relations: []
                  #touches: []
                  +timestamps: true
                  +usesUniqueIds: false
                  #hidden: []
                  #visible: []
                  #fillable: []
                  #guarded: array:1 [ …1]
                }
              ]
              #escapeWhenCastingToString: false
            }
            "branch_parent" => Illuminate\Database\Eloquent\Collection {#1038
              #items: []
              #escapeWhenCastingToString: false
            }
          ]
          #original: array:24 [
            "id" => 1119426
            "created_at" => "2026-04-10 13:58:26"
            "updated_at" => null
            "field_display_title" => null
            "field_branch_order" => "2"
            "field_url" => null
            "field_branch_type" => Illuminate\Database\Eloquent\Collection {#1007}
            "field_page_start" => "5"
            "field_branch_display" => "0"
            "field_branch_expanded" => "0"
            "field_display_branch_in_title" => "1"
            "field_display_task_interval" => "0"
            "field_display_branch_page" => "1"
            "field_branch_title_in_content" => "0"
            "field_navigation_title" => null
            "field_metatags_title" => null
            "field_metatags_description" => null
            "field_h1" => null
            "field_description_top" => null
            "field_description_bottom" => null
            "field_branch_cover" => []
            "field_branch_covers" => []
            "book" => Illuminate\Database\Eloquent\Collection {#1009}
            "branch_parent" => Illuminate\Database\Eloquent\Collection {#1038}
          ]
          #changes: []
          #casts: []
          #classCastCache: []
          #attributeCastCache: []
          #dateFormat: null
          #appends: []
          #dispatchesEvents: []
          #observables: []
          #relations: []
          #touches: []
          +timestamps: true
          +usesUniqueIds: false
          #hidden: []
          #visible: []
          #fillable: []
          #guarded: array:1 [
            0 => "*"
          ]
        }
      ]
      #escapeWhenCastingToString: false
    }
    "field_weight" => "0"
    "field_book_parent" => Illuminate\Database\Eloquent\Collection {#1070
      #items: array:1 [
        0 => App\Models\Book {#1039
          #connection: "mysql"
          #table: "books"
          #primaryKey: "id"
          #keyType: "int"
          +incrementing: false
          #with: []
          #withCount: []
          +preventsLazyLoading: false
          #perPage: 15
          +exists: true
          +wasRecentlyCreated: false
          #escapeWhenCastingToString: false
          #attributes: array:50 [
            "id" => 4295
            "created_at" => "2026-04-10 13:58:26"
            "updated_at" => null
            "field_tree_default_status" => "tasks"
            "field_pages_status" => null
            "field_subject" => Illuminate\Database\Eloquent\Collection {#1042
              #items: array:1 [
                0 => App\Models\Term {#1040
                  #connection: "mysql"
                  #table: "terms"
                  #primaryKey: "id"
                  #keyType: "int"
                  +incrementing: false
                  #with: []
                  #withCount: []
                  +preventsLazyLoading: false
                  #perPage: 15
                  +exists: true
                  +wasRecentlyCreated: false
                  #escapeWhenCastingToString: false
                  #attributes: array:10 [ …10]
                  #original: array:10 [ …10]
                  #changes: []
                  #casts: []
                  #classCastCache: []
                  #attributeCastCache: []
                  #dateFormat: null
                  #appends: []
                  #dispatchesEvents: []
                  #observables: []
                  #relations: []
                  #touches: []
                  +timestamps: true
                  +usesUniqueIds: false
                  #hidden: []
                  #visible: []
                  #fillable: []
                  #guarded: array:1 [ …1]
                }
              ]
              #escapeWhenCastingToString: false
            }
            "field_class" => Illuminate\Database\Eloquent\Collection {#1043
              #items: array:1 [
                0 => App\Models\Term {#1044
                  #connection: "mysql"
                  #table: "terms"
                  #primaryKey: "id"
                  #keyType: "int"
                  +incrementing: false
                  #with: []
                  #withCount: []
                  +preventsLazyLoading: false
                  #perPage: 15
                  +exists: true
                  +wasRecentlyCreated: false
                  #escapeWhenCastingToString: false
                  #attributes: array:6 [ …6]
                  #original: array:6 [ …6]
                  #changes: []
                  #casts: []
                  #classCastCache: []
                  #attributeCastCache: []
                  #dateFormat: null
                  #appends: []
                  #dispatchesEvents: []
                  #observables: []
                  #relations: []
                  #touches: []
                  +timestamps: true
                  +usesUniqueIds: false
                  #hidden: []
                  #visible: []
                  #fillable: []
                  #guarded: array:1 [ …1]
                }
              ]
              #escapeWhenCastingToString: false
            }
            "field_publisher" => Illuminate\Database\Eloquent\Collection {#1045
              #items: array:1 [
                0 => App\Models\Term {#1046
                  #connection: "mysql"
                  #table: "terms"
                  #primaryKey: "id"
                  #keyType: "int"
                  +incrementing: false
                  #with: []
                  #withCount: []
                  +preventsLazyLoading: false
                  #perPage: 15
                  +exists: true
                  +wasRecentlyCreated: false
                  #escapeWhenCastingToString: false
                  #attributes: array:6 [ …6]
                  #original: array:6 [ …6]
                  #changes: []
                  #casts: []
                  #classCastCache: []
                  #attributeCastCache: []
                  #dateFormat: null
                  #appends: []
                  #dispatchesEvents: []
                  #observables: []
                  #relations: []
                  #touches: []
                  +timestamps: true
                  +usesUniqueIds: false
                  #hidden: []
                  #visible: []
                  #fillable: []
                  #guarded: array:1 [ …1]
                }
              ]
              #escapeWhenCastingToString: false
            }
            "field_author" => Illuminate\Database\Eloquent\Collection {#1047
              #items: array:3 [
                0 => App\Models\Term {#1048
                  #connection: "mysql"
                  #table: "terms"
                  #primaryKey: "id"
                  #keyType: "int"
                  +incrementing: false
                  #with: []
                  #withCount: []
                  +preventsLazyLoading: false
                  #perPage: 15
                  +exists: true
                  +wasRecentlyCreated: false
                  #escapeWhenCastingToString: false
                  #attributes: array:12 [ …12]
                  #original: array:12 [ …12]
                  #changes: []
                  #casts: []
                  #classCastCache: []
                  #attributeCastCache: []
                  #dateFormat: null
                  #appends: []
                  #dispatchesEvents: []
                  #observables: []
                  #relations: []
                  #touches: []
                  +timestamps: true
                  +usesUniqueIds: false
                  #hidden: []
                  #visible: []
                  #fillable: []
                  #guarded: array:1 [ …1]
                }
                1 => App\Models\Term {#1049
                  #connection: "mysql"
                  #table: "terms"
                  #primaryKey: "id"
                  #keyType: "int"
                  +incrementing: false
                  #with: []
                  #withCount: []
                  +preventsLazyLoading: false
                  #perPage: 15
                  +exists: true
                  +wasRecentlyCreated: false
                  #escapeWhenCastingToString: false
                  #attributes: array:12 [ …12]
                  #original: array:12 [ …12]
                  #changes: []
                  #casts: []
                  #classCastCache: []
                  #attributeCastCache: []
                  #dateFormat: null
                  #appends: []
                  #dispatchesEvents: []
                  #observables: []
                  #relations: []
                  #touches: []
                  +timestamps: true
                  +usesUniqueIds: false
                  #hidden: []
                  #visible: []
                  #fillable: []
                  #guarded: array:1 [ …1]
                }
                2 => App\Models\Term {#1050
                  #connection: "mysql"
                  #table: "terms"
                  #primaryKey: "id"
                  #keyType: "int"
                  +incrementing: false
                  #with: []
                  #withCount: []
                  +preventsLazyLoading: false
                  #perPage: 15
                  +exists: true
                  +wasRecentlyCreated: false
                  #escapeWhenCastingToString: false
                  #attributes: array:12 [ …12]
                  #original: array:12 [ …12]
                  #changes: []
                  #casts: []
                  #classCastCache: []
                  #attributeCastCache: []
                  #dateFormat: null
                  #appends: []
                  #dispatchesEvents: []
                  #observables: []
                  #relations: []
                  #touches: []
                  +timestamps: true
                  +usesUniqueIds: false
                  #hidden: []
                  #visible: []
                  #fillable: []
                  #guarded: array:1 [ …1]
                }
              ]
              #escapeWhenCastingToString: false
            }
            "field_author_foreign" => Illuminate\Database\Eloquent\Collection {#1051
              #items: []
              #escapeWhenCastingToString: false
            }
            "field_book_type" => Illuminate\Database\Eloquent\Collection {#1052
              #items: array:1 [
                0 => App\Models\Term {#1053
                  #connection: "mysql"
                  #table: "terms"
                  #primaryKey: "id"
                  #keyType: "int"
                  +incrementing: false
                  #with: []
                  #withCount: []
                  +preventsLazyLoading: false
                  #perPage: 15
                  +exists: true
                  +wasRecentlyCreated: false
                  #escapeWhenCastingToString: false
                  #attributes: array:10 [ …10]
                  #original: array:10 [ …10]
                  #changes: []
                  #casts: []
                  #classCastCache: []
                  #attributeCastCache: []
                  #dateFormat: null
                  #appends: []
                  #dispatchesEvents: []
                  #observables: []
                  #relations: []
                  #touches: []
                  +timestamps: true
                  +usesUniqueIds: false
                  #hidden: []
                  #visible: []
                  #fillable: []
                  #guarded: array:1 [ …1]
                }
              ]
              #escapeWhenCastingToString: false
            }
            "field_country" => Illuminate\Database\Eloquent\Collection {#1054
              #items: array:1 [
                0 => App\Models\Term {#1055
                  #connection: "mysql"
                  #table: "terms"
                  #primaryKey: "id"
                  #keyType: "int"
                  +incrementing: false
                  #with: []
                  #withCount: []
                  +preventsLazyLoading: false
                  #perPage: 15
                  +exists: true
                  +wasRecentlyCreated: false
                  #escapeWhenCastingToString: false
                  #attributes: array:6 [ …6]
                  #original: array:6 [ …6]
                  #changes: []
                  #casts: []
                  #classCastCache: []
                  #attributeCastCache: []
                  #dateFormat: null
                  #appends: []
                  #dispatchesEvents: []
                  #observables: []
                  #relations: []
                  #touches: []
                  +timestamps: true
                  +usesUniqueIds: false
                  #hidden: []
                  #visible: []
                  #fillable: []
                  #guarded: array:1 [ …1]
                }
              ]
              #escapeWhenCastingToString: false
            }
            "field_city" => Illuminate\Database\Eloquent\Collection {#1056
              #items: array:1 [
                0 => App\Models\Term {#1057
                  #connection: "mysql"
                  #table: "terms"
                  #primaryKey: "id"
                  #keyType: "int"
                  +incrementing: false
                  #with: []
                  #withCount: []
                  +preventsLazyLoading: false
                  #perPage: 15
                  +exists: true
                  +wasRecentlyCreated: false
                  #escapeWhenCastingToString: false
                  #attributes: array:6 [ …6]
                  #original: array:6 [ …6]
                  #changes: []
                  #casts: []
                  #classCastCache: []
                  #attributeCastCache: []
                  #dateFormat: null
                  #appends: []
                  #dispatchesEvents: []
                  #observables: []
                  #relations: []
                  #touches: []
                  +timestamps: true
                  +usesUniqueIds: false
                  #hidden: []
                  #visible: []
                  #fillable: []
                  #guarded: array:1 [ …1]
                }
              ]
              #escapeWhenCastingToString: false
            }
            "field_series" => Illuminate\Database\Eloquent\Collection {#1058
              #items: []
              #escapeWhenCastingToString: false
            }
            "field_umk" => Illuminate\Database\Eloquent\Collection {#1059
              #items: []
              #escapeWhenCastingToString: false
            }
            "field_level_of_education" => Illuminate\Database\Eloquent\Collection {#1060
              #items: []
              #escapeWhenCastingToString: false
            }
            "field_standart_of_education" => Illuminate\Database\Eloquent\Collection {#1061
              #items: []
              #escapeWhenCastingToString: false
            }
            "field_publication_number" => null
            "field_publication_type" => Illuminate\Database\Eloquent\Collection {#1062
              #items: []
              #escapeWhenCastingToString: false
            }
            "field_under_the_edition" => Illuminate\Database\Eloquent\Collection {#1063
              #items: []
              #escapeWhenCastingToString: false
            }
            "field_under_the_edition_degree" => null
            "field_cover_description" => null
            "field_publication_year" => "2019"
            "field_publication_year_until" => null
            "field_part" => "1, 2"
            "field_part_writing" => "Часть"
            "field_second_foreign_language" => null
            "field_for_whom" => "Учебник для учащихся 10 класса общеобразовательной школы общественно-гуманитарного направления"
            "field_allowed" => "Рекомендовано Министерством образования и науки Республики Казахстан"
            "field_reserve_field" => null
            "field_link_to_source" => null
            "field_tasks_count" => "1063"
            "field_priority" => "6"
            "field_default_folder" => "/algebra_10/baspasy-u19/"
            "field_isbn" => "978-601-01-3958-9"
            "field_cover" => array:1 [
              0 => "/media/algebra_10/baspasy-u19/covers/cover1.webp?ts=1752152865"
            ]
            "field_cover_alts" => array:1 [
              0 => ""
            ]
            "field_covers" => array:1 [
              0 => array:4 [
                "path" => "/media/algebra_10/baspasy-u19/covers/cover1.webp?ts=1752152865"
                "alt" => ""
                "width" => "1940"
                "height" => "2895"
              ]
            ]
            "field_popular_book" => null
            "field_recommended_books" => Illuminate\Database\Eloquent\Collection {#1064
              #items: []
              #escapeWhenCastingToString: false
            }
            "field_new_book" => Illuminate\Database\Eloquent\Collection {#1065
              #items: []
              #escapeWhenCastingToString: false
            }
            "field_old_book" => Illuminate\Database\Eloquent\Collection {#1066
              #items: []
              #escapeWhenCastingToString: false
            }
            "field_url" => "/10-klass/algebra/baspasy-pak-uchebnik"
            "field_cover_color" => Illuminate\Database\Eloquent\Collection {#1067
              #items: []
              #escapeWhenCastingToString: false
            }
            "field_metatags_title" => null
            "field_metatags_description" => null
            "field_h1" => null
            "field_description_top" => null
            "field_description_bottom" => null
            "breadcrumbs" => array:3 [
              "class" => 381
              "subject" => 542
              "class_subject" => 387
            ]
          ]
          #original: array:50 [
            "id" => 4295
            "created_at" => "2026-04-10 13:58:26"
            "updated_at" => null
            "field_tree_default_status" => "tasks"
            "field_pages_status" => null
            "field_subject" => Illuminate\Database\Eloquent\Collection {#1042}
            "field_class" => Illuminate\Database\Eloquent\Collection {#1043}
            "field_publisher" => Illuminate\Database\Eloquent\Collection {#1045}
            "field_author" => Illuminate\Database\Eloquent\Collection {#1047}
            "field_author_foreign" => Illuminate\Database\Eloquent\Collection {#1051}
            "field_book_type" => Illuminate\Database\Eloquent\Collection {#1052}
            "field_country" => Illuminate\Database\Eloquent\Collection {#1054}
            "field_city" => Illuminate\Database\Eloquent\Collection {#1056}
            "field_series" => Illuminate\Database\Eloquent\Collection {#1058}
            "field_umk" => Illuminate\Database\Eloquent\Collection {#1059}
            "field_level_of_education" => Illuminate\Database\Eloquent\Collection {#1060}
            "field_standart_of_education" => Illuminate\Database\Eloquent\Collection {#1061}
            "field_publication_number" => null
            "field_publication_type" => Illuminate\Database\Eloquent\Collection {#1062}
            "field_under_the_edition" => Illuminate\Database\Eloquent\Collection {#1063}
            "field_under_the_edition_degree" => null
            "field_cover_description" => null
            "field_publication_year" => "2019"
            "field_publication_year_until" => null
            "field_part" => "1, 2"
            "field_part_writing" => "Часть"
            "field_second_foreign_language" => null
            "field_for_whom" => "Учебник для учащихся 10 класса общеобразовательной школы общественно-гуманитарного направления"
            "field_allowed" => "Рекомендовано Министерством образования и науки Республики Казахстан"
            "field_reserve_field" => null
            "field_link_to_source" => null
            "field_tasks_count" => "1063"
            "field_priority" => "6"
            "field_default_folder" => "/algebra_10/baspasy-u19/"
            "field_isbn" => "978-601-01-3958-9"
            "field_cover" => array:1 [
              0 => "/media/algebra_10/baspasy-u19/covers/cover1.webp?ts=1752152865"
            ]
            "field_cover_alts" => array:1 [
              0 => ""
            ]
            "field_covers" => array:1 [
              0 => array:4 [
                "path" => "/media/algebra_10/baspasy-u19/covers/cover1.webp?ts=1752152865"
                "alt" => ""
                "width" => "1940"
                "height" => "2895"
              ]
            ]
            "field_popular_book" => null
            "field_recommended_books" => Illuminate\Database\Eloquent\Collection {#1064}
            "field_new_book" => Illuminate\Database\Eloquent\Collection {#1065}
            "field_old_book" => Illuminate\Database\Eloquent\Collection {#1066}
            "field_url" => "/10-klass/algebra/baspasy-pak-uchebnik"
            "field_cover_color" => Illuminate\Database\Eloquent\Collection {#1067}
            "field_metatags_title" => null
            "field_metatags_description" => null
            "field_h1" => null
            "field_description_top" => null
            "field_description_bottom" => null
            "breadcrumbs" => array:3 [
              "class" => 381
              "subject" => 542
              "class_subject" => 387
            ]
          ]
          #changes: []
          #casts: []
          #classCastCache: []
          #attributeCastCache: []
          #dateFormat: null
          #appends: []
          #dispatchesEvents: []
          #observables: []
          #relations: []
          #touches: []
          +timestamps: true
          +usesUniqueIds: false
          #hidden: []
          #visible: []
          #fillable: []
          #guarded: array:1 [
            0 => "*"
          ]
        }
      ]
      #escapeWhenCastingToString: false
    }
    "field_metatags_title" => null
    "field_metatags_description" => null
    "field_h1" => null
    "field_description_top" => null
    "field_description_bottom" => null
    "edition_groups" => Illuminate\Database\Eloquent\Collection {#1068
      #items: []
      #escapeWhenCastingToString: false
    }
    "content" => Illuminate\Database\Eloquent\Collection {#1079
      #items: array:1 [
        0 => App\Models\Element {#1078
          #connection: "mysql"
          #table: "elements"
          #primaryKey: "id"
          #keyType: "int"
          +incrementing: true
          #with: []
          #withCount: []
          +preventsLazyLoading: false
          #perPage: 15
          +exists: true
          +wasRecentlyCreated: false
          #escapeWhenCastingToString: false
          #attributes: array:6 [
            "id" => 1262633
            "created_at" => "2026-04-10 13:58:26"
            "updated_at" => null
            "edition" => Illuminate\Database\Eloquent\Collection {#1088
              #items: array:1 [
                0 => App\Models\Edition {#1080
                  #connection: "mysql"
                  #table: "editions"
                  #primaryKey: "id"
                  #keyType: "int"
                  +incrementing: false
                  #with: []
                  #withCount: []
                  +preventsLazyLoading: false
                  #perPage: 15
                  +exists: true
                  +wasRecentlyCreated: false
                  #escapeWhenCastingToString: false
                  #attributes: array:21 [ …21]
                  #original: array:21 [ …21]
                  #changes: []
                  #casts: []
                  #classCastCache: []
                  #attributeCastCache: []
                  #dateFormat: null
                  #appends: []
                  #dispatchesEvents: []
                  #observables: []
                  #relations: []
                  #touches: []
                  +timestamps: true
                  +usesUniqueIds: false
                  #hidden: []
                  #visible: []
                  #fillable: []
                  #guarded: array:1 [ …1]
                }
              ]
              #escapeWhenCastingToString: false
            }
            "book_page" => array:2 [
              "refs" => "1099208"
              "type" => "book_page"
            ]
            "img" => array:1 [
              0 => array:5 [
                "name" => "55-1.jpg"
                "alt" => null
                "width" => "2125"
                "height" => 3034
                "path" => "/media/algebra_10/baspasy-u19/0-2/55-1.webp?ts=1752153859"
              ]
            ]
          ]
          #original: array:6 [
            "id" => 1262633
            "created_at" => "2026-04-10 13:58:26"
            "updated_at" => null
            "edition" => Illuminate\Database\Eloquent\Collection {#1088}
            "book_page" => array:2 [
              "refs" => "1099208"
              "type" => "book_page"
            ]
            "img" => array:1 [
              0 => array:5 [
                "name" => "55-1.jpg"
                "alt" => null
                "width" => "2125"
                "height" => 3034
                "path" => "/media/algebra_10/baspasy-u19/0-2/55-1.webp?ts=1752153859"
              ]
            ]
          ]
          #changes: []
          #casts: []
          #classCastCache: []
          #attributeCastCache: []
          #dateFormat: null
          #appends: []
          #dispatchesEvents: []
          #observables: []
          #relations: []
          #touches: []
          +timestamps: true
          +usesUniqueIds: false
          #hidden: []
          #visible: []
          #fillable: []
          #guarded: array:1 [
            0 => "*"
          ]
        }
      ]
      #escapeWhenCastingToString: false
    }
    "next" => Illuminate\Database\Eloquent\Collection {#3856
      #items: array:1 [
        0 => App\Models\BookPage {#3855
          #connection: "mysql"
          #table: "book_pages"
          #primaryKey: "id"
          #keyType: "int"
          +incrementing: true
          #with: []
          #withCount: []
          +preventsLazyLoading: false
          #perPage: 15
          +exists: true
          +wasRecentlyCreated: false
          #escapeWhenCastingToString: false
          #attributes: array:21 [
            "id" => 1099209
            "created_at" => "2026-04-10 13:58:26"
            "updated_at" => null
            "field_page_start" => "56"
            "field_url" => "/10-klass/algebra/baspasy-pak-uchebnik/page-2-56"
            "field_display_title" => "56"
            "field_folder" => "2"
            "field_image_name" => "56"
            "field_branch_parent" => Illuminate\Database\Eloquent\Collection {#3878
              #items: array:1 [
                0 => App\Models\Branch {#1149
                  #connection: "mysql"
                  #table: "branches"
                  #primaryKey: "id"
                  #keyType: "int"
                  +incrementing: true
                  #with: []
                  #withCount: []
                  +preventsLazyLoading: false
                  #perPage: 15
                  +exists: true
                  +wasRecentlyCreated: false
                  #escapeWhenCastingToString: false
                  #attributes: array:24 [ …24]
                  #original: array:24 [ …24]
                  #changes: []
                  #casts: []
                  #classCastCache: []
                  #attributeCastCache: []
                  #dateFormat: null
                  #appends: []
                  #dispatchesEvents: []
                  #observables: []
                  #relations: []
                  #touches: []
                  +timestamps: true
                  +usesUniqueIds: false
                  #hidden: []
                  #visible: []
                  #fillable: []
                  #guarded: array:1 [ …1]
                }
              ]
              #escapeWhenCastingToString: false
            }
            "field_weight" => "0"
            "field_book_parent" => Illuminate\Database\Eloquent\Collection {#3877
              #items: array:1 [
                0 => App\Models\Book {#1039}
              ]
              #escapeWhenCastingToString: false
            }
            "field_metatags_title" => null
            "field_metatags_description" => null
            "field_h1" => null
            "field_description_top" => null
            "field_description_bottom" => null
            "edition_groups" => Illuminate\Database\Eloquent\Collection {#3876
              #items: []
              #escapeWhenCastingToString: false
            }
            "content" => Illuminate\Database\Eloquent\Collection {#3868
              #items: array:1 [
                0 => App\Models\Element {#3866
                  #connection: "mysql"
                  #table: "elements"
                  #primaryKey: "id"
                  #keyType: "int"
                  +incrementing: true
                  #with: []
                  #withCount: []
                  +preventsLazyLoading: false
                  #perPage: 15
                  +exists: true
                  +wasRecentlyCreated: false
                  #escapeWhenCastingToString: false
                  #attributes: array:6 [ …6]
                  #original: array:6 [ …6]
                  #changes: []
                  #casts: []
                  #classCastCache: []
                  #attributeCastCache: []
                  #dateFormat: null
                  #appends: []
                  #dispatchesEvents: []
                  #observables: []
                  #relations: []
                  #touches: []
                  +timestamps: true
                  +usesUniqueIds: false
                  #hidden: []
                  #visible: []
                  #fillable: []
                  #guarded: array:1 [ …1]
                }
              ]
              #escapeWhenCastingToString: false
            }
            "next" => array:2 [
              "refs" => "1099210"
              "type" => "book_page"
            ]
            "previous" => array:2 [
              "refs" => "1099208"
              "type" => "book_page"
            ]
            "tasks" => Illuminate\Database\Eloquent\Collection {#3873
              #items: array:10 [
                0 => App\Models\Task {#4057
                  #connection: "mysql"
                  #table: "tasks"
                  #primaryKey: "id"
                  #keyType: "int"
                  +incrementing: true
                  #with: []
                  #withCount: []
                  +preventsLazyLoading: false
                  #perPage: 15
                  +exists: true
                  +wasRecentlyCreated: false
                  #escapeWhenCastingToString: false
                  #attributes: array:24 [ …24]
                  #original: array:24 [ …24]
                  #changes: []
                  #casts: []
                  #classCastCache: []
                  #attributeCastCache: []
                  #dateFormat: null
                  #appends: []
                  #dispatchesEvents: []
                  #observables: []
                  #relations: []
                  #touches: []
                  +timestamps: true
                  +usesUniqueIds: false
                  #hidden: []
                  #visible: []
                  #fillable: []
                  #guarded: array:1 [ …1]
                }
                1 => App\Models\Task {#4064
                  #connection: "mysql"
                  #table: "tasks"
                  #primaryKey: "id"
                  #keyType: "int"
                  +incrementing: true
                  #with: []
                  #withCount: []
                  +preventsLazyLoading: false
                  #perPage: 15
                  +exists: true
                  +wasRecentlyCreated: false
                  #escapeWhenCastingToString: false
                  #attributes: array:24 [ …24]
                  #original: array:24 [ …24]
                  #changes: []
                  #casts: []
                  #classCastCache: []
                  #attributeCastCache: []
                  #dateFormat: null
                  #appends: []
                  #dispatchesEvents: []
                  #observables: []
                  #relations: []
                  #touches: []
                  +timestamps: true
                  +usesUniqueIds: false
                  #hidden: []
                  #visible: []
                  #fillable: []
                  #guarded: array:1 [ …1]
                }
                2 => App\Models\Task {#4076
                  #connection: "mysql"
                  #table: "tasks"
                  #primaryKey: "id"
                  #keyType: "int"
                  +incrementing: true
                  #with: []
                  #withCount: []
                  +preventsLazyLoading: false
                  #perPage: 15
                  +exists: true
                  +wasRecentlyCreated: false
                  #escapeWhenCastingToString: false
                  #attributes: array:24 [ …24]
                  #original: array:24 [ …24]
                  #changes: []
                  #casts: []
                  #classCastCache: []
                  #attributeCastCache: []
                  #dateFormat: null
                  #appends: []
                  #dispatchesEvents: []
                  #observables: []
                  #relations: []
                  #touches: []
                  +timestamps: true
                  +usesUniqueIds: false
                  #hidden: []
                  #visible: []
                  #fillable: []
                  #guarded: array:1 [ …1]
                }
                3 => App\Models\Task {#4088
                  #connection: "mysql"
                  #table: "tasks"
                  #primaryKey: "id"
                  #keyType: "int"
                  +incrementing: true
                  #with: []
                  #withCount: []
                  +preventsLazyLoading: false
                  #perPage: 15
                  +exists: true
                  +wasRecentlyCreated: false
                  #escapeWhenCastingToString: false
                  #attributes: array:24 [ …24]
                  #original: array:24 [ …24]
                  #changes: []
                  #casts: []
                  #classCastCache: []
                  #attributeCastCache: []
                  #dateFormat: null
                  #appends: []
                  #dispatchesEvents: []
                  #observables: []
                  #relations: []
                  #touches: []
                  +timestamps: true
                  +usesUniqueIds: false
                  #hidden: []
                  #visible: []
                  #fillable: []
                  #guarded: array:1 [ …1]
                }
                4 => App\Models\Task {#4100
                  #connection: "mysql"
                  #table: "tasks"
                  #primaryKey: "id"
                  #keyType: "int"
                  +incrementing: true
                  #with: []
                  #withCount: []
                  +preventsLazyLoading: false
                  #perPage: 15
                  +exists: true
                  +wasRecentlyCreated: false
                  #escapeWhenCastingToString: false
                  #attributes: array:24 [ …24]
                  #original: array:24 [ …24]
                  #changes: []
                  #casts: []
                  #classCastCache: []
                  #attributeCastCache: []
                  #dateFormat: null
                  #appends: []
                  #dispatchesEvents: []
                  #observables: []
                  #relations: []
                  #touches: []
                  +timestamps: true
                  +usesUniqueIds: false
                  #hidden: []
                  #visible: []
                  #fillable: []
                  #guarded: array:1 [ …1]
                }
                5 => App\Models\Task {#4112
                  #connection: "mysql"
                  #table: "tasks"
                  #primaryKey: "id"
                  #keyType: "int"
                  +incrementing: true
                  #with: []
                  #withCount: []
                  +preventsLazyLoading: false
                  #perPage: 15
                  +exists: true
                  +wasRecentlyCreated: false
                  #escapeWhenCastingToString: false
                  #attributes: array:24 [ …24]
                  #original: array:24 [ …24]
                  #changes: []
                  #casts: []
                  #classCastCache: []
                  #attributeCastCache: []
                  #dateFormat: null
                  #appends: []
                  #dispatchesEvents: []
                  #observables: []
                  #relations: []
                  #touches: []
                  +timestamps: true
                  +usesUniqueIds: false
                  #hidden: []
                  #visible: []
                  #fillable: []
                  #guarded: array:1 [ …1]
                }
                6 => App\Models\Task {#4124
                  #connection: "mysql"
                  #table: "tasks"
                  #primaryKey: "id"
                  #keyType: "int"
                  +incrementing: true
                  #with: []
                  #withCount: []
                  +preventsLazyLoading: false
                  #perPage: 15
                  +exists: true
                  +wasRecentlyCreated: false
                  #escapeWhenCastingToString: false
                  #attributes: array:24 [ …24]
                  #original: array:24 [ …24]
                  #changes: []
                  #casts: []
                  #classCastCache: []
                  #attributeCastCache: []
                  #dateFormat: null
                  #appends: []
                  #dispatchesEvents: []
                  #observables: []
                  #relations: []
                  #touches: []
                  +timestamps: true
                  +usesUniqueIds: false
                  #hidden: []
                  #visible: []
                  #fillable: []
                  #guarded: array:1 [ …1]
                }
                7 => App\Models\Task {#4136
                  #connection: "mysql"
                  #table: "tasks"
                  #primaryKey: "id"
                  #keyType: "int"
                  +incrementing: true
                  #with: []
                  #withCount: []
                  +preventsLazyLoading: false
                  #perPage: 15
                  +exists: true
                  +wasRecentlyCreated: false
                  #escapeWhenCastingToString: false
                  #attributes: array:24 [ …24]
                  #original: array:24 [ …24]
                  #changes: []
                  #casts: []
                  #classCastCache: []
                  #attributeCastCache: []
                  #dateFormat: null
                  #appends: []
                  #dispatchesEvents: []
                  #observables: []
                  #relations: []
                  #touches: []
                  +timestamps: true
                  +usesUniqueIds: false
                  #hidden: []
                  #visible: []
                  #fillable: []
                  #guarded: array:1 [ …1]
                }
                8 => App\Models\Task {#4148
                  #connection: "mysql"
                  #table: "tasks"
                  #primaryKey: "id"
                  #keyType: "int"
                  +incrementing: true
                  #with: []
                  #withCount: []
                  +preventsLazyLoading: false
                  #perPage: 15
                  +exists: true
                  +wasRecentlyCreated: false
                  #escapeWhenCastingToString: false
                  #attributes: array:24 [ …24]
                  #original: array:24 [ …24]
                  #changes: []
                  #casts: []
                  #classCastCache: []
                  #attributeCastCache: []
                  #dateFormat: null
                  #appends: []
                  #dispatchesEvents: []
                  #observables: []
                  #relations: []
                  #touches: []
                  +timestamps: true
                  +usesUniqueIds: false
                  #hidden: []
                  #visible: []
                  #fillable: []
                  #guarded: array:1 [ …1]
                }
                9 => App\Models\Task {#4160
                  #connection: "mysql"
                  #table: "tasks"
                  #primaryKey: "id"
                  #keyType: "int"
                  +incrementing: true
                  #with: []
                  #withCount: []
                  +preventsLazyLoading: false
                  #perPage: 15
                  +exists: true
                  +wasRecentlyCreated: false
                  #escapeWhenCastingToString: false
                  #attributes: array:24 [ …24]
                  #original: array:24 [ …24]
                  #changes: []
                  #casts: []
                  #classCastCache: []
                  #attributeCastCache: []
                  #dateFormat: null
                  #appends: []
                  #dispatchesEvents: []
                  #observables: []
                  #relations: []
                  #touches: []
                  +timestamps: true
                  +usesUniqueIds: false
                  #hidden: []
                  #visible: []
                  #fillable: []
                  #guarded: array:1 [ …1]
                }
              ]
              #escapeWhenCastingToString: false
            }
          ]
          #original: array:21 [
            "id" => 1099209
            "created_at" => "2026-04-10 13:58:26"
            "updated_at" => null
            "field_page_start" => "56"
            "field_url" => "/10-klass/algebra/baspasy-pak-uchebnik/page-2-56"
            "field_display_title" => "56"
            "field_folder" => "2"
            "field_image_name" => "56"
            "field_branch_parent" => Illuminate\Database\Eloquent\Collection {#3878}
            "field_weight" => "0"
            "field_book_parent" => Illuminate\Database\Eloquent\Collection {#3877}
            "field_metatags_title" => null
            "field_metatags_description" => null
            "field_h1" => null
            "field_description_top" => null
            "field_description_bottom" => null
            "edition_groups" => Illuminate\Database\Eloquent\Collection {#3876}
            "content" => Illuminate\Database\Eloquent\Collection {#3868}
            "next" => array:2 [
              "refs" => "1099210"
              "type" => "book_page"
            ]
            "previous" => array:2 [
              "refs" => "1099208"
              "type" => "book_page"
            ]
            "tasks" => Illuminate\Database\Eloquent\Collection {#3873}
          ]
          #changes: []
          #casts: []
          #classCastCache: []
          #attributeCastCache: []
          #dateFormat: null
          #appends: []
          #dispatchesEvents: []
          #observables: []
          #relations: []
          #touches: []
          +timestamps: true
          +usesUniqueIds: false
          #hidden: []
          #visible: []
          #fillable: []
          #guarded: array:1 [
            0 => "*"
          ]
        }
      ]
      #escapeWhenCastingToString: false
    }
    "previous" => Illuminate\Database\Eloquent\Collection {#3851
      #items: array:1 [
        0 => App\Models\BookPage {#3850
          #connection: "mysql"
          #table: "book_pages"
          #primaryKey: "id"
          #keyType: "int"
          +incrementing: true
          #with: []
          #withCount: []
          +preventsLazyLoading: false
          #perPage: 15
          +exists: true
          +wasRecentlyCreated: false
          #escapeWhenCastingToString: false
          #attributes: array:21 [
            "id" => 1099207
            "created_at" => "2026-04-10 13:58:26"
            "updated_at" => null
            "field_page_start" => "54"
            "field_url" => "/10-klass/algebra/baspasy-pak-uchebnik/page-2-54"
            "field_display_title" => "54"
            "field_folder" => "2"
            "field_image_name" => "54"
            "field_branch_parent" => Illuminate\Database\Eloquent\Collection {#3852
              #items: array:1 [
                0 => App\Models\Branch {#1149}
              ]
              #escapeWhenCastingToString: false
            }
            "field_weight" => "0"
            "field_book_parent" => Illuminate\Database\Eloquent\Collection {#3853
              #items: array:1 [
                0 => App\Models\Book {#1039}
              ]
              #escapeWhenCastingToString: false
            }
            "field_metatags_title" => null
            "field_metatags_description" => null
            "field_h1" => null
            "field_description_top" => null
            "field_description_bottom" => null
            "edition_groups" => Illuminate\Database\Eloquent\Collection {#3854
              #items: []
              #escapeWhenCastingToString: false
            }
            "content" => Illuminate\Database\Eloquent\Collection {#3864
              #items: array:1 [
                0 => App\Models\Element {#3863
                  #connection: "mysql"
                  #table: "elements"
                  #primaryKey: "id"
                  #keyType: "int"
                  +incrementing: true
                  #with: []
                  #withCount: []
                  +preventsLazyLoading: false
                  #perPage: 15
                  +exists: true
                  +wasRecentlyCreated: false
                  #escapeWhenCastingToString: false
                  #attributes: array:6 [ …6]
                  #original: array:6 [ …6]
                  #changes: []
                  #casts: []
                  #classCastCache: []
                   …13
                }
              ]
              #escapeWhenCastingToString: false
            }
            "next" => array:2 [
              "refs" => "1099208"
              "type" => "book_page"
            ]
            "previous" => array:2 [
              "refs" => "1099206"
              "type" => "book_page"
            ]
            "tasks" => Illuminate\Database\Eloquent\Collection {#3857
              #items: array:14 [
                0 => App\Models\Task {#3881 …30}
                1 => App\Models\Task {#3888 …30}
                2 => App\Models\Task {#3900 …30}
                3 => App\Models\Task {#3912 …30}
                4 => App\Models\Task {#3924 …30}
                5 => App\Models\Task {#3936 …30}
                6 => App\Models\Task {#3948 …30}
                7 => App\Models\Task {#3960 …30}
                8 => App\Models\Task {#3972 …30}
                9 => App\Models\Task {#3984 …30}
                10 => App\Models\Task {#3996 …30}
                11 => App\Models\Task {#4008 …30}
                12 => App\Models\Task {#4020 …30}
                13 => App\Models\Task {#4032 …30}
              ]
              #escapeWhenCastingToString: false
            }
          ]
          #original: array:21 [
            "id" => 1099207
            "created_at" => "2026-04-10 13:58:26"
            "updated_at" => null
            "field_page_start" => "54"
            "field_url" => "/10-klass/algebra/baspasy-pak-uchebnik/page-2-54"
            "field_display_title" => "54"
            "field_folder" => "2"
            "field_image_name" => "54"
            "field_branch_parent" => Illuminate\Database\Eloquent\Collection {#3852}
            "field_weight" => "0"
            "field_book_parent" => Illuminate\Database\Eloquent\Collection {#3853}
            "field_metatags_title" => null
            "field_metatags_description" => null
            "field_h1" => null
            "field_description_top" => null
            "field_description_bottom" => null
            "edition_groups" => Illuminate\Database\Eloquent\Collection {#3854}
            "content" => Illuminate\Database\Eloquent\Collection {#3864}
            "next" => array:2 [
              "refs" => "1099208"
              "type" => "book_page"
            ]
            "previous" => array:2 [
              "refs" => "1099206"
              "type" => "book_page"
            ]
            "tasks" => Illuminate\Database\Eloquent\Collection {#3857}
          ]
          #changes: []
          #casts: []
          #classCastCache: []
          #attributeCastCache: []
          #dateFormat: null
          #appends: []
          #dispatchesEvents: []
          #observables: []
          #relations: []
          #touches: []
          +timestamps: true
          +usesUniqueIds: false
          #hidden: []
          #visible: []
          #fillable: []
          #guarded: array:1 [
            0 => "*"
          ]
        }
      ]
      #escapeWhenCastingToString: false
    }
    "tasks" => Illuminate\Database\Eloquent\Collection {#1072
      #items: array:10 [
        0 => App\Models\Task {#1098
          #connection: "mysql"
          #table: "tasks"
          #primaryKey: "id"
          #keyType: "int"
          +incrementing: true
          #with: []
          #withCount: []
          +preventsLazyLoading: false
          #perPage: 15
          +exists: true
          +wasRecentlyCreated: false
          #escapeWhenCastingToString: false
          #attributes: array:24 [
            "id" => 1120215
            "created_at" => "2026-04-10 13:58:26"
            "updated_at" => null
            "field_page_start" => "55"
            "field_page_end" => null
            "field_url" => "/10-klass/algebra/baspasy-pak-uchebnik/5-2-5dop-15"
            "field_display_title" => "15"
            "field_outside_task" => null
            "field_task_type" => Illuminate\Database\Eloquent\Collection {#1102
              #items: array:1 [
                0 => App\Models\Term {#1099 …30}
              ]
              #escapeWhenCastingToString: false
            }
            "field_metatags_title" => null
            "field_metatags_description" => null
            "field_h1" => null
            "field_description_top" => null
            "field_description_bottom" => null
            "field_match" => null
            "breadcrumbs" => []
            "edition_groups" => Illuminate\Database\Eloquent\Collection {#1101
              #items: []
              #escapeWhenCastingToString: false
            }
            "top_parent_branch" => Illuminate\Database\Eloquent\Collection {#1100
              #items: array:1 [
                0 => App\Models\Branch {#1008}
              ]
              #escapeWhenCastingToString: false
            }
            "parent_branches" => Illuminate\Database\Eloquent\Collection {#1137
              #items: array:5 [
                0 => App\Models\Branch {#1149}
                1 => App\Models\Branch {#1154 …30}
                2 => App\Models\Branch {#1159 …30}
                3 => App\Models\Branch {#1164 …30}
                4 => App\Models\Branch {#1168 …30}
              ]
              #escapeWhenCastingToString: false
            }
            "content" => Illuminate\Database\Eloquent\Collection {#1103
              #items: array:2 [
                0 => App\Models\Element {#1129 …30}
                1 => App\Models\Element {#1127 …30}
              ]
              #escapeWhenCastingToString: false
            }
            "next" => array:2 [
              "refs" => "1120216"
              "type" => "task"
            ]
            "previous" => array:2 [
              "refs" => "1120214"
              "type" => "task"
            ]
            "book" => Illuminate\Database\Eloquent\Collection {#1132
              #items: array:1 [
                0 => App\Models\Book {#1039}
              ]
              #escapeWhenCastingToString: false
            }
            "page" => array:2 [
              "refs" => "1099208"
              "type" => "book_page"
            ]
          ]
          #original: array:24 [
            "id" => 1120215
            "created_at" => "2026-04-10 13:58:26"
            "updated_at" => null
            "field_page_start" => "55"
            "field_page_end" => null
            "field_url" => "/10-klass/algebra/baspasy-pak-uchebnik/5-2-5dop-15"
            "field_display_title" => "15"
            "field_outside_task" => null
            "field_task_type" => Illuminate\Database\Eloquent\Collection {#1102}
            "field_metatags_title" => null
            "field_metatags_description" => null
            "field_h1" => null
            "field_description_top" => null
            "field_description_bottom" => null
            "field_match" => null
            "breadcrumbs" => []
            "edition_groups" => Illuminate\Database\Eloquent\Collection {#1101}
            "top_parent_branch" => Illuminate\Database\Eloquent\Collection {#1100}
            "parent_branches" => Illuminate\Database\Eloquent\Collection {#1137}
            "content" => Illuminate\Database\Eloquent\Collection {#1103}
            "next" => array:2 [
              "refs" => "1120216"
              "type" => "task"
            ]
            "previous" => array:2 [
              "refs" => "1120214"
              "type" => "task"
            ]
            "book" => Illuminate\Database\Eloquent\Collection {#1132}
            "page" => array:2 [
              "refs" => "1099208"
              "type" => "book_page"
            ]
          ]
          #changes: []
          #casts: []
          #classCastCache: []
          #attributeCastCache: []
          #dateFormat: null
          #appends: []
          #dispatchesEvents: []
          #observables: []
          #relations: []
          #touches: []
          +timestamps: true
          +usesUniqueIds: false
          #hidden: []
          #visible: []
          #fillable: []
          #guarded: array:1 [
            0 => "*"
          ]
        }
        1 => App\Models\Task {#1135
          #connection: "mysql"
          #table: "tasks"
          #primaryKey: "id"
          #keyType: "int"
          +incrementing: true
          #with: []
          #withCount: []
          +preventsLazyLoading: false
          #perPage: 15
          +exists: true
          +wasRecentlyCreated: false
          #escapeWhenCastingToString: false
          #attributes: array:24 [
            "id" => 1120216
            "created_at" => "2026-04-10 13:58:26"
            "updated_at" => null
            "field_page_start" => "55"
            "field_page_end" => null
            "field_url" => "/10-klass/algebra/baspasy-pak-uchebnik/5-2-5dop-16"
            "field_display_title" => "16"
            "field_outside_task" => null
            "field_task_type" => Illuminate\Database\Eloquent\Collection {#1147
              #items: array:1 [
                0 => App\Models\Term {#1099 …30}
              ]
              #escapeWhenCastingToString: false
            }
            "field_metatags_title" => null
            "field_metatags_description" => null
            "field_h1" => null
            "field_description_top" => null
            "field_description_bottom" => null
            "field_match" => null
            "breadcrumbs" => []
            "edition_groups" => Illuminate\Database\Eloquent\Collection {#1130
              #items: []
              #escapeWhenCastingToString: false
            }
            "top_parent_branch" => Illuminate\Database\Eloquent\Collection {#1134
              #items: array:1 [
                0 => App\Models\Branch {#1149}
              ]
              #escapeWhenCastingToString: false
            }
            "parent_branches" => Illuminate\Database\Eloquent\Collection {#1106
              #items: array:5 [
                0 => App\Models\Branch {#1149}
                1 => App\Models\Branch {#1154 …30}
                2 => App\Models\Branch {#1159 …30}
                3 => App\Models\Branch {#1164 …30}
                4 => App\Models\Branch {#1168 …30}
              ]
              #escapeWhenCastingToString: false
            }
            "content" => Illuminate\Database\Eloquent\Collection {#1107
              #items: array:2 [
                0 => App\Models\Element {#1110 …30}
                1 => App\Models\Element {#1108 …30}
              ]
              #escapeWhenCastingToString: false
            }
            "next" => array:2 [
              "refs" => "1120217"
              "type" => "task"
            ]
            "previous" => array:2 [
              "refs" => "1120215"
              "type" => "task"
            ]
            "book" => Illuminate\Database\Eloquent\Collection {#1115
              #items: array:1 [
                0 => App\Models\Book {#1039}
              ]
              #escapeWhenCastingToString: false
            }
            "page" => array:2 [
              "refs" => "1099208"
              "type" => "book_page"
            ]
          ]
          #original: array:24 [
            "id" => 1120216
            "created_at" => "2026-04-10 13:58:26"
            "updated_at" => null
            "field_page_start" => "55"
            "field_page_end" => null
            "field_url" => "/10-klass/algebra/baspasy-pak-uchebnik/5-2-5dop-16"
            "field_display_title" => "16"
            "field_outside_task" => null
            "field_task_type" => Illuminate\Database\Eloquent\Collection {#1147}
            "field_metatags_title" => null
            "field_metatags_description" => null
            "field_h1" => null
            "field_description_top" => null
            "field_description_bottom" => null
            "field_match" => null
            "breadcrumbs" => []
            "edition_groups" => Illuminate\Database\Eloquent\Collection {#1130}
            "top_parent_branch" => Illuminate\Database\Eloquent\Collection {#1134}
            "parent_branches" => Illuminate\Database\Eloquent\Collection {#1106}
            "content" => Illuminate\Database\Eloquent\Collection {#1107}
            "next" => array:2 [
              "refs" => "1120217"
              "type" => "task"
            ]
            "previous" => array:2 [
              "refs" => "1120215"
              "type" => "task"
            ]
            "book" => Illuminate\Database\Eloquent\Collection {#1115}
            "page" => array:2 [
              "refs" => "1099208"
              "type" => "book_page"
            ]
          ]
          #changes: []
          #casts: []
          #classCastCache: []
          #attributeCastCache: []
          #dateFormat: null
          #appends: []
          #dispatchesEvents: []
          #observables: []
          #relations: []
          #touches: []
          +timestamps: true
          +usesUniqueIds: false
          #hidden: []
          #visible: []
          #fillable: []
          #guarded: array:1 [
            0 => "*"
          ]
        }
        2 => App\Models\Task {#1119
          #connection: "mysql"
          #table: "tasks"
          #primaryKey: "id"
          #keyType: "int"
          +incrementing: true
          #with: []
          #withCount: []
          +preventsLazyLoading: false
          #perPage: 15
          +exists: true
          +wasRecentlyCreated: false
          #escapeWhenCastingToString: false
          #attributes: array:24 [
            "id" => 1120217
            "created_at" => "2026-04-10 13:58:26"
            "updated_at" => null
            "field_page_start" => "55"
            "field_page_end" => null
            "field_url" => "/10-klass/algebra/baspasy-pak-uchebnik/5-2-5dop-17"
            "field_display_title" => "17"
            "field_outside_task" => null
            "field_task_type" => Illuminate\Database\Eloquent\Collection {#1133
              #items: array:1 [
                0 => App\Models\Term {#1099 …30}
              ]
              #escapeWhenCastingToString: false
            }
            "field_metatags_title" => null
            "field_metatags_description" => null
            "field_h1" => null
            "field_description_top" => null
            "field_description_bottom" => null
            "field_match" => null
            "breadcrumbs" => []
            "edition_groups" => Illuminate\Database\Eloquent\Collection {#1113
              #items: []
              #escapeWhenCastingToString: false
            }
            "top_parent_branch" => Illuminate\Database\Eloquent\Collection {#1117
              #items: array:1 [
                0 => App\Models\Branch {#1149}
              ]
              #escapeWhenCastingToString: false
            }
            "parent_branches" => Illuminate\Database\Eloquent\Collection {#1120
              #items: array:5 [
                0 => App\Models\Branch {#1149}
                1 => App\Models\Branch {#1154 …30}
                2 => App\Models\Branch {#1159 …30}
                3 => App\Models\Branch {#1164 …30}
                4 => App\Models\Branch {#1168 …30}
              ]
              #escapeWhenCastingToString: false
            }
            "content" => Illuminate\Database\Eloquent\Collection {#1114
              #items: array:2 [
                0 => App\Models\Element {#1141 …30}
                1 => App\Models\Element {#1142 …30}
              ]
              #escapeWhenCastingToString: false
            }
            "next" => array:2 [
              "refs" => "1120218"
              "type" => "task"
            ]
            "previous" => array:2 [
              "refs" => "1120216"
              "type" => "task"
            ]
            "book" => Illuminate\Database\Eloquent\Collection {#1144
              #items: array:1 [
                0 => App\Models\Book {#1039}
              ]
              #escapeWhenCastingToString: false
            }
            "page" => array:2 [
              "refs" => "1099208"
              "type" => "book_page"
            ]
          ]
          #original: array:24 [
            "id" => 1120217
            "created_at" => "2026-04-10 13:58:26"
            "updated_at" => null
            "field_page_start" => "55"
            "field_page_end" => null
            "field_url" => "/10-klass/algebra/baspasy-pak-uchebnik/5-2-5dop-17"
            "field_display_title" => "17"
            "field_outside_task" => null
            "field_task_type" => Illuminate\Database\Eloquent\Collection {#1133}
            "field_metatags_title" => null
            "field_metatags_description" => null
            "field_h1" => null
            "field_description_top" => null
            "field_description_bottom" => null
            "field_match" => null
            "breadcrumbs" => []
            "edition_groups" => Illuminate\Database\Eloquent\Collection {#1113}
            "top_parent_branch" => Illuminate\Database\Eloquent\Collection {#1117}
            "parent_branches" => Illuminate\Database\Eloquent\Collection {#1120}
            "content" => Illuminate\Database\Eloquent\Collection {#1114}
            "next" => array:2 [
              "refs" => "1120218"
              "type" => "task"
            ]
            "previous" => array:2 [
              "refs" => "1120216"
              "type" => "task"
            ]
            "book" => Illuminate\Database\Eloquent\Collection {#1144}
            "page" => array:2 [
              "refs" => "1099208"
              "type" => "book_page"
            ]
          ]
          #changes: []
          #casts: []
          #classCastCache: []
          #attributeCastCache: []
          #dateFormat: null
          #appends: []
          #dispatchesEvents: []
          #observables: []
          #relations: []
          #touches: []
          +timestamps: true
          +usesUniqueIds: false
          #hidden: []
          #visible: []
          #fillable: []
          #guarded: array:1 [
            0 => "*"
          ]
        }
        3 => App\Models\Task {#1105
          #connection: "mysql"
          #table: "tasks"
          #primaryKey: "id"
          #keyType: "int"
          +incrementing: true
          #with: []
          #withCount: []
          +preventsLazyLoading: false
          #perPage: 15
          +exists: true
          +wasRecentlyCreated: false
          #escapeWhenCastingToString: false
          #attributes: array:24 [
            "id" => 1120218
            "created_at" => "2026-04-10 13:58:26"
            "updated_at" => null
            "field_page_start" => "55"
            "field_page_end" => null
            "field_url" => "/10-klass/algebra/baspasy-pak-uchebnik/5-2-5dop-18"
            "field_display_title" => "18"
            "field_outside_task" => null
            "field_task_type" => Illuminate\Database\Eloquent\Collection {#1116
              #items: array:1 [
                0 => App\Models\Term {#1099 …30}
              ]
              #escapeWhenCastingToString: false
            }
            "field_metatags_title" => null
            "field_metatags_description" => null
            "field_h1" => null
            "field_description_top" => null
            "field_description_bottom" => null
            "field_match" => null
            "breadcrumbs" => []
            "edition_groups" => Illuminate\Database\Eloquent\Collection {#1145
              #items: []
              #escapeWhenCastingToString: false
            }
            "top_parent_branch" => Illuminate\Database\Eloquent\Collection {#1136
              #items: array:1 [
                0 => App\Models\Branch {#1149}
              ]
              #escapeWhenCastingToString: false
            }
            "parent_branches" => Illuminate\Database\Eloquent\Collection {#1104
              #items: array:5 [
                0 => App\Models\Branch {#1149}
                1 => App\Models\Branch {#1154 …30}
                2 => App\Models\Branch {#1159 …30}
                3 => App\Models\Branch {#1164 …30}
                4 => App\Models\Branch {#1168 …30}
              ]
              #escapeWhenCastingToString: false
            }
            "content" => Illuminate\Database\Eloquent\Collection {#1138
              #items: array:2 [
                0 => App\Models\Element {#1195 …30}
                1 => App\Models\Element {#1197 …30}
              ]
              #escapeWhenCastingToString: false
            }
            "next" => array:2 [
              "refs" => "1120219"
              "type" => "task"
            ]
            "previous" => array:2 [
              "refs" => "1120217"
              "type" => "task"
            ]
            "book" => Illuminate\Database\Eloquent\Collection {#1184
              #items: array:1 [
                0 => App\Models\Book {#1039}
              ]
              #escapeWhenCastingToString: false
            }
            "page" => array:2 [
              "refs" => "1099208"
              "type" => "book_page"
            ]
          ]
          #original: array:24 [
            "id" => 1120218
            "created_at" => "2026-04-10 13:58:26"
            "updated_at" => null
            "field_page_start" => "55"
            "field_page_end" => null
            "field_url" => "/10-klass/algebra/baspasy-pak-uchebnik/5-2-5dop-18"
            "field_display_title" => "18"
            "field_outside_task" => null
            "field_task_type" => Illuminate\Database\Eloquent\Collection {#1116}
            "field_metatags_title" => null
            "field_metatags_description" => null
            "field_h1" => null
            "field_description_top" => null
            "field_description_bottom" => null
            "field_match" => null
            "breadcrumbs" => []
            "edition_groups" => Illuminate\Database\Eloquent\Collection {#1145}
            "top_parent_branch" => Illuminate\Database\Eloquent\Collection {#1136}
            "parent_branches" => Illuminate\Database\Eloquent\Collection {#1104}
            "content" => Illuminate\Database\Eloquent\Collection {#1138}
            "next" => array:2 [
              "refs" => "1120219"
              "type" => "task"
            ]
            "previous" => array:2 [
              "refs" => "1120217"
              "type" => "task"
            ]
            "book" => Illuminate\Database\Eloquent\Collection {#1184}
            "page" => array:2 [
              "refs" => "1099208"
              "type" => "book_page"
            ]
          ]
          #changes: []
          #casts: []
          #classCastCache: []
          #attributeCastCache: []
          #dateFormat: null
          #appends: []
          #dispatchesEvents: []
          #observables: []
          #relations: []
          #touches: []
          +timestamps: true
          +usesUniqueIds: false
          #hidden: []
          #visible: []
          #fillable: []
          #guarded: array:1 [
            0 => "*"
          ]
        }
        4 => App\Models\Task {#1177
          #connection: "mysql"
          #table: "tasks"
          #primaryKey: "id"
          #keyType: "int"
          +incrementing: true
          #with: []
          #withCount: []
          +preventsLazyLoading: false
          #perPage: 15
          +exists: true
          +wasRecentlyCreated: false
          #escapeWhenCastingToString: false
          #attributes: array:24 [
            "id" => 1120219
            "created_at" => "2026-04-10 13:58:26"
            "updated_at" => null
            "field_page_start" => "55"
            "field_page_end" => null
            "field_url" => "/10-klass/algebra/baspasy-pak-uchebnik/5-2-5dop-19"
            "field_display_title" => "19"
            "field_outside_task" => null
            "field_task_type" => Illuminate\Database\Eloquent\Collection {#1146
              #items: array:1 [
                0 => App\Models\Term {#1099 …30}
              ]
              #escapeWhenCastingToString: false
            }
            "field_metatags_title" => null
            "field_metatags_description" => null
            "field_h1" => null
            "field_description_top" => null
            "field_description_bottom" => null
            "field_match" => null
            "breadcrumbs" => []
            "edition_groups" => Illuminate\Database\Eloquent\Collection {#1194
              #items: []
              #escapeWhenCastingToString: false
            }
            "top_parent_branch" => Illuminate\Database\Eloquent\Collection {#1175
              #items: array:1 [
                0 => App\Models\Branch {#1149}
              ]
              #escapeWhenCastingToString: false
            }
            "parent_branches" => Illuminate\Database\Eloquent\Collection {#1166
              #items: array:5 [
                0 => App\Models\Branch {#1149}
                1 => App\Models\Branch {#1154 …30}
                2 => App\Models\Branch {#1159 …30}
                3 => App\Models\Branch {#1164 …30}
                4 => App\Models\Branch {#1168 …30}
              ]
              #escapeWhenCastingToString: false
            }
            "content" => Illuminate\Database\Eloquent\Collection {#1185
              #items: array:2 [
                0 => App\Models\Element {#1207 …30}
                1 => App\Models\Element {#1209 …30}
              ]
              #escapeWhenCastingToString: false
            }
            "next" => array:2 [
              "refs" => "1120220"
              "type" => "task"
            ]
            "previous" => array:2 [
              "refs" => "1120218"
              "type" => "task"
            ]
            "book" => Illuminate\Database\Eloquent\Collection {#1204
              #items: array:1 [
                0 => App\Models\Book {#1039}
              ]
              #escapeWhenCastingToString: false
            }
            "page" => array:2 [
              "refs" => "1099208"
              "type" => "book_page"
            ]
          ]
          #original: array:24 [
            "id" => 1120219
            "created_at" => "2026-04-10 13:58:26"
            "updated_at" => null
            "field_page_start" => "55"
            "field_page_end" => null
            "field_url" => "/10-klass/algebra/baspasy-pak-uchebnik/5-2-5dop-19"
            "field_display_title" => "19"
            "field_outside_task" => null
            "field_task_type" => Illuminate\Database\Eloquent\Collection {#1146}
            "field_metatags_title" => null
            "field_metatags_description" => null
            "field_h1" => null
            "field_description_top" => null
            "field_description_bottom" => null
            "field_match" => null
            "breadcrumbs" => []
            "edition_groups" => Illuminate\Database\Eloquent\Collection {#1194}
            "top_parent_branch" => Illuminate\Database\Eloquent\Collection {#1175}
            "parent_branches" => Illuminate\Database\Eloquent\Collection {#1166}
            "content" => Illuminate\Database\Eloquent\Collection {#1185}
            "next" => array:2 [
              "refs" => "1120220"
              "type" => "task"
            ]
            "previous" => array:2 [
              "refs" => "1120218"
              "type" => "task"
            ]
            "book" => Illuminate\Database\Eloquent\Collection {#1204}
            "page" => array:2 [
              "refs" => "1099208"
              "type" => "book_page"
            ]
          ]
          #changes: []
          #casts: []
          #classCastCache: []
          #attributeCastCache: []
          #dateFormat: null
          #appends: []
          #dispatchesEvents: []
          #observables: []
          #relations: []
          #touches: []
          +timestamps: true
          +usesUniqueIds: false
          #hidden: []
          #visible: []
          #fillable: []
          #guarded: array:1 [
            0 => "*"
          ]
        }
        5 => App\Models\Task {#1199
          #connection: "mysql"
          #table: "tasks"
          #primaryKey: "id"
          #keyType: "int"
          +incrementing: true
          #with: []
          #withCount: []
          +preventsLazyLoading: false
          #perPage: 15
          +exists: true
          +wasRecentlyCreated: false
          #escapeWhenCastingToString: false
          #attributes: array:24 [
            "id" => 1120220
            "created_at" => "2026-04-10 13:58:26"
            "updated_at" => null
            "field_page_start" => "55"
            "field_page_end" => null
            "field_url" => "/10-klass/algebra/baspasy-pak-uchebnik/5-2-5dop-20"
            "field_display_title" => "20"
            "field_outside_task" => null
            "field_task_type" => Illuminate\Database\Eloquent\Collection {#1186
              #items: array:1 [
                0 => App\Models\Term {#1099 …30}
              ]
              #escapeWhenCastingToString: false
            }
            "field_metatags_title" => null
            "field_metatags_description" => null
            "field_h1" => null
            "field_description_top" => null
            "field_description_bottom" => null
            "field_match" => null
            "breadcrumbs" => []
            "edition_groups" => Illuminate\Database\Eloquent\Collection {#1206
              #items: []
              #escapeWhenCastingToString: false
            }
            "top_parent_branch" => Illuminate\Database\Eloquent\Collection {#1202
              #items: array:1 [
                0 => App\Models\Branch {#1149}
              ]
              #escapeWhenCastingToString: false
            }
            "parent_branches" => Illuminate\Database\Eloquent\Collection {#1200
              #items: array:5 [
                0 => App\Models\Branch {#1149}
                1 => App\Models\Branch {#1154 …30}
                2 => App\Models\Branch {#1159 …30}
                3 => App\Models\Branch {#1164 …30}
                4 => App\Models\Branch {#1168 …30}
              ]
              #escapeWhenCastingToString: false
            }
            "content" => Illuminate\Database\Eloquent\Collection {#1201
              #items: array:2 [
                0 => App\Models\Element {#1219 …30}
                1 => App\Models\Element {#1221 …30}
              ]
              #escapeWhenCastingToString: false
            }
            "next" => array:2 [
              "refs" => "1120221"
              "type" => "task"
            ]
            "previous" => array:2 [
              "refs" => "1120219"
              "type" => "task"
            ]
            "book" => Illuminate\Database\Eloquent\Collection {#1216
              #items: array:1 [
                0 => App\Models\Book {#1039}
              ]
              #escapeWhenCastingToString: false
            }
            "page" => array:2 [
              "refs" => "1099208"
              "type" => "book_page"
            ]
          ]
          #original: array:24 [
            "id" => 1120220
            "created_at" => "2026-04-10 13:58:26"
            "updated_at" => null
            "field_page_start" => "55"
            "field_page_end" => null
            "field_url" => "/10-klass/algebra/baspasy-pak-uchebnik/5-2-5dop-20"
            "field_display_title" => "20"
            "field_outside_task" => null
            "field_task_type" => Illuminate\Database\Eloquent\Collection {#1186}
            "field_metatags_title" => null
            "field_metatags_description" => null
            "field_h1" => null
            "field_description_top" => null
            "field_description_bottom" => null
            "field_match" => null
            "breadcrumbs" => []
            "edition_groups" => Illuminate\Database\Eloquent\Collection {#1206}
            "top_parent_branch" => Illuminate\Database\Eloquent\Collection {#1202}
            "parent_branches" => Illuminate\Database\Eloquent\Collection {#1200}
            "content" => Illuminate\Database\Eloquent\Collection {#1201}
            "next" => array:2 [
              "refs" => "1120221"
              "type" => "task"
            ]
            "previous" => array:2 [
              "refs" => "1120219"
              "type" => "task"
            ]
            "book" => Illuminate\Database\Eloquent\Collection {#1216}
            "page" => array:2 [
              "refs" => "1099208"
              "type" => "book_page"
            ]
          ]
          #changes: []
          #casts: []
          #classCastCache: []
          #attributeCastCache: []
          #dateFormat: null
          #appends: []
          #dispatchesEvents: []
          #observables: []
          #relations: []
          #touches: []
          +timestamps: true
          +usesUniqueIds: false
          #hidden: []
          #visible: []
          #fillable: []
          #guarded: array:1 [
            0 => "*"
          ]
        }
        6 => App\Models\Task {#1211
          #connection: "mysql"
          #table: "tasks"
          #primaryKey: "id"
          #keyType: "int"
          +incrementing: true
          #with: []
          #withCount: []
          +preventsLazyLoading: false
          #perPage: 15
          +exists: true
          +wasRecentlyCreated: false
          #escapeWhenCastingToString: false
          #attributes: array:24 [
            "id" => 1120221
            "created_at" => "2026-04-10 13:58:26"
            "updated_at" => null
            "field_page_start" => "55"
            "field_page_end" => null
            "field_url" => "/10-klass/algebra/baspasy-pak-uchebnik/5-2-5dop-21"
            "field_display_title" => "21"
            "field_outside_task" => null
            "field_task_type" => Illuminate\Database\Eloquent\Collection {#1203
              #items: array:1 [
                0 => App\Models\Term {#1099 …30}
              ]
              #escapeWhenCastingToString: false
            }
            "field_metatags_title" => null
            "field_metatags_description" => null
            "field_h1" => null
            "field_description_top" => null
            "field_description_bottom" => null
            "field_match" => null
            "breadcrumbs" => []
            "edition_groups" => Illuminate\Database\Eloquent\Collection {#1218
              #items: []
              #escapeWhenCastingToString: false
            }
            "top_parent_branch" => Illuminate\Database\Eloquent\Collection {#1214
              #items: array:1 [
                0 => App\Models\Branch {#1149}
              ]
              #escapeWhenCastingToString: false
            }
            "parent_branches" => Illuminate\Database\Eloquent\Collection {#1212
              #items: array:5 [
                0 => App\Models\Branch {#1149}
                1 => App\Models\Branch {#1154 …30}
                2 => App\Models\Branch {#1159 …30}
                3 => App\Models\Branch {#1164 …30}
                4 => App\Models\Branch {#1168 …30}
              ]
              #escapeWhenCastingToString: false
            }
            "content" => Illuminate\Database\Eloquent\Collection {#1213
              #items: array:2 [
                0 => App\Models\Element {#1231 …30}
                1 => App\Models\Element {#1233 …30}
              ]
              #escapeWhenCastingToString: false
            }
            "next" => array:2 [
              "refs" => "1120222"
              "type" => "task"
            ]
            "previous" => array:2 [
              "refs" => "1120220"
              "type" => "task"
            ]
            "book" => Illuminate\Database\Eloquent\Collection {#1228
              #items: array:1 [
                0 => App\Models\Book {#1039}
              ]
              #escapeWhenCastingToString: false
            }
            "page" => array:2 [
              "refs" => "1099208"
              "type" => "book_page"
            ]
          ]
          #original: array:24 [
            "id" => 1120221
            "created_at" => "2026-04-10 13:58:26"
            "updated_at" => null
            "field_page_start" => "55"
            "field_page_end" => null
            "field_url" => "/10-klass/algebra/baspasy-pak-uchebnik/5-2-5dop-21"
            "field_display_title" => "21"
            "field_outside_task" => null
            "field_task_type" => Illuminate\Database\Eloquent\Collection {#1203}
            "field_metatags_title" => null
            "field_metatags_description" => null
            "field_h1" => null
            "field_description_top" => null
            "field_description_bottom" => null
            "field_match" => null
            "breadcrumbs" => []
            "edition_groups" => Illuminate\Database\Eloquent\Collection {#1218}
            "top_parent_branch" => Illuminate\Database\Eloquent\Collection {#1214}
            "parent_branches" => Illuminate\Database\Eloquent\Collection {#1212}
            "content" => Illuminate\Database\Eloquent\Collection {#1213}
            "next" => array:2 [
              "refs" => "1120222"
              "type" => "task"
            ]
            "previous" => array:2 [
              "refs" => "1120220"
              "type" => "task"
            ]
            "book" => Illuminate\Database\Eloquent\Collection {#1228}
            "page" => array:2 [
              "refs" => "1099208"
              "type" => "book_page"
            ]
          ]
          #changes: []
          #casts: []
          #classCastCache: []
          #attributeCastCache: []
          #dateFormat: null
          #appends: []
          #dispatchesEvents: []
          #observables: []
          #relations: []
          #touches: []
          +timestamps: true
          +usesUniqueIds: false
          #hidden: []
          #visible: []
          #fillable: []
          #guarded: array:1 [
            0 => "*"
          ]
        }
        7 => App\Models\Task {#1223
          #connection: "mysql"
          #table: "tasks"
          #primaryKey: "id"
          #keyType: "int"
          +incrementing: true
          #with: []
          #withCount: []
          +preventsLazyLoading: false
          #perPage: 15
          +exists: true
          +wasRecentlyCreated: false
          #escapeWhenCastingToString: false
          #attributes: array:24 [
            "id" => 1120222
            "created_at" => "2026-04-10 13:58:26"
            "updated_at" => null
            "field_page_start" => "55"
            "field_page_end" => null
            "field_url" => "/10-klass/algebra/baspasy-pak-uchebnik/5-2-5dop-22"
            "field_display_title" => "22"
            "field_outside_task" => null
            "field_task_type" => Illuminate\Database\Eloquent\Collection {#1215
              #items: array:1 [
                0 => App\Models\Term {#1099 …30}
              ]
              #escapeWhenCastingToString: false
            }
            "field_metatags_title" => null
            "field_metatags_description" => null
            "field_h1" => null
            "field_description_top" => null
            "field_description_bottom" => null
            "field_match" => null
            "breadcrumbs" => []
            "edition_groups" => Illuminate\Database\Eloquent\Collection {#1230
              #items: []
              #escapeWhenCastingToString: false
            }
            "top_parent_branch" => Illuminate\Database\Eloquent\Collection {#1226
              #items: array:1 [
                0 => App\Models\Branch {#1149}
              ]
              #escapeWhenCastingToString: false
            }
            "parent_branches" => Illuminate\Database\Eloquent\Collection {#1224
              #items: array:5 [
                0 => App\Models\Branch {#1149}
                1 => App\Models\Branch {#1154 …30}
                2 => App\Models\Branch {#1159 …30}
                3 => App\Models\Branch {#1164 …30}
                4 => App\Models\Branch {#1168 …30}
              ]
              #escapeWhenCastingToString: false
            }
            "content" => Illuminate\Database\Eloquent\Collection {#1225
              #items: array:2 [
                0 => App\Models\Element {#1243 …30}
                1 => App\Models\Element {#1245 …30}
              ]
              #escapeWhenCastingToString: false
            }
            "next" => array:2 [
              "refs" => "1120223"
              "type" => "task"
            ]
            "previous" => array:2 [
              "refs" => "1120221"
              "type" => "task"
            ]
            "book" => Illuminate\Database\Eloquent\Collection {#1240
              #items: array:1 [
                0 => App\Models\Book {#1039}
              ]
              #escapeWhenCastingToString: false
            }
            "page" => array:2 [
              "refs" => "1099208"
              "type" => "book_page"
            ]
          ]
          #original: array:24 [
            "id" => 1120222
            "created_at" => "2026-04-10 13:58:26"
            "updated_at" => null
            "field_page_start" => "55"
            "field_page_end" => null
            "field_url" => "/10-klass/algebra/baspasy-pak-uchebnik/5-2-5dop-22"
            "field_display_title" => "22"
            "field_outside_task" => null
            "field_task_type" => Illuminate\Database\Eloquent\Collection {#1215}
            "field_metatags_title" => null
            "field_metatags_description" => null
            "field_h1" => null
            "field_description_top" => null
            "field_description_bottom" => null
            "field_match" => null
            "breadcrumbs" => []
            "edition_groups" => Illuminate\Database\Eloquent\Collection {#1230}
            "top_parent_branch" => Illuminate\Database\Eloquent\Collection {#1226}
            "parent_branches" => Illuminate\Database\Eloquent\Collection {#1224}
            "content" => Illuminate\Database\Eloquent\Collection {#1225}
            "next" => array:2 [
              "refs" => "1120223"
              "type" => "task"
            ]
            "previous" => array:2 [
              "refs" => "1120221"
              "type" => "task"
            ]
            "book" => Illuminate\Database\Eloquent\Collection {#1240}
            "page" => array:2 [
              "refs" => "1099208"
              "type" => "book_page"
            ]
          ]
          #changes: []
          #casts: []
          #classCastCache: []
          #attributeCastCache: []
          #dateFormat: null
          #appends: []
          #dispatchesEvents: []
          #observables: []
          #relations: []
          #touches: []
          +timestamps: true
          +usesUniqueIds: false
          #hidden: []
          #visible: []
          #fillable: []
          #guarded: array:1 [
            0 => "*"
          ]
        }
        8 => App\Models\Task {#1235
          #connection: "mysql"
          #table: "tasks"
          #primaryKey: "id"
          #keyType: "int"
          +incrementing: true
          #with: []
          #withCount: []
          +preventsLazyLoading: false
          #perPage: 15
          +exists: true
          +wasRecentlyCreated: false
          #escapeWhenCastingToString: false
          #attributes: array:24 [
            "id" => 1120223
            "created_at" => "2026-04-10 13:58:26"
            "updated_at" => null
            "field_page_start" => "55"
            "field_page_end" => null
            "field_url" => "/10-klass/algebra/baspasy-pak-uchebnik/5-2-5dop-23"
            "field_display_title" => "23"
            "field_outside_task" => null
            "field_task_type" => Illuminate\Database\Eloquent\Collection {#1227
              #items: array:1 [
                0 => App\Models\Term {#1099 …30}
              ]
              #escapeWhenCastingToString: false
            }
            "field_metatags_title" => null
            "field_metatags_description" => null
            "field_h1" => null
            "field_description_top" => null
            "field_description_bottom" => null
            "field_match" => null
            "breadcrumbs" => []
            "edition_groups" => Illuminate\Database\Eloquent\Collection {#1242
              #items: []
              #escapeWhenCastingToString: false
            }
            "top_parent_branch" => Illuminate\Database\Eloquent\Collection {#1238
              #items: array:1 [
                0 => App\Models\Branch {#1149}
              ]
              #escapeWhenCastingToString: false
            }
            "parent_branches" => Illuminate\Database\Eloquent\Collection {#1236
              #items: array:5 [
                0 => App\Models\Branch {#1149}
                1 => App\Models\Branch {#1154 …30}
                2 => App\Models\Branch {#1159 …30}
                3 => App\Models\Branch {#1164 …30}
                4 => App\Models\Branch {#1168 …30}
              ]
              #escapeWhenCastingToString: false
            }
            "content" => Illuminate\Database\Eloquent\Collection {#1237
              #items: array:2 [
                0 => App\Models\Element {#1255 …30}
                1 => App\Models\Element {#1257 …30}
              ]
              #escapeWhenCastingToString: false
            }
            "next" => array:2 [
              "refs" => "1120224"
              "type" => "task"
            ]
            "previous" => array:2 [
              "refs" => "1120222"
              "type" => "task"
            ]
            "book" => Illuminate\Database\Eloquent\Collection {#1252
              #items: array:1 [
                0 => App\Models\Book {#1039}
              ]
              #escapeWhenCastingToString: false
            }
            "page" => array:2 [
              "refs" => "1099208"
              "type" => "book_page"
            ]
          ]
          #original: array:24 [
            "id" => 1120223
            "created_at" => "2026-04-10 13:58:26"
            "updated_at" => null
            "field_page_start" => "55"
            "field_page_end" => null
            "field_url" => "/10-klass/algebra/baspasy-pak-uchebnik/5-2-5dop-23"
            "field_display_title" => "23"
            "field_outside_task" => null
            "field_task_type" => Illuminate\Database\Eloquent\Collection {#1227}
            "field_metatags_title" => null
            "field_metatags_description" => null
            "field_h1" => null
            "field_description_top" => null
            "field_description_bottom" => null
            "field_match" => null
            "breadcrumbs" => []
            "edition_groups" => Illuminate\Database\Eloquent\Collection {#1242}
            "top_parent_branch" => Illuminate\Database\Eloquent\Collection {#1238}
            "parent_branches" => Illuminate\Database\Eloquent\Collection {#1236}
            "content" => Illuminate\Database\Eloquent\Collection {#1237}
            "next" => array:2 [
              "refs" => "1120224"
              "type" => "task"
            ]
            "previous" => array:2 [
              "refs" => "1120222"
              "type" => "task"
            ]
            "book" => Illuminate\Database\Eloquent\Collection {#1252}
            "page" => array:2 [
              "refs" => "1099208"
              "type" => "book_page"
            ]
          ]
          #changes: []
          #casts: []
          #classCastCache: []
          #attributeCastCache: []
          #dateFormat: null
          #appends: []
          #dispatchesEvents: []
          #observables: []
          #relations: []
          #touches: []
          +timestamps: true
          +usesUniqueIds: false
          #hidden: []
          #visible: []
          #fillable: []
          #guarded: array:1 [
            0 => "*"
          ]
        }
        9 => App\Models\Task {#1247
          #connection: "mysql"
          #table: "tasks"
          #primaryKey: "id"
          #keyType: "int"
          +incrementing: true
          #with: []
          #withCount: []
          +preventsLazyLoading: false
          #perPage: 15
          +exists: true
          +wasRecentlyCreated: false
          #escapeWhenCastingToString: false
          #attributes: array:24 [
            "id" => 1120224
            "created_at" => "2026-04-10 13:58:26"
            "updated_at" => null
            "field_page_start" => "55"
            "field_page_end" => null
            "field_url" => "/10-klass/algebra/baspasy-pak-uchebnik/5-2-5dop-24"
            "field_display_title" => "24"
            "field_outside_task" => null
            "field_task_type" => Illuminate\Database\Eloquent\Collection {#1239
              #items: array:1 [
                0 => App\Models\Term {#1099 …30}
              ]
              #escapeWhenCastingToString: false
            }
            "field_metatags_title" => null
            "field_metatags_description" => null
            "field_h1" => null
            "field_description_top" => null
            "field_description_bottom" => null
            "field_match" => null
            "breadcrumbs" => []
            "edition_groups" => Illuminate\Database\Eloquent\Collection {#1254
              #items: []
              #escapeWhenCastingToString: false
            }
            "top_parent_branch" => Illuminate\Database\Eloquent\Collection {#1250
              #items: array:1 [
                0 => App\Models\Branch {#1149}
              ]
              #escapeWhenCastingToString: false
            }
            "parent_branches" => Illuminate\Database\Eloquent\Collection {#1248
              #items: array:5 [
                0 => App\Models\Branch {#1149}
                1 => App\Models\Branch {#1154 …30}
                2 => App\Models\Branch {#1159 …30}
                3 => App\Models\Branch {#1164 …30}
                4 => App\Models\Branch {#1168 …30}
              ]
              #escapeWhenCastingToString: false
            }
            "content" => Illuminate\Database\Eloquent\Collection {#1249
              #items: array:2 [
                0 => App\Models\Element {#1267 …30}
                1 => App\Models\Element {#1269 …30}
              ]
              #escapeWhenCastingToString: false
            }
            "next" => array:2 [
              "refs" => "1120225"
              "type" => "task"
            ]
            "previous" => array:2 [
              "refs" => "1120223"
              "type" => "task"
            ]
            "book" => Illuminate\Database\Eloquent\Collection {#1264
              #items: array:1 [
                0 => App\Models\Book {#1039}
              ]
              #escapeWhenCastingToString: false
            }
            "page" => array:2 [
              "refs" => "1099208"
              "type" => "book_page"
            ]
          ]
          #original: array:24 [
            "id" => 1120224
            "created_at" => "2026-04-10 13:58:26"
            "updated_at" => null
            "field_page_start" => "55"
            "field_page_end" => null
            "field_url" => "/10-klass/algebra/baspasy-pak-uchebnik/5-2-5dop-24"
            "field_display_title" => "24"
            "field_outside_task" => null
            "field_task_type" => Illuminate\Database\Eloquent\Collection {#1239}
            "field_metatags_title" => null
            "field_metatags_description" => null
            "field_h1" => null
            "field_description_top" => null
            "field_description_bottom" => null
            "field_match" => null
            "breadcrumbs" => []
            "edition_groups" => Illuminate\Database\Eloquent\Collection {#1254}
            "top_parent_branch" => Illuminate\Database\Eloquent\Collection {#1250}
            "parent_branches" => Illuminate\Database\Eloquent\Collection {#1248}
            "content" => Illuminate\Database\Eloquent\Collection {#1249}
            "next" => array:2 [
              "refs" => "1120225"
              "type" => "task"
            ]
            "previous" => array:2 [
              "refs" => "1120223"
              "type" => "task"
            ]
            "book" => Illuminate\Database\Eloquent\Collection {#1264}
            "page" => array:2 [
              "refs" => "1099208"
              "type" => "book_page"
            ]
          ]
          #changes: []
          #casts: []
          #classCastCache: []
          #attributeCastCache: []
          #dateFormat: null
          #appends: []
          #dispatchesEvents: []
          #observables: []
          #relations: []
          #touches: []
          +timestamps: true
          +usesUniqueIds: false
          #hidden: []
          #visible: []
          #fillable: []
          #guarded: array:1 [
            0 => "*"
          ]
        }
      ]
      #escapeWhenCastingToString: false
    }
  ]
  #original: array:21 [
    "id" => 1099208
    "created_at" => "2026-04-10 13:58:26"
    "updated_at" => null
    "field_page_start" => "55"
    "field_url" => "/10-klass/algebra/baspasy-pak-uchebnik/page-2-55"
    "field_display_title" => "55"
    "field_folder" => "2"
    "field_image_name" => "55"
    "field_branch_parent" => Illuminate\Database\Eloquent\Collection {#1041}
    "field_weight" => "0"
    "field_book_parent" => Illuminate\Database\Eloquent\Collection {#1070}
    "field_metatags_title" => null
    "field_metatags_description" => null
    "field_h1" => null
    "field_description_top" => null
    "field_description_bottom" => null
    "edition_groups" => Illuminate\Database\Eloquent\Collection {#1068}
    "content" => Illuminate\Database\Eloquent\Collection {#1079}
    "next" => array:2 [
      "refs" => "1099209"
      "type" => "book_page"
    ]
    "previous" => array:2 [
      "refs" => "1099207"
      "type" => "book_page"
    ]
    "tasks" => Illuminate\Database\Eloquent\Collection {#1072}
  ]
  #changes: []
  #casts: []
  #classCastCache: []
  #attributeCastCache: []
  #dateFormat: null
  #appends: []
  #dispatchesEvents: []
  #observables: []
  #relations: []
  #touches: []
  +timestamps: true
  +usesUniqueIds: false
  #hidden: []
  #visible: []
  #fillable: []
  #guarded: array:1 [
    0 => "*"
  ]
}
Алгебра, 10 класс Учебник, авторы: Пак Олег Владимирович, Ардакулы Дархан, Ескендирова Елена Викторовна, издательство Алматыкітап баспасы, Алматы, 2019, Часть 2, страница 55
Ваш номер не отображается здесь?
Такое бывает: задание могло начаться на предыдущей или следующей странице.

Помогло решение? Оставьте отзыв в комментариях ниже.

Присоединяйтесь к Телеграм-группе @top_gdz

Присоединиться