Номер 22.8, страница 121 - гдз по алгебре 10 класс учебник Абылкасымова, Жумагулова

Алгебра, 10 класс Учебник, авторы: Абылкасымова Алма Есимбековна, Жумагулова Зауре Абдыкеновна, издательство Мектеп, Алматы, 2019

Авторы: Абылкасымова А. Е., Жумагулова З. А.

Тип: Учебник

Издательство: Мектеп

Год издания: 2019 - 2026

ISBN: 978-601-07-1142-6

Утверждено Министерством образования и науки Республики Казахстан

Глава 6. Применение производной. Параграф 22. Наибольшее и наименьшее значения функции на отрезке - номер 22.8, страница 121.

№22.8 (с. 121)
Условие. №22.8 (с. 121)
скриншот условия
Алгебра, 10 класс Учебник, авторы: Абылкасымова Алма Есимбековна, Жумагулова Зауре Абдыкеновна, издательство Мектеп, Алматы, 2019, страница 121, номер 22.8, Условие

22.8. a) $f(x) = 2x^2 - \frac{8}{x} + 3, [-5; 1];$

б) $f(x) = 2x + \frac{1}{x^2} - 5, [\frac{1}{2}; 3].$

Решение. №22.8 (с. 121)
Алгебра, 10 класс Учебник, авторы: Абылкасымова Алма Есимбековна, Жумагулова Зауре Абдыкеновна, издательство Мектеп, Алматы, 2019, страница 121, номер 22.8, Решение
Алгебра, 10 класс Учебник, авторы: Абылкасымова Алма Есимбековна, Жумагулова Зауре Абдыкеновна, издательство Мектеп, Алматы, 2019, страница 121, номер 22.8, Решение (продолжение 2)
Решение 2. №22.8 (с. 121)

а)

Для нахождения наибольшего и наименьшего значений функции $f(x) = 2x^2 - \frac{8}{x} + 3$ на отрезке $[-5; 1]$ необходимо проанализировать ее поведение на этом интервале.

Область определения функции — все действительные числа, кроме $x=0$. Так как точка $x=0$ принадлежит заданному отрезку $[-5; 1]$, функция имеет в этой точке разрыв. Исследуем поведение функции в окрестности точки разрыва, найдя односторонние пределы.

Предел слева: $\lim_{x \to 0^-} (2x^2 - \frac{8}{x} + 3) = 2(0)^2 - (\frac{8}{\text{отриц. малое число}}) + 3 = 0 - (-\infty) + 3 = +\infty$.

Предел справа: $\lim_{x \to 0^+} (2x^2 - \frac{8}{x} + 3) = 2(0)^2 - (\frac{8}{\text{положит. малое число}}) + 3 = 0 - (+\infty) + 3 = -\infty$.

Поскольку при приближении $x$ к $0$ слева значения функции неограниченно возрастают (стремятся к $+\infty$), функция не имеет наибольшего значения на отрезке $[-5; 1]$.

Поскольку при приближении $x$ к $0$ справа значения функции неограниченно убывают (стремятся к $-\infty$), функция не имеет наименьшего значения на отрезке $[-5; 1]$.

Ответ: на отрезке $[-5; 1]$ функция не имеет ни наибольшего, ни наименьшего значения.

б)

Для нахождения наибольшего и наименьшего значений функции $f(x) = 2x + \frac{1}{x^2} - 5$ на отрезке $[\frac{1}{2}; 3]$ воспользуемся стандартным алгоритмом.

1. Убедимся, что функция непрерывна на данном отрезке. Область определения функции — все $x \neq 0$. Отрезок $[\frac{1}{2}; 3]$ не содержит точку $x=0$, следовательно, функция на нем непрерывна. По теореме Вейерштрасса, функция достигает своих наибольшего и наименьшего значений на этом отрезке.

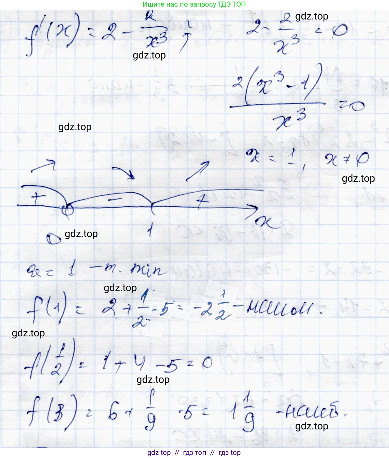
2. Найдем производную функции:$f'(x) = (2x + \frac{1}{x^2} - 5)' = (2x + x^{-2} - 5)' = 2 - 2x^{-3} = 2 - \frac{2}{x^3}$.

3. Найдем критические точки, приравняв производную к нулю:$f'(x) = 0 \implies 2 - \frac{2}{x^3} = 0 \implies 2x^3 = 2 \implies x^3 = 1 \implies x = 1$.Критическая точка $x=1$ принадлежит отрезку $[\frac{1}{2}; 3]$.

4. Вычислим значения функции в критической точке и на концах отрезка:$f(\frac{1}{2}) = 2 \cdot \frac{1}{2} + \frac{1}{(\frac{1}{2})^2} - 5 = 1 + \frac{1}{1/4} - 5 = 1 + 4 - 5 = 0$.$f(3) = 2 \cdot 3 + \frac{1}{3^2} - 5 = 6 + \frac{1}{9} - 5 = 1 + \frac{1}{9} = \frac{10}{9}$.$f(1) = 2 \cdot 1 + \frac{1}{1^2} - 5 = 2 + 1 - 5 = -2$.

5. Сравним полученные значения: $0$, $\frac{10}{9}$ и $-2$.Наименьшее из этих значений равно $-2$.Наибольшее из этих значений равно $\frac{10}{9}$.

Ответ: наименьшее значение функции на отрезке $[\frac{1}{2}; 3]$ равно $-2$, наибольшее значение равно $\frac{10}{9}$.

Помогло решение? Оставьте отзыв в комментариях ниже.

Присоединяйтесь к Телеграм-группе @top_gdz

Присоединиться

Мы подготовили для вас ответ c подробным объяснением домашего задания по алгебре за 10 класс, для упражнения номер 22.8 расположенного на странице 121 к учебнику 2019 года издания для учащихся школ и гимназий.

Теперь на нашем сайте ГДЗ.ТОП вы всегда легко и бесплатно найдёте условие с правильным ответом на вопрос «Как решить ДЗ» и «Как сделать» задание по алгебре к упражнению №22.8 (с. 121), авторов: Абылкасымова (Алма Есимбековна), Жумагулова (Зауре Абдыкеновна), учебного пособия издательства Мектеп.